KNN
no_loop计算dists矩阵:
参考KNN中no-loop矩阵乘法代码
损失函数

Numpy中ndim、shape、dtype、astype的用法
Python numpy函数:hstack()、vstack()、stack()、dstack()、vsplit()、concatenate()
SVM
for i in range(num_train):
scores = X[i].dot(W) #第i个训练集在10个维度上的数值
correct_score = scores[y[i]] #真实数值
for j in range(num_att):
if j == y[i]:
continue
margin = scores[j] - correct_score + 1 # note delta = 1
if margin > 0: #如果差距>1则计入误差
loss += margin
dW[:,j]+=X[i].T ##通过求导得到
dW[:,y[i]] += -X[i].T
这里的优化参见下图cs231n官方笔记

Softmax

分子常常较大,在分式的分子和分母都乘以一个常数C
通常将C设为使得每项最大值为0
这里的
for i in range(num_train):
scores = X[i].dot(W)
# to keep numerical calculate stablly,minus maximum
scores -= np.max(scores)
exp_scores = np.exp(scores)
prob = exp_scores / np.sum(exp_scores)
for j in range(num_classes):
if j == y[i]:
correct_class_prob = prob[j]
correct_class_logprob = -np.log(correct_class_prob)
loss += correct_class_logprob
dW[:,j] += (correct_class_prob - 1) * X[i,:]
# 之前else没加,硬是找不出来这个bug
else:
dW[:,j] += prob[j] * X[i,:]
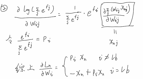
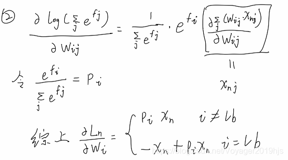
上边代码为求softmax loss的梯度
下面为梯度推导

loss /= num_train
loss += 0.5 * reg *np.sum(W * W)
dW /= num_train
dW += reg * W
dw就是loss对w求导,代码中dw和loss上下对应
来源:CSDN
作者:Shane-HuangCN
链接:https://blog.csdn.net/Voyager2019hjs/article/details/104286598