前言
目的:近邻法是基本且简单的分类与回归方法。近邻法的基本做法是:对给定的训练实例点和输入实例点,首先确定输入实例点的个最近邻训练实例点,然后利用这个训练实例点的类的多数来预测输入实例点的类。
1. k 近邻模型
1.1 算法
输入: KaTeX parse error: Expected 'EOF', got '\cal' at position 51: …y_N)\}, x_i\in \̲c̲a̲l̲{X}\sube{\bf{R}…; 实例特征向量
输出: 实例所属的
步骤:
-
根据指定的距离度量,在中查找的最近邻的个点,覆盖这个点的的邻域定义为
-
在中应用分类决策规则决定的类别
这里提到了近邻模型的三要素,如算法描述中黑体标注的部分, 注意这里的三要素和前面说的统计学习方法的三要素不是一个东西。
1.2 模型

特征空间划分图
1.3 距离度量
特征空间中的两个实例点的距离是两个实例点相似度程度的反应,设特征空间是维实数向量空间 ,,,,则:,的距离定义为:
- 曼哈顿距离
- 欧氏距离
- 闵式距离minkowski_distance

-
例题3.1:
描述:已知二维空间的3个点,试求在取得不同值时,距离下的的最近邻点。
#1.计算欧式距离
import math
from itertools import combinations
def L(x, y, p=2):
if len(x) == len(y) and len(y) > 1:
sum = 0
for i in range(len(x)):
sum += math.pow(abs(x[i]-y[i]), p)
return math.pow(sum , 1/p)
else:
return 0
#2. 数据准备
x1 = [1, 1]
x2 = [5, 1]
x3 = [4, 4]
#3.输入数据
for i in range(1, 5):
r = {'1-{}'.format(c):L(x1, c, p = i) for c in [x2, x3]}#字典
print(min(zip(r.values(), r.keys())))
print(r,i)
print("-"*10)
- 输出结果
p = 1,x1的最近邻点: (4.0, '[5, 1]')
p = 2,x1的最近邻点: (4.0, '[5, 1]')
p = 3,x1的最近邻点: (3.7797631496846193, '[4, 4]')
p = 4,x1的最近邻点: (3.5676213450081633, '[4, 4]')
2. 构建kd-tree
**描述:**kd树是一种对k维空间中的实例点进行存储以便对其进行快速检索的树形数据结构。
算法描述:
输入:维空间数据集,
其中 ,;
输出:kd树。
(1)开始:构造根结点,根结点对应于包含的维空间的超矩形区域。
选择为坐标轴,以T中所有实例的坐标的中位数为切分点,将根结点对应的超矩形区域切分为两个子区域。切分由通过切分点并与坐标轴垂直的超平面实现。
由根结点生成深度为1的左、右子结点:左子结点对应坐标小于切分点的子区域, 右子结点对应于坐标大于切分点的子区域。
将落在切分超平面上的实例点保存在根结点。
(2)重复:对深度为的结点,选择为切分的坐标轴,,以该结点的区域中所有实例的坐标的中位数为切分点,将该结点对应的超矩形区域切分为两个子区域。切分由通过切分点并与坐标轴垂直的超平面实现。
由该结点生成深度为的左、右子结点:左子结点对应坐标小于切分点的子区域,右子结点对应坐标大于切分点的子区域。
将落在切分超平面上的实例点保存在该结点。
(3)直到两个子区域没有实例存在时停止。从而形成kd树的区域划分。
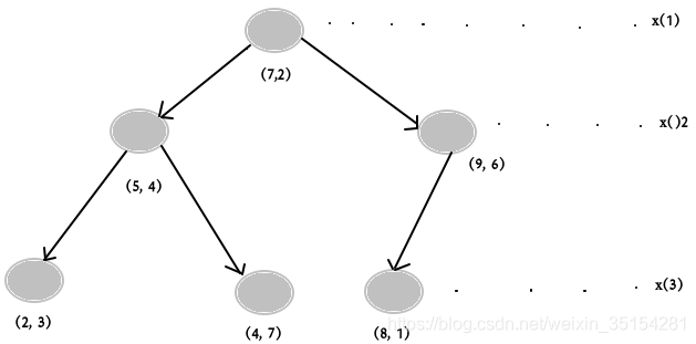
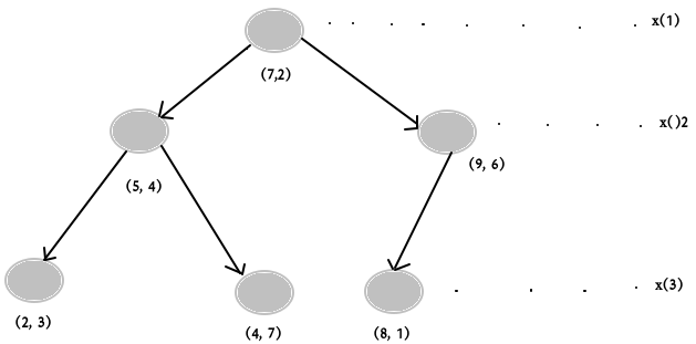
- 例3.2:
**问题描述:**给定一个二维空间的数据集:
构造一个平衡kd树。
代码:
# kd-tree 每个结点中主要包含的数据如下:
class KdNode(object):
def __init__(self, dom_elt, split, left, right):
self.dom_elt = dom_elt#结点的父结点
self.split = split#划分结点
self.left = left#做结点
self.right = right#右结点
class KdTree(object):
def __init__(self, data):
k = len(data[0])#数据维度
#print("创建结点")
#print("开始执行创建结点函数!!!")
def CreateNode(split, data_set):
#print(split,data_set)
if not data_set:#数据集为空
return None
#print("进入函数!!!")
data_set.sort(key=lambda x:x[split])#开始找切分平面的维度
#print("data_set:",data_set)
split_pos = len(data_set)//2 #取得中位数点的坐标位置(求整)
median = data_set[split_pos]
split_next = (split+1) % k #(取余数)取得下一个节点的分离维数
return KdNode(
median,
split,
CreateNode(split_next, data_set[:split_pos]),#创建左结点
CreateNode(split_next, data_set[split_pos+1:]))#创建右结点
#print("结束创建结点函数!!!")
self.root = CreateNode(0, data)#创建根结点
#KDTree的前序遍历
def preorder(root):
