筛法求欧拉函数
1、如果这个数是质数,1~p-1都是质数
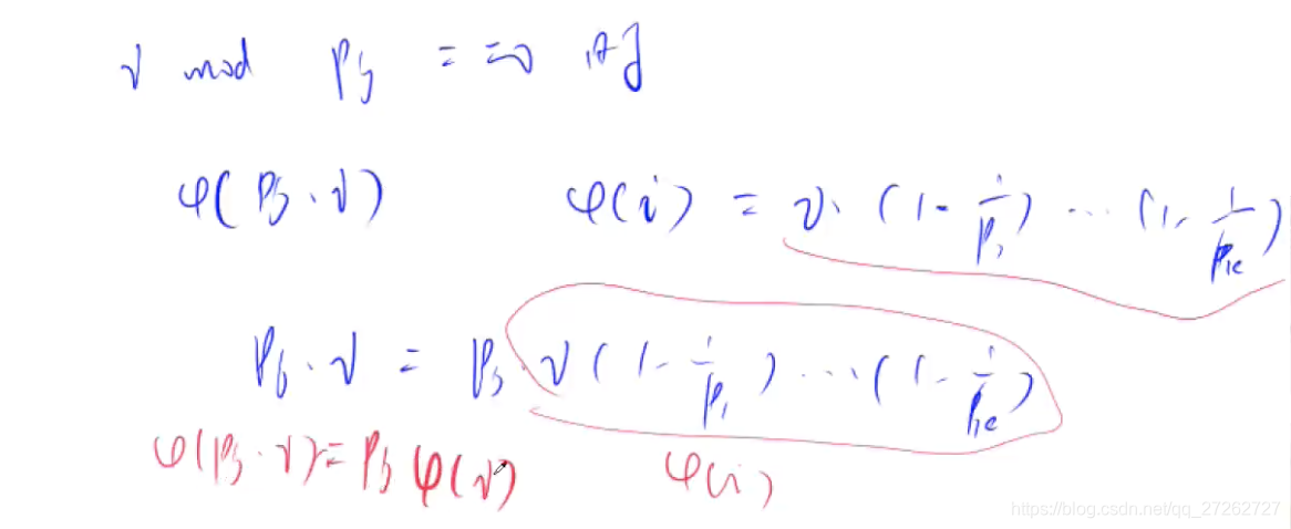
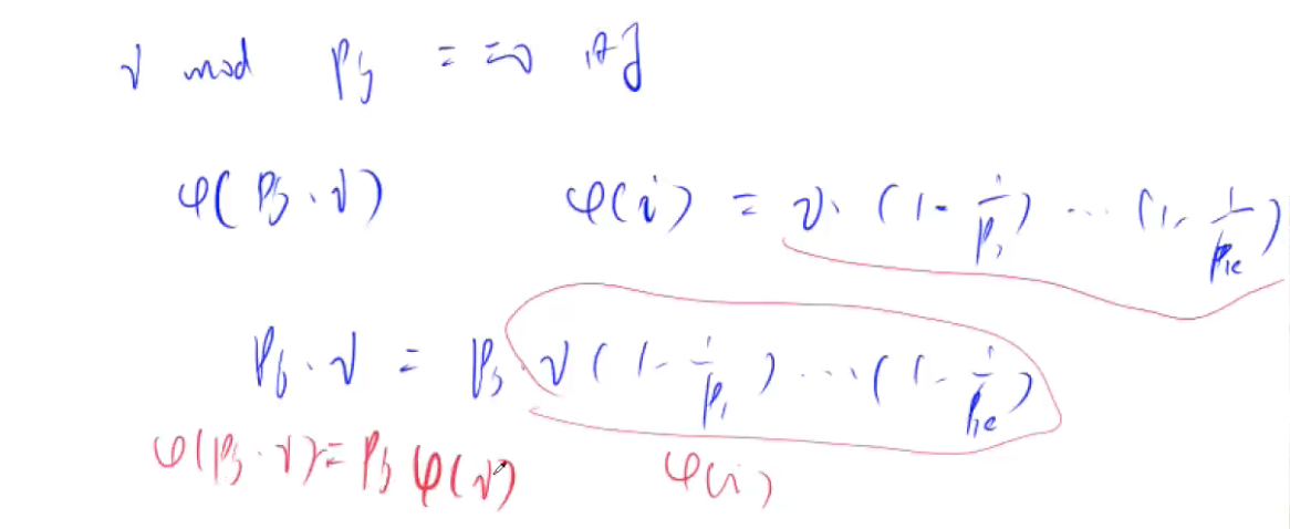
2、如果i % primes[j] == 0,说明i是p[j]的质因子则有:

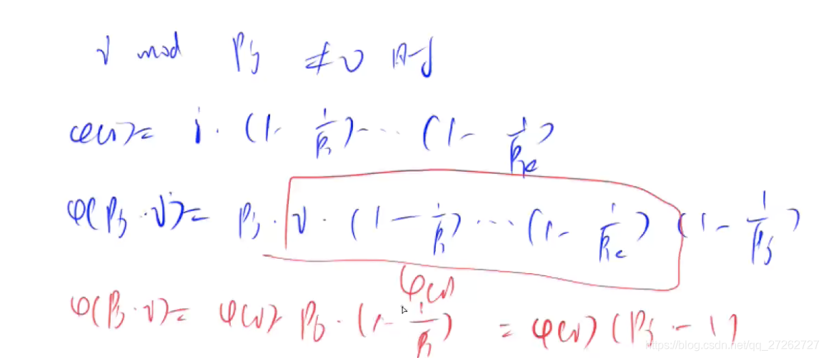
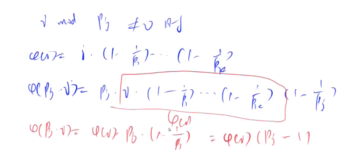
3、如果i % primes[j] != 0,pj是(i*pj)的最小质因子,则有:

Example
给定一个正整数n,求1~n中每个数的欧拉函数之和。
输入格式
共一行,包含一个整数n。
输出格式
共一行,包含一个整数,表示1~n中每个数的欧拉函数之和。
数据范围
1≤n≤1061≤n≤106
输入样例:
6
输出样例:
12
#include <iostream>
#include <algorithm>
using namespace std;
typedef long long LL;
const int N = 1000010;
//primes存的每一个质数, cnt存质数下标
int primes[N], cnt;
//欧拉函数
int phi[N];
bool st[N];//表示每个数是否被筛到
LL get_eulers(int n)
{
phi[1] = 1;//定义第一个
for (int i = 2; i <= n; i ++)
{
if (!st[i])//如果没被筛过
{
primes[cnt ++] = i;
phi[i] = i - 1;//如果这个数是质数,1~p-1都是质数
}
//从小到大枚举所有质数
for (int j = 0; primes[j] <= n / i; j ++)
{
st[primes[j] * i] = true;//标记已经筛过
if (i % primes[j] == 0) //break;//一个优化变成线性
{
//i % primes[j] == 0,说明i是p[j]的质因子
phi[primes[j] * i] = phi[i] * primes[j];
break;
}
//如果i % primes[j] != 0,pj是(i*pj)的最小质因子
phi[primes[j] * i] = phi[i] * (primes[j] - 1);
}
}
LL res = 0;//定义总和
for (int i = 1; i <= n; i ++) res += phi[i];//求总和
return res;
}
int main()
{
int n;
cin >> n;
cout << get_eulers(n) << endl;
return 0;
}
来源:CSDN
作者:ai_XZP_master
链接:https://blog.csdn.net/qq_27262727/article/details/104569826