虚幻模式

白昼怎懂夜的黑 提交于 2020-02-01 17:50:58

昨天在公众号“原理”中“

”一文介绍了一种数学规律突然消失的情况,即数学中的

虚幻模式。这种虚幻模式最初是由David Borwein、Jonathan Borwein父子两人在2001年发现的这种不寻常的模式。

image

^Jonathan Borwein^

这其中涉及到一个在信号处理领域中常被使用的一个函数:sinc函数,它的公式如下:

image

这个函数是正弦函数sin(t)除以t,是一个偶对称函数。如果函数自变量乘以一个常量因子,则会引起函数图形的尺度变化,即沿着自变量坐标轴的方向进行拉伸和压缩。下图显示了尺度动态变化的sinc函数。

image

虽然sinc函数是由简单的基本函数经过初等运算组成,但是它的原函数,即积分函数却不是一个初等函数。下图就是使用数值计算绘制出sinc函数的积分函数图形。从图像中可以看出,随着t趋向于正无穷,积分的值趋向于一个常量π,这说明sinc函数的面积等于π。

image

严格证明sinc函数的面积等于π,需要使用到 一些数学技巧,下面的连接给出了两种求取sinc函数面积的方法。

https://www.wikihow.com/Integrate-the-Sinc-Function

前面提到的“数学虚幻模式”就是研究sinc函数面积的问题。如果将sinc函数与它的拉伸三倍的函数相乘,仍然得到一个偶对称的函数,如下图所示:

image

那么这个相乘后的函数的面积是多少呢?

sinc函数的面积等于π,拉伸三倍的函数的面积应该等于3π。如果求两个函数相加后的面积,结果则很简单,就是4π。但这里求它们的乘积的面积,则有一定的困难了。

不过最终还是可以通过数学计算获得sinc(t)*sinc(t/3)的面积,结果居然还是π。

如果将故事继续下去,将上述函数乘以sinc函数拉伸5倍后的sinc函数。即:

sinc(t)*sinc(t/3)*sinc(t/5)

这个偶对称函数它的面积是多少呢?如果这个乘积项继续增加,它们的面积又会是多少呢?这中间有什么规律吗?

下图绘制了上述函数乘积项数,从1 到10的变化情况:

image

可以看出,这个乘积函数始终是偶函数,并且随着乘积项的增多,整个函数逐步收敛于一个固定的函数。

这些函数的面积有下面公式给出,其中N定义了函数乘积项的个数。这个积分被称之为:Borwein积分。

image

求解上述面积非常困难,数学家借助于数值计算逐步求解上面的积分,就会发现一个令人困惑的现象:当函数的乘积项N等于1至7的时候,积分的数值In始终都精确的等于π。但是当N=8的时候,虽然看起来整个函数图像与前面很相似,但结果却不在严格等于π了,而是稍微变小了,大约小了0.0000000001(9个0,1个1)。

当数学家第一次在计算机上算的这个数值的时候吧,他们以为是计算软件出现了bug。但随后的解证实了这个数值的正确性,当N继续增加时,所得到的函数面积会变得越来越小。

这种数学模型突然变化,使得人们感到困惑。实际上还有其它的数学模式会持续更长的序列,然后突然消失。比如下面的这个积分值,当N小于56的时候,Jn都等于π/2。但当N大于57的时候,Jn就开始变小了,小了10的负110次方。

image

对于数学中的虚幻模式,可以从数学上进行探讨,也可以从物理上进行解释。当然,如果大家学习了“信号与系统”,就可以从信号的频域看待这个虚幻模式了,会发现,它实际上并不虚幻。

为了叙述方便,假设大家都已熟悉了傅里叶变换(FT:Fourier Transform)以及它的基本性质。

根据FT对偶性质,时域的sinc函数,在变换域频谱函数,即它的傅里叶变换则是一个非常简单的窗口函数,也称方波信号。

image

信号的频谱F(Ω)在原点的取值F(0)恰好等于信号的面积。

根据FT的尺度性质,sinc函数在时域的拉伸和压缩,也会引起频谱的压缩和拉伸。只是两者变化的方向是相反的。

image

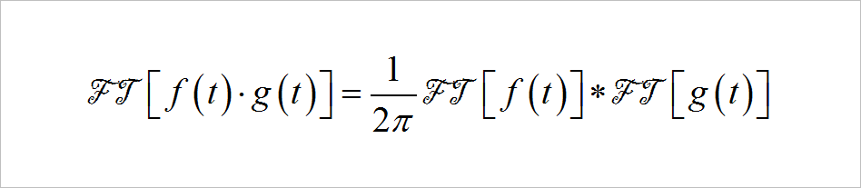
最后,还需要借助于FT的另外一个重要的性质:卷积定理。它有两种形式:时域卷积定义和频域卷积定理。