print(root.dom_elt)
if root.left:
preorder(root.left)
if root.right:
preorder(root.right)
if __name__ == "__main__":
data = [[2,3],[5,4],[9,6],[4,7],[8,1],[7,2]]
kd = KdTree(data)
preorder(kd.root)
输出结果:
[7, 2]
[5, 4]
[2, 3]
[4, 7]
[9, 6]
[8, 1]
kd 树构建图
![]() |
![]() |
|---|---|
| 特征空间划分 | kd树实例 |
3. 搜索kd树
算法描述:
输入:已构造的kd 树;目标点x;
输出:x 的最近邻
(1)在kd树中找出包含目标点的叶结点:
(2)以此叶节点为’当前最近点’
(3)递归向上回退,在每个节点进行以下操作:
(a)如果该结点保存的实例点比当前最近点距离目标点更近,则以该实例点为’当前最近点’
(b) 检查另一子结点对应的区域是否以目标点为球心,以目标点与’当前最近点’间的距离为半径的超球体相交。
如果相交,则在另一个子结点对应的区域存在距离目标点更近的点,移动到另一个子结点。接着,递归的进行最近邻搜索。
若不相交,则向上回退
(4)当回退到根结点时,搜索结束,最后的‘当前最近点’即为x的最近邻点。
- 代码描述:
from math import sqrt
from collections import namedtuple
# 定义一个namedtuple,分别存放最近坐标点、最近距离和访问过的节点数
result = namedtuple("Result_tuple",
"nearest_point nearest_dist nodes_visited")
#搜索开始
def find_nearest(tree, point):
k = len(point)#数据维度
def travel(kd_node, target, max_dist):
if kd_node is None:
return result([0]*k, float("inf"), 0)#表示数据的无
nodes_visited = 1
s = kd_node.split #数据维度分隔
pivot = kd_node.dom_elt #切分根节点
if target[s] <= pivot[s]:
nearer_node = kd_node.left #下一个左结点为树根结点
further_node = kd_node.right #记录右节点
else: #右面更近
nearer_node = kd_node.right
further_node = kd_node.left
temp1 = travel(nearer_node, target, max_dist)
nearest = temp1.nearest_point# 得到叶子结点,此时为nearest
dist = temp1.nearest_dist #update distance
nodes_visited += temp1.nodes_visited
print("nodes_visited:", nodes_visited)
if dist < max_dist:
max_dist = dist
temp_dist = abs(pivot[s]-target[s])#计算球体与分隔超平面的距离
if max_dist < temp_dist:
return result(nearest, dist, nodes_visited)
# -------
#计算分隔点的欧式距离
temp_dist = sqrt(sum((p1-p2)**2 for p1, p2 in zip(pivot, target)))#计算目标点到邻近节点的Distance
if temp_dist < dist:
nearest = pivot #更新最近点
dist = temp_dist #更新最近距离
max_dist = dist #更新超球体的半径
print("输出数据:" , nearest, dist, max_dist)
# 检查另一个子结点对应的区域是否有更近的点
temp2 = travel(further_node, target, max_dist)
nodes_visited += temp2.nodes_visited
if temp2.nearest_dist < dist: # 如果另一个子结点内存在更近距离
nearest = temp2.nearest_point # 更新最近点
dist = temp2.nearest_dist # 更新最近距离
return result(nearest, dist, nodes_visited)
return travel(tree.root, point, float("inf")) # 从根节点开始递归
if __name__ == "__main__":
data = [[2,3],[5,4],[9,6],[4,7],[8,1],[7,2]]
kd = KdTree(data)
preorder(kd.root)
ret = find_nearest(kd, [3, 4.5])
print(ret)
- 输出结果
Result_tuple(nearest_point=[2, 3], nearest_dist=1.8027756377319946, nodes_visited=4)
- 例3.3
**描述:**如图所示的kd树,根结点为A, 其子节点为B,C等,树上一个存储7个实例点;另有一个输入目标实例点S,求S的最近邻。

未完结......
来源:https://blog.csdn.net/weixin_35154281/article/details/100828403

