题意
很简单,对于一个图来说,每次去掉一个点和这个点所相关点边,为了使得剩下点之间互相都是联通的,问需要加多少条边?
思路
很简单,类似记忆化搜索,我们遍历每个点,然后对于当前点去掉的情况,我们算整个图的联通块数目,算法是DFS,每次遇到每个没有走过的点,就把和这个点的所有关的点打上标记,下次遇到这些打了标记点就不会走了,我们算这些没有走过的点,就能算出联通块点数目
坑点
第一次写了一个DFS搜索,然后觉得由于n大到了1000,遍历每个点是O(n)的复杂度,但是每个点DFS算联通块也是O(N),整个算法最坏复杂度是O(n^2)的,为了节省时间,我当时预处理了所有点的答案,防止再算K的时候,因为重复算答案造成的浪费时间,结果最后一个点超时,后面发现不需要这样。。直接每次处理就不会超时,可能是K比较小点缘故
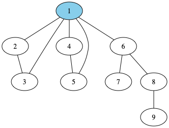
当时超时后,又想了一个算法,是算和当前点相连的桥的数量,这样预处理桥,就能直接计算出断了之后联通块的数目,但是这样其实是不对的,我们这样算出来的联通块,是相当于没有移除当前点的联通块数目,但是我们移除了一个点之后,这个点后,是否会减少联通块数目这个并不知道,要看这个点是否是全部是由联通块构成?这个想法还是错误的比如以下这个图
然后你会发现,去掉1点,答案应该是3,也就是说,我们去掉的时候,如果单纯考虑桥的话,其实是不对的,这里1,2,3之间没桥,但是去掉1了,依然有联通块生成,是不对的。所以计算去掉点的联通块数目,不应该用桥来算,桥看的只是去掉一条边,而我们去掉点,实际上去掉了很多条边,所以考虑桥是不对的。
总结
这个题实际上最开始就是想对了,但是因为自己写对姿势不太对,就出现了超时,然后离正确的答案越来越远了。
如果题目询问没有给明非常大,尽量不要把答案全部生成,因为这样会使得算法的复杂度在询问次数很小的情况下都接近接近最坏复杂度。
#include<iostream>
#include<string.h>
#include<stdio.h>
#include<algorithm>
#include<map>
#include<queue>
#include<vector>
#define LL long long
using namespace std;
const int maxx = 1e4+4;
std::vector<int>G[maxx];
int ans[maxx];
int vis[maxx];
void dfs(int x){
vis[x]=1;
for (int i=0;i<G[x].size();i++){
if (vis[G[x][i]]==0){
dfs(G[x][i]);
}
}
}
int main(){
int n,m,k;
#ifdef ONLINE_JUDGE
#else
freopen("in.txt","r",stdin);
#endif
while(~scanf("%d%d%d",&n,&m,&k)){
int uu,vv;
for (int i=1;i<=m;i++){
scanf("%d%d",&uu,&vv);
G[uu].push_back(vv);
G[vv].push_back(uu);
}
int cnt=0,tmp;
for (int i=1;i<=k;i++){
memset(vis,0,sizeof(vis));
scanf("%d",&tmp);
vis[tmp]=1;
cnt=0;
for (int j=1;j<=n;j++){
if (vis[j]==0){
cnt++;
dfs(j);
}
}
printf("%d\n",cnt-1);
}
}
return 0;
}
来源:CSDN
作者:bluefly-hrbust
链接:https://blog.csdn.net/qq_40921866/article/details/104353569