16 OpenCV之Soble算子

社会主义新天地 提交于 2020-02-05 02:09:03

一、卷积应用-图像边缘提取

  • 图像的高频分量一般出现在像素值显著改变的地方,而高频分量的出现就容易勾画出图像的轮廓。在高等数学中我们知道函数变化剧烈其所对应的导数值越大(极大值),所以表示图像像素值改变最大的一个方法就是求出图像的导数。其梯度值剧烈的改变预示着图像中内容发生显著变化。
  • 假设我们有一张一维图像,图中灰度值的“跃升”表示边缘的存在,通过对函数进行一阶微分我们可以更加清晰的看到边缘“跃升”的存在,即在其一阶微分中最大值代表其所对应的像素值变化剧烈。我们可以推测对于图像边缘的检测可以通过定位梯度值大于邻域的像素的方法找到(或者推广到大于一个阈值即可认为是图像边缘)
    在这里插入图片描述

二、Soble算子

Sobel算子是一个离散微分算子(discrete differentiation operator),它用来计算图像灰度函数的近似梯度并结合了高斯平滑和微分求导,又被称为一阶微分算子、求导算子。

  • 1、在两个方向求导
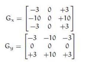
    • 水平变化:将I与一个奇数大小的内核Gx进行卷积,比如当内核大小为3时,Gx计算结果为
      在这里插入图片描述
    • 垂直变化:将I与一个奇数大小的内核Gy进行卷积,比如当内核大小为3时,Gy的计算结果为:
      在这里插入图片描述
  • 2、在图像的每一点结合以上两个结果求出近似梯度:
    在这里插入图片描述
    有时也用如下更简单的代替:
    在这里插入图片描述
  • 注:当内核大小为3时,Sobel内核可能产生比较明显的误差,毕竟Sobel算子只是求取了导数的近似值,为了解决这一问题,opencv提供了Scharr函数,但该函数仅作用于大小为3的内核,该函数的运算与Sobel函数一样快,但结果更加精确,其内核如下:
    在这里插入图片描述

三、相关API

  • Soble
void cv::Sobel  ( InputArray  src,  
  OutputArray  dst,  
  int  ddepth,  
  int  dx,  
  int  dy,  
  int  ksize = 3,  
  double  scale = 1,  
  double  delta = 0,  
  int  borderType = BORDER_DEFAULT  
 ) 

InputArray src: 输入图像
OutputArray dst: 输出图像
int ddepth: 输出图像深度,与输入图像深度对应关系如下表所示:
在这里插入图片描述
int dx: x方向上的差分阶数
int dy: y方向上的差分阶数
int ksize = 3: Sobel函数核尺寸,只能是1、3、5、7中的一个,默认值是3
double scale = 1: 计算导数值可选的缩放银子,默认值是1表示没有缩放
int borderType = BORDER_DEFAULT:边界模式

  • scharr
cv::Scharr (
InputArray Src // 输入图像
OutputArray dst// 输出图像,大小与输入图像一致
int depth // 输出图像深度.
Int dx. // X方向,几阶导数
int dy // Y方向,几阶导数.
double scale = 1
double delta = 0
int borderType = BORDER_DEFAULT
)

四、处理流程

  • 高斯模糊 – 去噪声GaussianBlur()
  • 转换为灰度图像cvtColor()
  • Sobel /Scharr – 一阶导数计算Sobel ()、Scharr ()
  • 取绝对值convertScaleAbs()
  • 图像按权值合成addWeighted()
  • 显示结果

五、示例

#include <opencv2/opencv.hpp>
#include <iostream>

using namespace std;
using namespace cv;

int main()
{
	Mat src, dst;
	src = imread("images/02.png");
	if (!src.data) {
		cout << "could not load image1..." << endl;
		return -1;
	}
	namedWindow("input_image", CV_WINDOW_AUTOSIZE);
	imshow("input_image", src);


	Mat gray_src;
	GaussianBlur(src, dst, Size(3, 3), 0, 0);
	cvtColor(dst, gray_src, CV_BGR2GRAY);
	imshow("gray image", gray_src);

	Mat xgrad, ygrad;
	Sobel(gray_src, xgrad, CV_16S, 1, 0, 3);
	Sobel(gray_src, ygrad, CV_16S, 0, 1, 3);
	convertScaleAbs(xgrad, xgrad);
	convertScaleAbs(ygrad, ygrad);
	imshow("xgrad", xgrad);
	imshow("ygrad", ygrad);

	Mat xygrad = Mat(xgrad.size(),xgrad.type());
	//printf("type:%d\n", xgrad.type());
	int width = xgrad.cols;
	int height = ygrad.rows;
	for (int  row = 0; row < height; row++)  // 比使用addWeighted的效果要好
	{
		for (int col = 0; col < width; col++)
		{
			int xg = xgrad.at<uchar>(row, col);
			int yg = ygrad.at<uchar>(row, col);
			int xy = xg + yg;
			xygrad.at<uchar>(row, col) = saturate_cast<uchar>(xy);
		}
	}
	imshow("xygrad", xygrad); 

	Mat xygrad2;
	addWeighted(xgrad, 0.5, ygrad, 0.5,0, xygrad2);
	imshow("xygrad2", xygrad2);

	waitKey();
	return 0;
}

在这里插入图片描述
在这里插入图片描述
在这里插入图片描述

易学教程内所有资源均来自网络或用户发布的内容,如有违反法律规定的内容欢迎反馈
该文章没有解决你所遇到的问题?点击提问,说说你的问题,让更多的人一起探讨吧!