数据类型与底层数据结构
1.数据类型
Redis是一个Key-Value的存储系统,使用ANSI C语言编写。
key的类型是字符串。
常用的:string字符串类型、list列表类型、set集合类型、sortedset(zset)有序集合类型、hash类
型。
不常见的:bitmap位图类型、geo地理位置类型。
Redis5.0新增一种:stream类型
注意:Redis中命令是忽略大小写,(set SET),key是不忽略大小写的 (NAME name)
2. Redis数据类型分析
2.1 Redis的Key的设计
- 用:分割
- 把表名转换为key前缀, 比如: user:
- 第二段放置主键值
- 第三段放置列名
比如:用户表user, 转换为redis的key-value存储
| userid | username | password | |
|---|---|---|---|
| 1 | zhangf | 111111 | zhangf@163.com |
username 的 key: user:9:username
{userid:9,username:zhangf}
email的key user:9:email
2.2 String字符串类型
String能表达3种值的类型:字符串、整数、浮点数
2.2 .1 常见操作命令:
| 命令名称 | 命令描述 | |
|---|---|---|
| set | set key value | 赋值 |
| get | get key | 取值 |
| getset | getset key value | 取值并赋值 |
| setnx | setnx key value | 当value不存在时采用赋值 set key value NX PX 3000 原子操作,px 设置毫秒数 |
| append | append key value | 向尾部追加值 |
| strlen | strlen key | 获取字符串长度 |
| incr | incr key | 递增数字 |
| incrby | incrby key increment | 增加指定的整数 |
| decr | decr key | 递减数字 |
| decrby | decrby key decrement | 减少指定的整数 |
2.2 .2 应用场景:
- key和命令是字符串
- 普通的赋值
- incr用于乐观锁
- incr:递增数字,可用于实现乐观锁 watch(事务)
- setnx用于分布式锁
- 当value不存在时采用赋值,可用于实现分布式锁
127.0.0.1:6379> setnx name zhangf #如果name不存在赋值
(integer) 1
127.0.0.1:6379> setnx name zhaoyun #再次赋值失败
(integer) 0
127.0.0.1:6379> get name
"zhangf"
2.3 list列表类型
list列表类型可以存储有序、可重复的元素
获取头部或尾部附近的记录是极快的
list的元素个数最多为2^32-1个(40亿)
2.3 .1 常见操作命令:
命令 说明 lpush 从左侧插入列表 lpop 从列表左侧取出 rpush 从右侧插入列表 rpop 从列表右侧取出 lpushx 将值插入到列表头部 rpushx 将值插入到列表尾部 blpop 从列表左侧取出,当列表为空时阻塞,可以设置最大阻塞时
间,单位为秒brpop 从列表右侧取出,当列表为空时阻塞,可以设置最大阻塞时
间,单位为秒llen 获得列表中元素个数 lindex 获得列表中下标为index的元素 index从0开始 lrange 返回列表中指定区间的元素,区间通过start和end指定 lrem 可删除列表中与value相等的元素
当count>0时, lrem会从列表左边开始删除;当count<0时,
lrem会从列表后边开始删除;当count=0时, lrem删除所有值
为value的元素lset 将列表index位置的元素设置成value的值 ltrim 对列表进行修剪,只保留start到end区间 rpoplpush 从key1列表右侧弹出并插入到key2列表左侧 brpoplpush 从key1列表右侧弹出并插入到key2列表左侧,会阻塞 linsert 将value插入到列表,且位于值pivot之前或之后
2.3 .2 应用场景:
- 作为栈或队列使用
- 列表有序可以作为栈和队列使用
- 可用于各种列表,比如用户列表、商品列表、评论列表等
2.4 set集合类型
Set:无序、唯一元素
集合中最大的成员数为 2^32 -
2.4 .1 常见操作命令:
命令 说明 sadd 为集合添加元素 smembers 显示集合中所有元素 无序 scard 返回集合中元素的个数 spop 随即删除n个元素,并返回对应删除的n个元素 n—>数字 smove 从一个集合中向另一个集合移动元素 smove source(原始集合) destination(目标集合) member(元素) srem 从集合中删除指定的member(1-n个) sismember 判断一个集合中是否含有这个元素 srandmember 随机返回元素 默认返回一个,可以手动指定返回元素的个数 sdiff 去掉第一个集合中其它集合含有的相同元素 sinter 求交集 sunion 求和集
2.4 .2 应用场景:
- 适用于不能重复的且不需要顺序的数据结构
比如:关注的用户,还可以通过spop进行随机抽奖
2.5 sortedset有序集合类型
SortedSet(ZSet) 有序集合: 元素本身是无序不重复的
每个元素关联一个分数(score)
可按分数排序,分数可重复
2.5 .1 常见操作命令:
命令 说明 zadd 添加一个有序集合元素 zcard 返回集合的元素个数 zrange 返回一个范围内的元素(zrange zset 0 -1 withscores 遍历所有并展示分数) zrangebyscore 按照分数查找一个范围内的元素 zrank 返回排名(返回index) zrevrank 倒序排名(返回index) zscore 显示某一个元素的分数 zrem 移除某一个元素 zincrby 给某个特定元素加分
2.5 .2 应用场景:
- 由于可以按照分值排序,所以适用于各种排行榜。比如:点击排行榜、销量排行榜、关注排行榜等。
2.6 hash类型(散列表)
Redis hash 是一个 string 类型的 field 和 value 的映射表,它提供了字段和字段值的映射。
每个 hash 可以存储 2^32 - 1 键值对(40多亿)。

