之前做数字图像处理时的作业,整理上来备份一下。
近年来,目标检测在深度学习这波浪潮下经历了快速迭代和发展,包括两阶段的R-CNN, Fast R-CNN, Faster R-CNN, Mask R-CNN系列的方法,更加上了FPN,FCN,Focal Loss等多种技巧,由于准确度较好,目前仍然在各种检测任务扮演者重要的角色,包括在遥感图像领域。与此相比,SSD,Yolo系列的一阶段检测方法,由于效率更高,在落地应用中展现出了强大的活力。
上述的R-CNN、YOLO系列几种经典目标检测算法在通用的PASCAL VOC,COCO数据集上都有不错的效果,但是在遥感领域却需要做很多针对性的优化,才能对遥感图像做较好的检测。遥感图像与自然场景下的普通图像相比,有如下特点:
- 角度是从空中拍摄,30度-90度
- 因图像涵盖范围广,小目标占比很大,分布密集
- 旋转不变性(船舶各个方向都有,但ImageNet中大树总是垂直的)
- 周围环境信息更重要
- 训练数据少,但单张图片像素可能极大(某些数据集不大)
- 图片可能包含其他各种信息,如波段,地理坐标
遥感图像的上述特点,使得对其进行精准的目标检测有很大的挑战。接下来本文将重点分析几篇和遥感图像目标检测有关的重要文献,并简单介绍调研到的其他文献。
第一篇是DOTA数据集[1](DOTA2018),我们小组的课题打算在此数据集的更新版本(DOTA2019)上,调研现有的遥感图像目标检测算法,并针对数据集和遥感图像的特点,搭建深度学习框架,希望能以较高的准确度进行遥感图像目标检测。
1.DOTA: A large-scale dataset for object detection in aerial image
1.1 DOTA数据集
这篇文章主要介绍了DOTA数据集,以及在YOLOv2,SSD, Faster RCNN等几个常用的目标检测框架上的baseline。
DOTA数据集是CVPR2018上提出的一个空间图像的目标检测数据集,希望像ImageNET,COCO在图像分类和自然场景目标检测所起的作用,通过高质量的目标检测数据集的发布,推动遥感图像目标检测领域的发展,加速学术界的优质模型和处理思想落地应用。
下图是DOTA数据集的部分标注展示。可以看到许多密集的小目标都被标注了出来,该数据集的标注质量相对比较高。

1.2数据集基本信息
DOTA数据集共有2806张遥感图片,来自多种不同的传感器和平台,保证了数据的多样性。每张图片的大小约为4000*4000像素值,包含目标的不同尺度、朝向和形状。这些DOTA图像包含15种常见的目标类别,分别是plane, ship, storage tank,baseball diamond, tennis court, basketball court, ground track field, harbor, bridge, large vehicle, small vehicle, helicopter, roundabout, soccer ball field, basketball court。数据集包含的实例目标数总共为188,282个,与COCO等自然场景下的数据集不同,为了避免因朝向等问题无法精确地刻画目标的位置,DOTA数据集的标注均采用有角度的坐标框。在发布四点坐标的有角度框的同时,官方也发布了一份矩形的用两点(左上、右下)坐标表示的框。
通过下图可以看到,大多数的instance大小都在500像素值以内,不过也包含了不少500-1000的中等大小目标和1000以上的大型目标,像素大小分布分常合理。另一方面,各目标的角度几乎涵盖了所有角度(-π~π),也体现出了遥感图像和普通图像的不同点。在普通图像中,大树、车辆、人等目标几乎都是垂直于地面的,很少存在不同角度的树、人,而空间遥感图像由于拍摄角度的不同,所有目标都可能出现于各种不同的角度,给检测带来了很大的挑战。

Paper中还比较了DOTA与UCAS-AOD[2]、HRSC2016[3]、NWPU VHR-10[4]等其他空间遥感图像的数据集,总的来看,DOTA所涉及的目标种类多,标注实例庞大,来源广泛,多样性强,是非常具有研究性和挑战性的数据集。
1.3评估方法
Paper中在horizontal bounding boxes (HBB),oriented bounding boxes (OBB)两种检测框中做目标检测,选取目前常用的深度学习检测网络,YOLOv2, R-FCN, Faster RCNN, SSD,分别预测矩形的垂直框和有方向的检测框。衡量网络检测质量的指标采用mAP,计算方法与PASCAL VOC一致。
采用DOTA的HBB数据训练模型,常见的网络训练结果如下图所示。

