原文链接:http://tecdat.cn/?p=5261
首先介绍一下Iris鸢尾花数据集,内容摘自百度百科:Iris数据集是常用的分类实验数据集,由Fisher, 1936收集整理。“Iris也称鸢尾花卉数据集,是一类多重变量分析的数据集。数据集包含150个数据集,分为3类,每类50个数据,每个数据包含4个属性。可通过花萼长度,花萼宽度,花瓣长度,花瓣宽度4个属性预测鸢尾花卉属于(Setosa,Versicolour,Virginica)三个种类中的哪一类”。
导入库
读取数据
数据字段介绍:
sepal_length:花萼长度,单位cm
sepal_width:花萼宽度,单位cm
petal_length:花瓣长度,单位cm
petal_width:花瓣宽度,单位cm
种类:setosa(山鸢尾),versicolor(杂色鸢尾),virginica(弗吉尼亚鸢尾)
在做categorical visualization的时候,seaborn给出了基础的stripplot & swarmplot, boxplot & violinplot, barplot & pointplot,以及抽象化的factorplot.下面就用纸鸢花数据集做一下讲解。
StripplotStripplot的本质就是把数据集中具有quantitative属性的变量按照类别去做散点图(Scatterplot)。
我们将纸鸢花数据集中不同种类花的sepal length做stripplot可视化
plt.show()

上边左侧的图片便是在默认风格下用stripplot绘制的散点图。在很多情况下,stripplot中的点会重叠,使得我们不容易看出点的分布情况。一个简单的解决办法就是用在stripplot的基础上绘制抖动图(jitterplot),仅沿着类别坐标轴的方向去随机微调整点的位置,显示出分布情况。
Swarmplot另一个解决stripplot中点重叠的办法就是绘制swarmplot,它的本质就是用通过算法,在类别坐标轴的方向上去‘延展’绘制这些原本重合的点。我们将纸鸢花数据集中不同种类花的petal length和petal width做swarmplot可视化。
plt.subplot(1,2,1)sns.swarmplot(x='Species',y='Petal.Length',data=iris)plt.show()

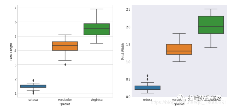
Boxplot箱形图,主要包含六个数据节点,将一组数据从大到小排列,分别计算出上边缘,上四分位数Q3,中位数,下四分位数Q1,下边缘,还有异常值。下面将纸鸢花数据集中的四个变量sepal_length, sepal_width, petal_length和petal_width做箱形图可视化。
fig = plt.figure(1,figsize=(12,12))plt.show()


Violinplot
Violinplot相当于结合了箱形图与核密度图,更好地展现出数据的量化形态。展示如下:
plt.figure(1,figsize=(12,12))for i in range(4):plt.show()


Violinplot用kernel density estimate去更好地描述了quantitative变量的分布。


与此同时,也可以组合swarmplot和boxplot或violinplot去描述quantitative变量。用鸢尾花数据集展示如下:
In [8]:plt.figure(1,figsize=(12,12))plt.title(str(var[i])+ ' in Iris species')plt.show()
BarplotBarplot主要是展现在分类中的quantitative变量的平均值情况,并且用了boostrapping算法计算了估计值的置信区间和error bar.用鸢尾花数据集展示如下:


Countplot如果想知道在每个类别下面有多少个观察值,用countplot就可以,相当于是做一个observation counts,用鸢尾花数据集展示如下:

PointplotPointplot相当于是对barplot做了一个横向延伸,一方面,用point estimate和confidence level去展示barplot的内容;另一方面,当每一个主类别下面有更细分的sub-category的时候,pointplot可以便于观察不同sub-category在各主类别之间的联系。展示如下:


FactorplotFactorplot可以说是seaborn做category visualization的精髓,前面讲的这些plot都可以说是factorplot的具体展示。我们可以用PariGrid去实现对多个类别的数值特征用同一种plot做可视化。
In [12]:g.map(sns.violinplot,palette='pastel')plt.show()

附上各plot function的API,今后将会对API中的参数结合tutorial讲讲,如何做出更好的可视化效果。更新ing
seaborn.stripplot(x=None, y=None, hue=None, data=None, order=None, hue_order=None,ata=None, order=None, hue_order=None,bw='scott', cut=2, scale='area', scale_hue=True, gridsize=100, width=0.8, inner='box',split=False, dodge=True, orient=None, linewidth=None, color=None, palette=None,saturation=0.75, ax=None, **kwargs)seaborn.lvplot(x=None, y=None, hue=None, data=None, order=None, hue_order=None,orient=None, color=None, palette=None, saturation=0.75, width=0.8, dodge=True,
小结
seaborn是一个很棒的可视化库,尤其是当数据维度很大的时候,seaborn可以让我们用最少的代码去绘制一些描述性统计的图,便于找寻各维度变量之间的特征。此篇文档也是我对seaborn的学习笔记,这次整理的内容是关于category visualization。下次将会选取其他数据集去整理关于distribution visualization的内容。

欢迎加小助手好友,微信号:cyx645016617,或者扫码添加小助手学长。小助手是一个刚毕业的研究生学长,在学习机器学习或者python的路上如果有疑惑,会很耐心很认真的解答哦~

本文分享自微信公众号 - 机器学习炼丹术(liandanshu)。
如有侵权,请联系 support@oschina.cn 删除。
本文参与“OSC源创计划”,欢迎正在阅读的你也加入,一起分享。
来源:oschina
链接:https://my.oschina.net/u/4591990/blog/4428674