2.6 .1 常见操作命令:
命令 说明 hset 设置一个key/value对 hget 获得一个key对应的value hgetall 获得所有的key/value对 hdel 删除某一个key/value对 hexists 判断一个key是否存在 hkeys 获得所有的key hvals 获得所有的value hmset 设置多个key/value hmget 获得多个key的value hsetnx 设置一个不存在的key的值 hincrby 为value进行加法运算 hincrbyfloat 为value加入浮点值
2.6 .2 应用场景:
- 对象的存储 ,表数据的映射
2.7 bitmap位图类型
bitmap是进行位操作的
通过一个bit位来表示某个元素对应的值或者状态,其中的key就是对应元素本身。
bitmap本身会极大的节省储存空间。
2.7 .1 常见操作命令:
命令 说明 setbit 设置key在offset处的bit值(只能是0或者
1)。getbit 获得key在offset处的bit值 bitcount 获得key的bit位为1的个数 bitpos 返回第一个被设置为bit值的索引值 bitop 对多个key 进行逻辑运算后存入destkey
中
2.7 .1 应用场景:
- 用户每月签到,用户id为key , 日期作为偏移量 1表示签到
- 统计活跃用户, 日期为key,用户id为偏移量 1表示活跃
- 查询用户在线状态, 日期为key,用户id为偏移量 1表示在线
2.8 geo地理位置类型
geo是Redis用来处理位置信息的。在Redis3.2中正式使用。主要是利用了Z阶曲线、Base32编码和
geohash算法
Z阶曲线
在x轴和y轴上将十进制数转化为二进制数,采用x轴和y轴对应的二进制数依次交叉后得到一个六位数编
码。把数字从小到大依次连起来的曲线称为Z阶曲线,Z阶曲线是把多维转换成一维的一种方法。

Base32编码
Base32这种数据编码机制,主要用来把二进制数据编码成可见的字符串,其编码规则是:任意给定一
个二进制数据,以5个位(bit)为一组进行切分(base64以6个位(bit)为一组),对切分而成的每个组进行编
码得到1个可见字符。Base32编码表字符集中的字符总数为32个(0-9、b-z去掉a、i、l、o),这也是
Base32名字的由来。

