简介
冒泡排序(
Bubble Sort)是经典排序算法之一,属于交换排序的一种,基本的排序思路是:从头开始两两元素进行比较,大的元素就往上冒,这样遍历一轮后,最大的元素就会直接筛选出来。然后再重复上述操作,即可完成第二大元素的冒泡。以此类推,直到所有的元素排序完成。
算法实现步骤
-
比较相邻的元素,如果第一个比第二个大,就交换它们两个(确定排序规则:从小到大或从大到小);
-
对每一对相邻元素做同样的工作,从开始第一对到结尾的最后一对;
-
针对所有的元素重复以上的步骤,除了最后一个;
-
重复步骤1~3,直到没有任何一对元素需要比较,那么排序完成。
Python 代码实现
# bubble_sort 代码实现
from typing import List
# 冒泡排序
def bubble_sort(arr: List[int]):
"""
冒泡排序(Bubble sort)
:param arr: 待排序的List,此处限制了排序类型为int
:return: 冒泡排序是就地排序(in-place)
"""
length = len(arr)
if length <= 1:
return
for i in range(length):
is_made_swap = False ## 设置标志位,若本身已经有序,则直接break
for j in range(length - i - 1):
if arr[j] > arr[j + 1]:
arr[j], arr[j + 1] = arr[j + 1], arr[j]
is_made_swap = True
if not is_made_swap:
break
# 测试数据
if __name__ == '__main__':
import random
random.seed(54)
arr = [random.randint(0,100) for _ in range(10)]
print("原始数据:", arr)
bubble_sort(arr)
print("冒泡排序结果:", arr)
# 输出结果
原始数据: [17, 56, 71, 38, 61, 62, 48, 28, 57, 42]
冒泡排序结果: [17, 28, 38, 42, 48, 56, 57, 61, 62, 71]
动画演示

算法分析
-
时间复杂度
如果数据一开始就是顺序,那么只需1趟排序即可完成。所需的比较次数
C和记录移动次数M均达到最小值,即:
所以,冒泡排序最好的时间复杂度为
O(n)。如果数据一开始是逆序的,则需要进行
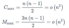
n-1趟排序,每趟要进行n-i次比较,且每次比较必须移动记录3次来达到交换记录位置。此时,比较和移动次数均达到最大值:

-
空间复杂度 空间复杂度就是在交换元素时那个临时变量所占的内存空间。最优的空间复杂度就是开始元素顺序已经排好了,则空间复杂度为0;最差的空间复杂度就是开始元素逆序排序了,则空间复杂度为:
O(n); 平均的空间复杂度为:O(1); -
稳定性
由于在比较过程中,当两个相同大小的元素相邻,只比较大或者小,但不会交换位置。而当两个相等元素距离较远时,也只会把它们交换到相邻的位置。也就是说排序过程中,相等元素的位置前后关系不会发生任何变化,所以算法是稳定的。
-
综合评价

联系我们
个人博客网站:http://www.bling2.cn/
Github地址:https://github.com/lb971216008/Use-Python-to-Achieve
知乎专栏:https://zhuanlan.zhihu.com/Use-Python-to-Achieve

来源:oschina
链接:https://my.oschina.net/u/4245665/blog/4282227