Cross-Modality Paired-Images Generation for RGB-Infrared Person Re-Identification
当前的问题及概述:
由于每一对RGB和IR图像之间缺乏对应标签,大多数方法都试图通过减少整个RGB和IR set之间的差异来缓解set-level对齐的变化。但是,这种set-level的对齐可能会导致某些情况下的不对齐,从而限制了RGB-IR Re-ID的性能。
本文提出了生成跨模态paired-images并同时进行 global set-level(集合级别)和fine-grained instance-level(实例级别)对齐的方法。具体解释见下图:
set-level和instance-level对齐的说明。(a) RGB集和IR集之间有很大的差距。(b)现有的set-level对齐的方法是尽量减少两个模态之间的距离,这可能导致某些情况下的不对齐。©我们的方法首先生成交叉模态paired-images。(d)通过最小化每一pair的图像之间的距离来实现instance-level对齐。
有以下几个优点:
1.我们的方法可以通过模态特定特性和模态不变特性来实现set-level对齐。与传统方法相比,我们的方法可以明确地去除模态特征,从而更好地减少模态带来的变化。
2.在给定人的交叉模态unpaired-images的情况下,我们的方法可以从交换的图像中生成交叉模态paired-images。从而,我们可以通过最小化每个pair的图像的距离来直接执行instance-level对齐。
3.在SYSU-MM01数据集上,本模型在Rank-1和mAP上的增益分别为9.2%和7.7%。
模型及loss:
1.不同网络的生成结果:
(a)在edge-photo任务中,我们可以得到交叉模态配对图像。通过最小化它们在特征空间中的距离,我们可以很容易地减少跨模态的差距。(b)在RGB-IR Re-ID任务中,我们只有unpaired-images。由跨模态差异引起的外观变化使任务更具挑战性。©本文可以很好地生成与给定图像pair的图像,这有助于我们改进RGB-IR的识别。(d,e) 例如CycleGAN 和StarGAN 未能处理这个问题。
2.框架
本文提出的框架包括一个跨模态配对图像生成模块G和一个特征对齐模块F。G首先将图像分解成特定模态和不变模态特征,然后解码所交换的特征。F首先使用模态不变编码器进行set-level对齐,然后通过最小化每对图像的距离进一步缩小进行instance-level对齐。最后,通过训练具有ReID loss的两个模块,我们可以同时学习模态对齐和身份识别特征。
2.1Cross-Modality Paired-Images Generation Module
在如图2(b)可以看到,在RGB-IR任务中,来自两种模式的训练信息是不配对的,这使得缩小RGB和IR模态间的差距变得更加困难。为了解决这一问题,我们提出了通过特征分离和解码来生成成对图像的方法。我们假设图像可以被变换成模态不变和模态特定的特征。在这里,模态不变特征包括姿势、性别、服装类别、携带的东西等内容信息。模态特定特征有服装/鞋的颜色、质地等风格信息。因此,对于未配对的图像,通过分离和交换它们的样式信息,我们可以生成配对图像,其中两个图像具有相同的内容信息(如姿势和视图),但具有不同的样式信息(如服装颜色)。
首先,本文用3个编码器来进行特征分离,图中可以看到式1、2中每个字母代表的含义,Ei为共有特征,Es为特有特征:
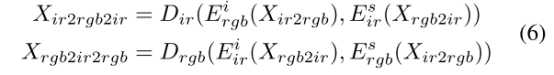
为了生成与真实IR图像匹配的RGB图像,我们可以使用真实IR图像的模态不变特征(内容特征)和真实RGB图像的模态特定特征(风格特征),生成IR图像同理,即:
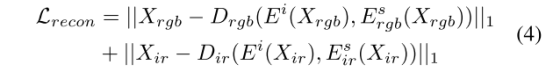
选用三个loss进行图像生成,一个是Reconstruction Loss,用于迫使被拆散的特征重新构建它们的原始图像:
一个是cycle loss:
其中:
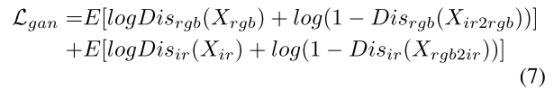
由于前两个loss会使得图像模糊,加入GAN loss被证明可以使得图像更真实:
2.2Feature Alignment Module
Set-Level Feature Alignment部分:目前特征提取部分通常用two-stream网络,但是,这些方法并没有很明显的被证明可以删除模态的特有特征,这些特有特征很可能被编码到共享的特性空间中,从而影响性能。
在本文中,利用一个set-level编码器Esl来学习set-level对齐特性。Esl与生成器中的共享特征编码器Ei共享权重。我们可以看到,在交叉模态配对图像生成模块中,Ei被训练成去除模态特定的特征保留不变特征。因此,给定任意模态的图像X,我们可以学习它们的set-level对齐特征M = Esl(X)
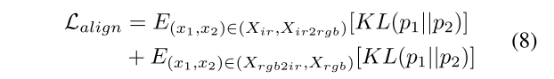
Instance-Level Feature Alignment部分:本文使用生成器生成的交叉模态配对图像(paired-image)来进行实例级(instance-level)对齐。首先利用实例级编码器Eil将set-level对齐的特征M映射到一个新的有限元空间T,即T = Eil(M)。然后,基于特征空间T,通过最小化它们的KL散度,对每两个交叉模态匹配的图像进行对齐。因此,instance-level feature alignment loss如下:
其中,p1 = C(t1)和p2 = C(t2)是x1和x2对所有恒等式的预测的可能性,t1和t2是x1和x2在特征空间T中的特征。
Identity-Discriminative Feature Learning部分主要包含identity loss和ranking loss两部分,主要是为了克服模态内的变化以及对ID进行分类:
2.3overall:
实验:
数据集:SYSU-MM01 and RegDB
消融实验(set-level (SL) and instance-level (IL)):
与其他结构比较:
不同网络的生成结果比较,可以看到本模型生成的图片最真实:
来源:CSDN
作者:matlabLKL
链接:https://blog.csdn.net/qq_41967539/article/details/104616032