geohash算法
Gustavo在2008年2月上线了geohash.org网站。Geohash是一种地理位置信息编码方法。 经过
geohash映射后,地球上任意位置的经纬度坐标可以表示成一个较短的字符串。可以方便的存储在数据
库中,附在邮件上,以及方便的使用在其他服务中。以北京的坐标举例,[39.928167,116.389550]可以
转换成wx4g0s8q3jf9 。
Redis中经纬度使用52位的整数进行编码,放进zset中,zset的value元素是key,score是GeoHash的
52位整数值。在使用Redis进行Geo查询时,其内部对应的操作其实只是zset(skiplist)的操作。通过zset
的score进行排序就可以得到坐标附近的其它元素,通过将score还原成坐标值就可以得到元素的原始坐
标。
2.8 .1 常见操作命令:
命令 说明 geoadd 添加地理坐标 geohash 返回标准的geohash串 geopos 返回成员经纬度 geodist 计算成员间距离 georadiusbymember 根据成员查找附近的成员
2.8 .2 应用场景:
- 记录地理位置
- 计算距离
- 查找"附近的人"
2.9 geo地理位置类型
stream是Redis5.0后新增的数据结构,用于可持久化的消息队列。
几乎满足了消息队列具备的全部内容,包括:
- 消息ID的序列化生成
- 消息遍历
- 消息的阻塞和非阻塞读取
- 消息的分组消费
- 未完成消息的处理
- 消息队列监控
每个Stream都有唯一的名称,它就是Redis的key,首次使用xadd 指令追加消息时自动创建。
2.9 .1 常见操作命令:
命令 说明 xadd 将指定消息数据追加到指定队列(key)中,*
表示最新生成的id(当前时间+序列号)xread 从消息队列中读取,COUNT:读取条数,
BLOCK:阻塞读(默认不阻塞)key:队列
名称 id:消息idxrange 读取队列中给定ID范围的消息 COUNT:返
回消息条数(消息id从小到大)xrevrange 读取队列中给定ID范围的消息 COUNT:返
回消息条数(消息id从大到小)xdel 删除队列的消息 xgroup 创建一个新的消费组
xgroup create key groupnameidxgroup 删除指定消费组
xgroup delconsumer key groupname cnamexgroup 修改指定消息的最大id
xgroup setid key idxreadgroup 从队列中的消费组中创建消费者并消费数据
(consumer不存在则创建)
2.9 .1 应用场景:
- 消息队列的使用
3.Redis底层数据结构
Redis作为Key-Value存储系统,数据结构如下:

Redis没有表的概念,Redis实例所对应的db以编号区分,db本身就是key的命名空间。
比如:user:1000作为key值,表示在user这个命名空间下id为1000的元素,类似于user表的id=1000的
行。
3.1 RedisDB结构
Redis中存在“数据库”的概念,该结构由redis.h中的redisDb定义。
当redis 服务器初始化时,会预先分配 16 个数据库
所有数据库保存到结构 redisServer 的一个成员 redisServer.db 数组中
redisClient中存在一个名叫db的指针指向当前使用的数据库
RedisDB结构体源码:
typedef struct redisDb {
int id; //id是数据库序号,为0-15(默认Redis有16个数据库)
long avg_ttl; //存储的数据库对象的平均ttl(time to live),用于统计
dict *dict; //存储数据库所有的key-value
dict *expires; //存储key的过期时间
dict *blocking_keys;//blpop 存储阻塞key和客户端对象
dict *ready_keys;//阻塞后push 响应阻塞客户端 存储阻塞后push的key和客户端对象
dict *watched_keys;//存储watch监控的的key和客户端对象
} redisDb;
3.1.1 id
id是数据库序号,为0-15(默认Redis有16个数据库)
3.1.2 dict
存储数据库所有的key-value
3.1.3 expires
存储key的过期时间
3.2 RedisObject结构
typedef struct redisObject {
unsigned type:4;//类型 五种对象类型
unsigned encoding:4;//编码
void *ptr;//指向底层实现数据结构的指针
//...
int refcount;//引用计数
//...
unsigned lru:LRU_BITS; //LRU_BITS为24bit 记录最后一次被命令程序访问的时间
//...
}robj;
3.2.1 结构信息概览
- 4位type
type 字段表示对象的类型,占 4 位;
REDIS_STRING(字符串)、REDIS_LIST (列表)、REDIS_HASH(哈希)、REDIS_SET(集合)、REDIS_ZSET(有
序集合)。
当我们执行 type 命令时,便是通过读取 RedisObject 的 type 字段获得对象的类型
127.0.0.1:6379> type a1
string
- 4位encoding
encoding 表示对象的内部编码,占 4 位
每个对象有不同的实现编码
Redis 可以根据不同的使用场景来为对象设置不同的编码,大大提高了 Redis 的灵活性和效率。
通过 object encoding 命令,可以查看对象采用的编码方式
127.0.0.1:6379> object encoding a1
"int"
- 24位LRU
lru 记录的是对象最后一次被命令程序访问的时间,( 4.0 版本占 24 位,2.6 版本占 22 位)。
高16位存储一个分钟数级别的时间戳,低8位存储访问计数(lfu : 最近访问次数)
- refcount
当对象的refcount>1时,称为共享对象
Redis 为了节省内存,当有一些对象重复出现时,新的程序不会创建新的对象,而是仍然使用原来的对
象。
- ptr
ptr 指针指向具体的数据,比如:set hello world,ptr 指向包含字符串 world 的 SDS。
3.2.2 7种type
- 字符串对象
C语言: 字符数组 “\0”
Redis 使用了 SDS(Simple Dynamic String)。用于存储字符串和整型数据。

