罗德里格斯(Rodrigues)旋转向量与矩阵的变换

岁酱吖の 提交于 2020-01-28 17:15:25

 在做双目立体视觉深度图像生成的时候,遇到旋转向量(1x3)与旋转矩阵(3x3)的概念,得知二者可以通过罗德里格斯相互转化。

1.旋转的表示

     处理三维旋转问题时,通常采用旋转矩阵的方式来描述旋转变换。旋转矩阵有以下两种方式得到。

      物体在三维空间中的旋转,可以被分为解为在直接坐标系下,分别先后围绕x,y,z坐标轴旋转得到。旋转的角度也就是我们常听到的角度roll,pitch,yew。如果已知这几个角度,就可以直接通过每一步的矩阵相乘得到整个旋转矩阵。

                              R=R(yaw)R(pitch)R(roll)


R=R(yaw)R(pitch)R(roll)
       旋转矩阵还可以理解为围绕空间中某一个向量,直接一次旋转某一个角度得到。在openCV相机标定时得到的旋转向量就是用这种方式。即由旋转变量来描述。

2.旋转向量得到旋转矩阵

       旋转向量的长度(模)表示绕轴逆时针旋转的角度(弧度)。旋转向量与旋转矩阵可以通过罗德里格斯(Rodrigues)变换进行转换。


       旋转角度       (norm表示求向量r的模长)
       单位向量  
       旋转矩阵 

       其中为单位矩阵,为的转置。 
       所以 
3.根据旋转向量求另一个旋转向量

       用表示待旋转的向量,为旋转向量的单位向量,为旋转角,旋转后的向量可以表示为 
4.根据两个旋转向量求旋转矩阵

(1)旋转角度
       已知旋转前向量为P, 旋转后变为Q。由点积定义可知:

imageimage

       可推出P,Q之间的夹角为:

image

(2)旋转轴
       旋转角所在的平面为有P和Q所构成的平面,那么旋转轴必垂直该平面。

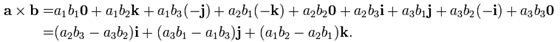
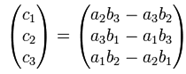
       假定旋转前向量为a(a1, a2, a3), 旋转后向量为b(b1, b2, b3)。由叉乘定义得:

image

       所以旋转轴c(c1, c2, c3)为:

image

5.OpenCV实现Rodrigues变换的函数为


int cvRodrigues2( const CvMat* src, CvMat* dst, CvMat* jacobian=0 );
     src为输入的旋转向量(3x1或者1x3)或者旋转矩阵(3x3)。

     dst为输出的旋转矩阵(3x3)或者旋转向量(3x1或者1x3)。

     jacobian为可选的输出雅可比矩阵(3x9或者9x3),是输入与输出数组的偏导数。

验证代码如下:

#include <stdio.h>
#include <cv.h>
 
void main()
{
    int i;
    double r_vec[3]={-2.100418,-2.167796,0.273330};
    double R_matrix[9];
    CvMat pr_vec;
    CvMat pR_matrix;
 
    cvInitMatHeader(&pr_vec,1,3,CV_64FC1,r_vec,CV_AUTOSTEP);
    cvInitMatHeader(&pR_matrix,3,3,CV_64FC1,R_matrix,CV_AUTOSTEP);
    cvRodrigues2(&pr_vec, &pR_matrix,0);
 
    for(i=0; i<9; i++)
    {
        printf("%f\n",R_matrix[i]);
    }
}

6、opencv另一种变换方法

//将旋转向量转化为旋转矩阵
Mat_<float> r_l = (Mat_<float>(3, 1) << 0.04345, -0.05236, -0.01810);//左摄像机的旋转向量
Mat_<float> r_r = (Mat_<float>(3, 1) << 0.04345, -0.05236, -0.01810);//右摄像机的旋转向量
Mat  R_R, R_L;
Rodrigues(r_l, R_L);
Rodrigues(r_r, R_R);

 

易学教程内所有资源均来自网络或用户发布的内容,如有违反法律规定的内容欢迎反馈
该文章没有解决你所遇到的问题?点击提问,说说你的问题,让更多的人一起探讨吧!