由于前面Borwein积分讨论的是函数相乘后的面积,所以这里需要应用到FT的频域卷积定理,有下面公式给出:

image

由频域卷积定理可知,两个信号的乘积的频谱等于它们频谱的卷积。

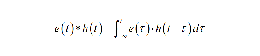
“卷积”运算是信号与系统中重要的运算,它刻画了线性时不变系统的输入输出信号之间的关系。它的公式如下:

image

上面公式说明,计算两个信号的卷积结果,需要经过以下四个步骤:将其中一个函数进行反褶、平移,然后在和另外一个函数相乘,积分。

这个过程可以通过下面的动图来反映:

image

从上面动图显示的卷积效果来看,如果 一个函数卷积一个方波信号,结果相当于该函数进行了平滑,结果的长度等于两个信号的长度之和。

有了以上的基本概念之后,下面就可以来分析造成Borwein积分中的“虚幻模式”的原因了。

根据FT的对偶特性,尺度特性,下图给出了sinc(t),sinc(t/3)的频谱。

image

然后根据FT的频域卷积定理以及卷积计算过程,可以绘制出

sinc(t)*sinc(t/3)

的频谱图像,如下图所示:

image

可以看出,卷积后的频谱,原本是方波的边缘就变成了斜坡的过渡带,这是信号卷积一个窗口信号所带来的平滑的作用。过渡带的宽度等于窗口函数的长度。

如果卷积窗口函数的次数越多,这个平滑作用越大,过渡带的宽度就越长。如果过渡带的长度小于原来方波信号的宽度,此时方波在0点的取值F(0)就不会发生变化。请注意,这个F(0)是信号频谱在原点的取值,恰恰就是原来函数的面积。

根据卷积计算过程,可以知道这个平滑过渡带的宽度等于所有参与卷积窗口宽度之和。下图显示了随着乘积项的个数增加,在频域卷积后的变化情况。

image

从上图中可以看到,当N小于7的时候,F(0)始终等于π,当N等于等于8之后,F(0)的取值就开始减小了。

根据Borwein积分函数形式,可以知道过平滑后的频谱过渡带的宽度等于:

image

可以看到,当N小于7的时候,上述的累加和始终小于1,过渡带没有影响到F(0)的取值。当N=8的时候, Cn=1.0218,大于1,此时过渡带影响到了F(0)的取值,并使其减小。

通过以上分析可以看出,原本比较“虚幻”的模式,如果换了一个观察和分析的角度,这个虚幻模式就变成了非常简单的现象了。

在近期发表在《物理评论快报》上,物理学家Satya N. Jajumda则将上述的积分使用随机游走的概念来进行解释。使得原本简单的函数积分又重新有了新的含义。

image

大学工科的同学们,或早或晚都会学习“信号与系统”这门课程。虽然它会涉及到很多抽象的数学运算,但本质上它利用数学的方法刻画现实生活中的信号、系统的行为。一些基本的概念和方法会提高我们对显示物理过程现象的认知能力。如果有意去运用这些基本原理,则可以创造出更加有趣的作品:

下面两个实验作品就是本春季学期“信号与系统”板上的同学们做的两个电子实验作品:

(1)音乐喷泉:利用MCU对于接收到的声音信号进行FFT,然后根据声音信号的频分别控制喷泉的不同喷射模式,形成与音乐的节奏和旋律相匹配的喷泉效果。

image

(2)膜拜大熊猫:通过控制照明LED的闪烁频率,使其与底盘旋转速度形成周期关系,并略微有一定的周期差别,这就形成了对于图像离散采样的场景。原本高速旋转的图像,在周期频闪灯的采样下形成了大熊猫缓慢动态变化的效果。

image

(1)原文链接:

https://phys.org/news/2019-07-illusive-patterns-math-ideas-physics.html

(2)求解sinc函数面积的方法链接:

https://www.wikihow.com/Integrate-the-Sinc-Function

易学教程内所有资源均来自网络或用户发布的内容,如有违反法律规定的内容欢迎反馈
该文章没有解决你所遇到的问题?点击提问,说说你的问题,让更多的人一起探讨吧!