struct sdshdr{
//记录buf数组中已使用字节的数量
int len;
//记录 buf 数组中未使用字节的数量
int free;
//字节数组,用于保存字符串
char buf[];
}
SDS的优势:
1、SDS 在 C 字符串的基础上加入了 free 和 len 字段,获取字符串长度:SDS 是 O(1),C 字符串是
O(n)。
buf数组的长度=free+len+1
2、 SDS 由于记录了长度,在可能造成缓冲区溢出时会自动重新分配内存,杜绝了缓冲区溢出。
3、可以存取二进制数据,以字符串长度len来作为结束标识
使用场景:
SDS的主要应用在:存储字符串和整型数据、存储key、AOF缓冲区和用户输入缓冲。
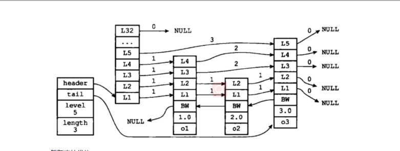
- 跳跃表(重点)
跳跃表是有序集合(sorted-set)的底层实现,效率高,实现简单。
跳跃表的基本思想:
将有序链表中的部分节点分层,每一层都是一个有序链表。
查找
在查找时优先从最高层开始向后查找,当到达某个节点时,如果next节点值大于要查找的值或next指针
指向null,则从当前节点下降一层继续向后查找。
举例:

查找元素9,按道理我们需要从头结点开始遍历,一共遍历8个结点才能找到元素9。
第一次分层:
遍历5次找到元素9(红色的线为查找路径)

第二次分层:
遍历4次找到元素9

第三层分层:
遍历4次找到元素9

这种数据结构,就是跳跃表,它具有二分查找的功能。
插入与删除
上面例子中,9个结点,一共4层,是理想的跳跃表。
通过抛硬币(概率1/2)的方式来决定新插入结点跨越的层数:
正面:插入上层
背面:不插入
达到1/2概率(计算次数)
删除
找到指定元素并删除每层的该元素即可
跳跃表特点:
每层都是一个有序链表
查找次数近似于层数(1/2)
底层包含所有元素
空间复杂度 O(n) 扩充了一倍
Redis跳跃表的实现
//跳跃表节点
typedef struct zskiplistNode {
sds ele; /* 存储字符串类型数据 redis3.0版本中使用robj类型表示,
但是在redis4.0.1中直接使用sds类型表示 */
double score;//存储排序的分值
struct zskiplistNode *backward;//后退指针,指向当前节点最底层的前一个节点
/*
层,柔性数组,随机生成1-64的值
*/
struct zskiplistLevel {
struct zskiplistNode *forward; //指向本层下一个节点
unsigned int span;//本层下个节点到本节点的元素个数
} level[];
} zskiplistNode;
//链表
typedef struct zskiplist{
//表头节点和表尾节点
structz skiplistNode *header, *tail;
//表中节点的数量
unsigned long length;
//表中层数最大的节点的层数
int level;
}zskiplist;
完整的跳跃表结构体:

跳跃表的优势:
1、可以快速查找到需要的节点
2、可以在O(1)的时间复杂度下,快速获得跳跃表的头节点、尾结点、长度和高度。
应用场景:有序集合的实现
- 字典(重点+难点)
字典dict又称散列表(hash),是用来存储键值对的一种数据结构。
Redis整个数据库是用字典来存储的。(K-V结构)
对Redis进行CURD操作其实就是对字典中的数据进行CURD操作。
数组
数组:用来存储数据的容器,采用头指针+偏移量的方式能够以O(1)的时间复杂度定位到数据所在的内
存地址。
Redis 海量存储 快
Hash函数
Hash(散列),作用是把任意长度的输入通过散列算法转换成固定类型、固定长度的散列值。
hash函数可以把Redis里的key:包括字符串、整数、浮点数统一转换成整数。
key=100.1 String “100.1” 5位长度的字符串
Redis-cli :times 33
Redis-Server : siphash
数组下标=hash(key)%数组容量(hash值%数组容量得到的余数)
Hash冲突
不同的key经过计算后出现数组下标一致,称为Hash冲突。
采用单链表在相同的下标位置处存储原始key和value
当根据key找Value时,找到数组下标,遍历单链表可以找出key相同的value

Redis字典的实现
Redis字典实现包括:字典(dict)、Hash表(dictht)、Hash表节点(dictEntry)。

Hash表
typedef struct dictht {
dictEntry **table; // 哈希表数组
unsigned long size; // 哈希表数组的大小
unsigned long sizemask; // 用于映射位置的掩码,值永远等于(size-1)
unsigned long used; // 哈希表已有节点的数量,包含next单链表数据
} dictht;
1、hash表的数组初始容量为4,随着k-v存储量的增加需要对hash表数组进行扩容,新扩容量为当前量
的一倍,即4,8,16,32
2、索引值=Hash值&掩码值(Hash值与Hash表容量取余)
Hash表节点
typedef struct dictEntry {
void *key; // 键
union { // 值v的类型可以是以下4种类型
void *val;
uint64_t u64;
int64_t s64;
double d;
} v;
struct dictEntry *next; // 指向下一个哈希表节点,形成单向链表 解决hash冲突
} dictEntry
key字段存储的是键值对中的键
v字段是个联合体,存储的是键值对中的值。
next指向下一个哈希表节点,用于解决hash冲突

dict字典
typedef struct dict {
dictType *type; // 该字典对应的特定操作函数
void *privdata; // 上述类型函数对应的可选参数
dictht ht[2]; /* 两张哈希表,存储键值对数据,ht[0]为原生
哈希表,
ht[1]为 rehash 哈希表 */
long rehashidx; /*rehash标识 当等于-1时表示没有在
rehash,
否则表示正在进行rehash操作,存储的值表示
hash表 ht[0]的rehash进行到哪个索引值
(数组下标)*/
int iterators; // 当前运行的迭代器数量
} dict;
type字段,指向dictType结构体,里边包括了对该字典操作的函数指针
typedef struct dictType {
// 计算哈希值的函数
unsigned int (*hashFunction)(const void *key);
// 复制键的函数
void *(*keyDup)(void *privdata, const void *key);
// 复制值的函数
void *(*valDup)(void *privdata, const void *obj);
// 比较键的函数
int (*keyCompare)(void *privdata, const void *key1, const void *key2);
// 销毁键的函数
void (*keyDestructor)(void *privdata, void *key);
// 销毁值的函数
void (*valDestructor)(void *privdata, void *obj);
} dictType;
Redis字典除了主数据库的K-V数据存储以外,还可以用于:散列表对象、哨兵模式中的主从节点管理等
在不同的应用中,字典的形态都可能不同,dictType是为了实现各种形态的字典而抽象出来的操作函数
(多态)。
完整的Redis字典数据结构:

字典扩容
字典达到存储上限,需要rehash(扩容)
扩容流程:

说明:
- 初次申请默认容量为4个dictEntry,非初次申请为当前hash表容量的一倍。
- rehashidx=0表示要进行rehash操作。
- 新增加的数据在新的hash表h[1]
- 修改、删除、查询在老hash表h[0]、新hash表h[1]中(rehash中)
- 将老的hash表h[0]的数据重新计算索引值后全部迁移到新的hash表h[1]中,这个过程称为
rehash。
渐进式rehash
当数据量巨大时rehash的过程是非常缓慢的,所以需要进行优化。
服务器忙,则只对一个节点进行rehash
服务器闲,可批量rehash(100节点)
应用场景:
1、主数据库的K-V数据存储
2、散列表对象(hash)
3、哨兵模式中的主从节点管理
-
压缩列表
压缩列表(ziplist)是由一系列特殊编码的连续内存块组成的顺序型数据结构
节省内存是一个字节数组,可以包含多个节点(entry)。每个节点可以保存一个字节数组或一个整数。
压缩列表的数据结构如下:

zlbytes:压缩列表的字节长度
zltail:压缩列表尾元素相对于压缩列表起始地址的偏移量
zllen:压缩列表的元素个数
entry1…entryX : 压缩列表的各个节点
zlend:压缩列表的结尾,占一个字节,恒为0xFF(255)
entryX元素的编码结构:

previous_entry_length:前一个元素的字节长度
encoding:表示当前元素的编码
content:数据内容
ziplist结构体如下:
typedef struct zlentry {
unsigned int prevrawlensize; //previous_entry_length字段的长度
unsigned int prevrawlen; //previous_entry_length字段存储的内容
unsigned int lensize; //encoding字段的长度
unsigned int len; //数据内容长度
unsigned int headersize; //当前元素的首部长度,即previous_entry_length字段长
度与 encoding字段长度之和。
unsigned char encoding; //数据类型
unsigned char *p; //当前元素首地址
} zlentry;
应用场景:
sorted-set和hash元素个数少且是小整数或短字符串(直接使用)
list用快速链表(quicklist)数据结构存储,而快速链表是双向列表与压缩列表的组合。(间接使用)
- 整数集合
整数集合(intset)是一个有序的(整数升序)、存储整数的连续存储结构。
当Redis集合类型的元素都是整数并且都处在64位有符号整数范围内(2^64),使用该结构体存储。
127.0.0.1:6379> sadd set:001 1 3 5 6 2
(integer) 5
127.0.0.1:6379> object encoding set:001
"intset"
127.0.0.1:6379> sadd set:004 1 100000000000000000000000000 9999999999
(integer) 3
127.0.0.1:6379> object encoding set:004
"hashtable
intset的结构图如下:

typedef struct intset{
//编码方式
uint32_t encoding;
//集合包含的元素数量
uint32_t length;
//保存元素的数组
int8_t contents[];
}intset;
应用场景:
可以保存类型为int16_t、int32_t 或者int64_t 的整数值,并且保证集合中不会出现重复元素。
- 快速列表(重要)
快速列表(quicklist)是Redis底层重要的数据结构。是列表的底层实现。(在Redis3.2之前,Redis采
用双向链表(adlist)和压缩列表(ziplist)实现。)在Redis3.2以后结合adlist和ziplist的优势Redis设
计出了quicklist。
127.0.0.1:6379> lpush list:001 1 2 5 4 3
(integer) 5
127.0.0.1:6379> object encoding list:001
"quicklist"
双向列表(adlist)

