题目描述:
给你一棵以 root 为根的二叉树和一个整数 target ,请你删除所有值为 target 的 叶子节点 。
注意,一旦删除值为 target 的叶子节点,它的父节点就可能变成叶子节点;如果新叶子节点的值恰好也是 target ,那么这个节点也应该被删除。
也就是说,你需要重复此过程直到不能继续删除。
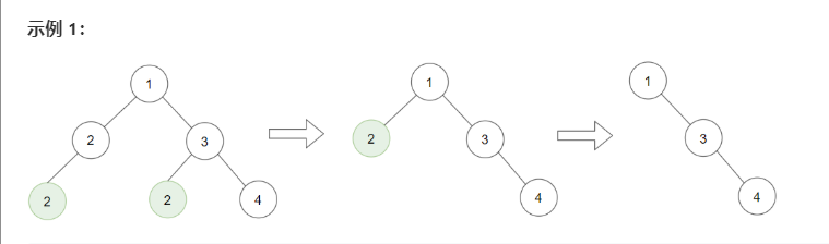
示例 1:
输入:root = [1,2,3,2,null,2,4], target = 2
输出:[1,null,3,null,4]
解释:
上面左边的图中,绿色节点为叶子节点,且它们的值与 target 相同(同为 2 ),它们会被删除,得到中间的图。
有一个新的节点变成了叶子节点且它的值与 target 相同,所以将再次进行删除,从而得到最右边的图。
示例 2:
输入:root = [1,3,3,3,2], target = 3
输出:[1,3,null,null,2]
示例 3:
输入:root = [1,2,null,2,null,2], target = 2
输出:[1]
解释:每一步都删除一个绿色的叶子节点(值为 2)。
示例 4:
输入:root = [1,1,1], target = 1
输出:[]
示例 5:
输入:root = [1,2,3], target = 1
输出:[1,2,3]
提示:
1 <= target <= 1000
每一棵树最多有 3000 个节点。
每一个节点值的范围是 [1, 1000] 。
来源:力扣(LeetCode)
链接:https://leetcode-cn.com/problems/delete-leaves-with-a-given-value
著作权归领扣网络所有。商业转载请联系官方授权,非商业转载请注明出处。
使用递归或者是栈
代码:
栈
class Solution {
public TreeNode removeLeafNodes(TreeNode root, int target) {
Queue<TreeNode> queue = new LinkedList<TreeNode>();
queue.offer(root);
Stack<TreeNode> queue1 = new Stack<>();
queue1.push(root);
while (!queue.isEmpty()) {
int size = queue.size();
for (int i = 0; i < size; i++) {
TreeNode poll = queue.poll();
if (poll.left != null) {
queue.offer(poll.left);
queue1.push(poll.left);
}
if (poll.right != null) {
queue.offer(poll.right);
queue1.push(poll.right);
}
}
}
while (!queue1.isEmpty()) {
TreeNode poll = queue1.pop();
// System.out.println(poll.val);
if (poll.left != null) {
if (poll.left.val == target) {
if (poll.left.left == null && poll.left.right == null) {
poll.left = null;
}
}
}
if (poll.right != null) {
if (poll.right.val == target) {
if (poll.right.left == null && poll.right.right == null) {
poll.right = null;
}
}
}
}
if (root.left == null && root.right == null) {
if (root.val == target) {
return null;
}
}
if (root.left != null) {
if (root.left.val == target && root.left.right == null && root.left.left == null) {
root.left = null;
}
}
if (root.right != null) {
if (root.right.val == target && root.right.right == null && root.right.left == null) {
root.right = null;
}
}
return root;
}
}
使用递归
class Solution {
public TreeNode removeLeafNodes(TreeNode root, int target) {
if(root == null){
return null;
}
TreeNode left = removeLeafNodes(root.left,target);
TreeNode right = removeLeafNodes(root.right,target);
if(left == null && right == null && root.val == target){
return null;
}
root.left = left;
root.right = right;
return root;
}
}
来源:CSDN
作者:wenbaoxie
链接:https://blog.csdn.net/qq_34446716/article/details/104045304