本文将从何雅玲老师的《格子Boltzmann方法的理论和应用》、Yuanxun Bill&Justin Meskas 的《Lattice Boltzmann Method for Fluid SImulations》、Timm Kruger 的《The Lattice Boltzmann Method》以及默罕默德的《格子玻尔兹曼方法——基础与工程应用(附计算机代码)几本书中挑选一些重要的或常用到的直边界进行介绍。
值得一提的是,Timm Kruger里把边界分成两类:link-wise和wet-node。他俩的区别可见下图。Link-wise包括反弹边界条件,wet-node包括平衡格式,非平衡插值格式,非平衡反弹格式等。而何雅玲老师和穆罕默德的《格子玻尔兹曼方法——基础与工程应用(附计算机代码)》等里并没有这两个概念。

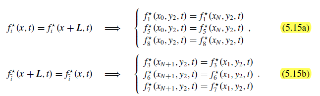
在边界条件中应注意未知的是哪几个方向的分布函数,左边界是f1 f5 f8,右边界是f3 f6 f7,上边界是f4 f7 f8,下边界是f2 f5 f6。当然,在每个边界上也可以把个方向的分布函数都给定,这并没有什么影响(这段话主要是针对我学习时搞不懂为什么有的人给了3个,有的给了4个,有的给了8个。。。。后来才发现多给了是不要紧的)。
角点处需要特殊处理,有时往往是角点处理不好导致计算发散或结果不理想。角点处会专门介绍。
- 周期性边界
(1)标准周期性边界
适用条件:流场在空间呈现周期性变化或在某个方向无穷大(注意:是流场呈周期而不是几何呈周期)
表达式:周期性边界常常需要在左右两侧增加虚拟节点x0和xN+1

代码:注意每种语言的下角标不同
for (j = 1; j < NY; j++)
{
f[0]][j][1] = f[NX+1][j][1];
f[0]][j][5] = f[NX + 1][j][5];
f[0]][j][8] = f[NX + 1][j][8];
}
尽管Timm里也提到了一种不需要虚拟节点的周期性边界,但仍建议使用虚拟节点。因此在此不介绍无虚拟节点的周期性边界。
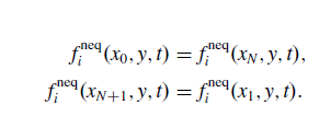
(2)广义周期性边界条件
适用条件:速度呈现周期性但压力场/速度场非周期
表达式:分布函数分解成两部分——平衡态和非平衡态
![]()
平衡态部分:

非平衡态部分:

因此可得:

2、反弹格式
适用条件:固体壁面,无滑移。其主要思想是:分布函数在迁移过程中撞到固体壁面后原路弹回。
(1)标准反弹格式
2个时间步完成迁移-反弹-迁移的过程
(2)半步长反弹
1个时间步内完成迁移-反弹-碰撞的过程

3)静止壁面
以下边界为例:需要确定的是f2 f5 f6

代码:
for (i = 0; i <= NX; i++)
{
f[i][0][2] = f[i][0][4];//下边界
f[i][0][5] = f[i][0][7];
f[i][0][6] = f[i][0][8];
}
4)移动壁面

rhow是流体在固体壁面处的速度,与固体的实际物密度无关。可以是局部流体密度,或者系统平均密度。
总结:
- 对于稳态流动,标准反弹与半步长反弹结果接近;但对于非稳态流动,半步长反弹更准确;通常认为标准反弹是一阶精度,半步长反弹是二阶精度;半步长反弹的另一个优点是不需要固体node,遇到边界后直接弹回
- 建议使用半步长反弹
- 反弹格式优点:稳定,对于静止壁面严格保证质量守恒
- 缺点:当反弹格式与BGK模型一起使用时,无滑移边界实际位置与粘度有关(?)
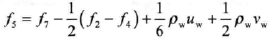
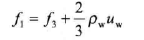
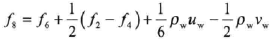
3、非平衡态反弹格式(Zou-He边界)
以速度边界为例。
联立质量守恒、x方向动量守恒、y方向动量守恒三个关系式,并假设与边界垂直的方向上,反弹格式对非平衡部分仍然成立。可得:
西边界:
![]()
![]()
![]()
![]()
代码:
for (j = 1; j < NY; j++)
{
u[0][j][0] = U;
u[0][j][1] = 0;
rho[0][j] = (f[0][j][0] + f[0][j][2] + f[0][j][4] + 2 * (f[0][j][3] + f[0][j][6] + f[0][j][7])) / (1 - U);
f[0][j][1] = f[0][j][3] + 2 * rho[0][j] * U / 3;
f[0][j][5] = f[0][j][7] + rho[0][j] * U / 6;
f[0][j][8] = f[0][j][6] + rho[0][j] * U / 6;
}
4、非平衡态外推格式
将分布函数分成平衡态和非平衡态两部分。
平衡态部分:使用边界节点上宏观物理量求得,如果边界节点上的值未知,则使用内部相邻节点的值替代。
非平衡态部分:用内部相邻节点的非平衡部分替代
![]()
代码:
左右边界:
for (j = 1; j < NY; j++)
for (k = 0; k < Q; k++)
{
rho[NX][j] = rho[NX - 1][j]; //右边界
u[NX][j][0] = u[NX - 1][j][0];
u[NX][j][1] = u[NX - 1][j][1];
f[NX][j][k] = feq(k, rho[NX][j], u[NX][j]) + f[NX - 1][j][k] - feq(k, rho[NX - 1][j], u[NX - 1][j]);
rho[0][j] = rho[1][j]; //左边界
u[0][j][0] = U;
u[0][j][1] = 0;
f[0][j][k] = feq(k, rho[0][j], u[0][j]) + f[1][j][k] - feq(k, rho[1][j], u[1][j]);
}
上下边界:
for (i = 0; i <= NX; i++)
for (k = 0; k < Q; k++)
{
u[i][0][0] = 0;//下边界
u[i][0][1] = 0;
rho[i][0] = rho[i][1];
f[i][0][k] = feq(k, rho[i][0], u[i][0]) + f[i][1][k] - feq(k, rho[i][1], u[i][1]);
rho[i][NY] = rho[i][NY - 1]; //上边界
u[i][NY][0] = 0;
u[i][NY][1] = 0;
f[i][NY][k] = feq(k, rho[i][NY], u[i][NY]) + f[i][NY - 1][k] - feq(k, rho[i][NY - 1], u[i][NY - 1]);
}
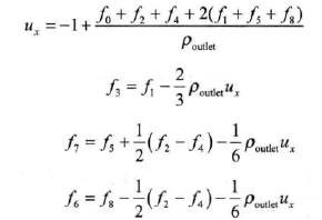
5、开放边界条件
(1)出口速度未知,通常采用外插法来求未知的分布函数
如右边界:

但是,在某些条件下,上述边界条件可能会产生不稳定解,使用一阶内插法比二阶内插法具有更高的稳定性。
代码:
for (j = 1; j < NY; j++)
{
u[NX][j][0] = u[NX - 1][j][0];
u[NX][j][1] = 0;
rho[NX][j] = rho[NX - 1][j];
f[NX][j][3] = 2 * f[NX - 1][j][3] - f[NX - 2][j][3];
f[NX][j][6] = 2 * f[NX - 1][j][6] - f[NX - 2][j][6];
f[NX][j][7] = 2 * f[NX - 1][j][7] - f[NX - 2][j][7];
}
(2)另一种方法是假设边界上的压力已知,及密度rho已知。通常,边界上的密度需要设定为常数(如1)。

来源:oschina
链接:https://my.oschina.net/u/4346770/blog/4390787