双向链表优势:
- 双向:链表具有前置节点和后置节点的引用,获取这两个节点时间复杂度都为O(1)。
- 普通链表(单链表):节点类保留下一节点的引用。链表类只保留头节点的引用,只能从头节点插
入删除 - 无环:表头节点的 prev 指针和表尾节点的 next 指针都指向 NULL,对链表的访问都是以 NULL 结
束。 - 带链表长度计数器:通过 len 属性获取链表长度的时间复杂度为 O(1)。
- 多态:链表节点使用 void* 指针来保存节点值,可以保存各种不同类型的值。
快速
快速列表
quicklist是一个双向链表,链表中的每个节点时一个ziplist结构。quicklist中的每个节点ziplist都能够存
储多个数据元素。

quicklist的结构定义如下:
typedef struct quicklist {
quicklistNode *head; // 指向quicklist的头部
quicklistNode *tail; // 指向quicklist的尾部
unsigned long count; // 列表中所有数据项的个数总和
unsigned int len; // quicklist节点的个数,即ziplist的个数
int fill : 16; // ziplist大小限定,由list-max-ziplist-size给定
(Redis设定)
unsigned int compress : 16; // 节点压缩深度设置,由list-compress-depth给定(Redis
设定)
} quicklist;
quicklistNode的结构定义如下:
typedef struct quicklistNode {
struct quicklistNode *prev; // 指向上一个ziplist节点
struct quicklistNode *next; // 指向下一个ziplist节点
unsigned char *zl; // 数据指针,如果没有被压缩,就指向ziplist结构,反之指
向 quicklistLZF结构
unsigned int sz; // 表示指向ziplist结构的总长度(内存占用长度)
unsigned int count : 16; // 表示ziplist中的数据项个数
unsigned int encoding : 2; // 编码方式,1--ziplist,2--quicklistLZF
unsigned int container : 2; // 预留字段,存放数据的方式,1--NONE,2--ziplist
unsigned int recompress : 1; // 解压标记,当查看一个被压缩的数据时,需要暂时解压,标
记此参数为 1,之后再重新进行压缩
unsigned int attempted_compress : 1; // 测试相关
unsigned int extra : 10; // 扩展字段,暂时没用
} quicklistNode;
数据压缩
quicklist每个节点的实际数据存储结构为ziplist,这种结构的优势在于节省存储空间。为了进一步降低
ziplist的存储空间,还可以对ziplist进行压缩。Redis采用的压缩算法是LZF。其基本思想是:数据与前
面重复的记录重复位置及长度,不重复的记录原始数据。
压缩过后的数据可以分成多个片段,每个片段有两个部分:解释字段和数据字段。quicklistLZF的结构
体如下:
typedef struct quicklistLZF {
unsigned int sz; // LZF压缩后占用的字节数
char compressed[]; // 柔性数组,指向数据部分
} quicklistLZF;
应用场景
列表(List)的底层实现、发布与订阅、慢查询、监视器等功能。
- 流对象
stream主要由:消息、生产者、消费者和消费组构成。

Redis Stream的底层主要使用了listpack(紧凑列表)和Rax树(基数树)。
listpack
listpack表示一个字符串列表的序列化,listpack可用于存储字符串或整数。用于存储stream的消息内
容。
结构如下图:

Rax树
Rax 是一个有序字典树 (基数树 Radix Tree),按照 key 的字典序排列,支持快速地定位、插入和删除操
作。

Rax 被用在 Redis Stream 结构里面用于存储消息队列,在 Stream 里面消息 ID 的前缀是时间戳 + 序
号,这样的消息可以理解为时间序列消息。使用 Rax 结构 进行存储就可以快速地根据消息 ID 定位到具
体的消息,然后继续遍历指定消息 之后的所有消息。

应用场景:
stream的底层实现
3.2.2 10种encoding
String
int、raw、embstr
int
REDIS_ENCODING_INT(int类型的整数)
127.0.0.1:6379> set n1 123
OK
127.0.0.1:6379> object encoding n1
"int"
embstr
REDIS_ENCODING_EMBSTR(编码的简单动态字符串)
小字符串 长度小于44个字节
127.0.0.1:6379> set name:001 zhangfei
OK
127.0.0.1:6379> object encoding name:001
"embstr"
raw
REDIS_ENCODING_RAW (简单动态字符串)
大字符串 长度大于44个字节
127.0.0.1:6379> set address:001
asdasdasdasdasdasdsadasdasdasdasdasdasdasdasdasdasdasdasdasdasdasdasdasdasdasdas
dasdasdas
OK
127.0.0.1:6379> object encoding address:001
"raw"
list
列表的编码是quicklist。
REDIS_ENCODING_QUICKLIST(快速列表)
127.0.0.1:6379> lpush list:001 1 2 5 4 3
(integer) 5
127.0.0.1:6379> object encoding list:001
"quicklist"
hash
散列的编码是字典和压缩列表
dict
REDIS_ENCODING_HT(字典)
当散列表元素的个数比较多或元素不是小整数或短字符串时。
127.0.0.1:6379> hmset user:003
username111111111111111111111111111111111111111111111111111111111111111111111111
11111111111111111111111111111111 zhangfei password 111 num
2300000000000000000000000000000000000000000000000000
OK
127.0.0.1:6379> object encoding user:003
"hashtable"
ziplist
REDIS_ENCODING_ZIPLIST(压缩列表)
当散列表元素的个数比较少,且元素都是小整数或短字符串时。
127.0.0.1:6379> hmset user:001 username zhangfei password 111 age 23 sex M
OK
127.0.0.1:6379> object encoding user:001
"ziplist"
set
集合的编码是整形集合和字典
intset
REDIS_ENCODING_INTSET(整数集合)
当Redis集合类型的元素都是整数并且都处在64位有符号整数范围内(<18446744073709551616)
127.0.0.1:6379> sadd set:001 1 3 5 6 2
(integer) 5
127.0.0.1:6379> object encoding set:001
"intset"
dict
REDIS_ENCODING_HT(字典)
当Redis集合类型的元素都是整数并且都处在64位有符号整数范围外(>18446744073709551616)
127.0.0.1:6379> sadd set:004 1 100000000000000000000000000 9999999999
(integer) 3
127.0.0.1:6379> object encoding set:004
"hashtable"
zset
有序集合的编码是压缩列表和跳跃表+字典
ziplist
REDIS_ENCODING_ZIPLIST(压缩列表)
当元素的个数比较少,且元素都是小整数或短字符串时。
127.0.0.1:6379> zadd hit:1 100 item1 20 item2 45 item3
(integer) 3
127.0.0.1:6379> object encoding hit:1
"ziplist"
skiplist + dict
REDIS_ENCODING_SKIPLIST(跳跃表+字典)
当元素的个数比较多或元素不是小整数或短字符串时。
127.0.0.1:6379> zadd hit:2 100
item1111111111111111111111111111111111111111111111111111111111111111111111111111
1111111111111111111111111111111111 20 item2 45 item3
(integer) 3
127.0.0.1:6379> object encoding hit:2
"skiplist"
TSET(整数集合)
当Redis集合类型的元素都是整数并且都处在64位有符号整数范围内(<18446744073709551616)
127.0.0.1:6379> sadd set:001 1 3 5 6 2
(integer) 5
127.0.0.1:6379> object encoding set:001
"intset"
dict
REDIS_ENCODING_HT(字典)
当Redis集合类型的元素都是整数并且都处在64位有符号整数范围外(>18446744073709551616)
127.0.0.1:6379> sadd set:004 1 100000000000000000000000000 9999999999
(integer) 3
127.0.0.1:6379> object encoding set:004
"hashtable"
zset
有序集合的编码是压缩列表和跳跃表+字典
ziplist
REDIS_ENCODING_ZIPLIST(压缩列表)
当元素的个数比较少,且元素都是小整数或短字符串时。
127.0.0.1:6379> zadd hit:1 100 item1 20 item2 45 item3
(integer) 3
127.0.0.1:6379> object encoding hit:1
"ziplist"
skiplist + dict
REDIS_ENCODING_SKIPLIST(跳跃表+字典)
当元素的个数比较多或元素不是小整数或短字符串时。
127.0.0.1:6379> zadd hit:2 100
item1111111111111111111111111111111111111111111111111111111111111111111111111111
1111111111111111111111111111111111 20 item2 45 item3
(integer) 3
127.0.0.1:6379> object encoding hit:2
"skiplist"
来源:oschina
链接:https://my.oschina.net/u/4342169/blog/4524344