其中,FR-H表示Faster R-CNN trained on Horizontal bounding boxes。对比可以看出,对于YOLO或SSD这种一阶段检测网络,准确率较低,尤其是SSD对于SV(small vehicle),SP(ship)这些密集的小目标,检测效果非常差。而Faster R-CNN作为检测网络的经典网络,达到了60.46的mAP, 结果已经比较不错。
下图是在HBB上训练,在OBB上做评估的结果(FR-O是在OBB上训练),可以看到,所有的mAP都相比HBB更低,由此可见预测OBB这种更精确地检测框,确实带来了较大的困难。即使是用OBB训练的Faster RCNN,mAP也仅54.13,落后于HBB上的60.46.

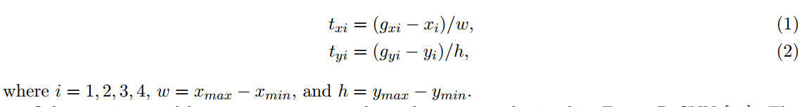
由于Faster RCNN是预测矩形框作为输出的,paper中为了做实验,对其进行了简单改造,RPN输出ROI后,扩展为四个点的坐标值(x1 = x4 = xmin; x2 = x3 = xmax; y1 = y2 = ymin; y3 = y4 = ymax),再经过RCNN回归,其中真值为OBB的四个点的坐标值,target即为下图所示的公式,逐步优化使得txi,tyi降低。

2.R3Det: Refined Single-Stage Detector with Feature Refinement for Rotating Object[5]
2.1网络介绍
这篇论文主要是讲的旋转目标的预测方法。常见的自然场景图片很少出现旋转目标的检测任务,而在遥感图像领域,检测旋转目标是一个重要的方向。这篇文章提出了一种端到端的单阶段旋转检测器(end-to-end refined single-stage rotation detector),快速准确地定位目标。
论文中设计了feature refinement module (FRM),使用特征插值获取refined anchor,重新构建特征图来实现特征对齐的目的。论文提出的Refined Rotation Single-Stage Detector(R3Det)结构如下图所示。

R3Det是基于RetinaNet[6]进行的改进。RetinaNet采用FPN[7]作为backbone,后接分类和回归subnet,并提出了focal loss来应对类别不平衡的问题。
为了实现基于RetinaNet的旋转检测,论文用五个参数(x,y,w,h,θ)来代表任意方向的矩形。从下图a,b可以看出,预测框角度的较小变化,就会对IOU造成很大的损失。

因此,如图中(c),作者提出了重新编码预测框位置信息的方法,重新构建整个特征图,实现特征对齐。(对于如何实现具体特征对齐,作者没有给出详细的叙述,我认为是这篇文章的一个问题,这篇文章目前只在arxiv,暂未发表)为了精确计算特征信息的位置,作者采用了双线性特征插值方法。
2.2 实验
文章做了许多实验,论证了FRM对于提升旋转框目标检测的有效性。FRM在DOTA, HRSC2016, ICDAR2015三个数据集上进行了实验。由于论文重点写了DOTA数据集,且本文比较关注DOTA数据集,因此下文重点介绍FRM在DOTA数据集上的效果。
作者采用resnet-FPN作为backbone,并将原图切分为600×600的大小,用R3Det来训练,并与RetinaNet做比较。可以看出,R3Det对DOTA数据集的检测效果更好。(需要注意的是,下表的mAP是在DOTA2018数据集的测试结果。我们团队的大作业是在DOTA2019进行测试,因此这里mAP仅起参考作用。)

通过上表也可以看出,R3Det引入FRM后,mAP从63增加到65,并经过数据增广、更换更强大的backbone,将mAP提升到72。
与DOTA2018上的SOTA方法相比,R3Det+ResNet101, ResNet152的检测器已经超过了许多两阶段的方法,如ICN, RoI-Transformer,SCRDet等。
2.3个人点评
在我个人看来,读完这篇论文,最大的收获就是针对DOTA做backbone, data augmentation,以及了解旋转框和矩形框的一些问题,但是对于作者提出的FRM模块,根据原文的描述,这一方案并没有提升太多(63.1%到65.7%),而提升较大的反而是用新的backbone和数据增广。而且原文没有对FRM进行详细地描述,使本论文的表达不太清晰。但是无疑,这篇论文对我们后续研究DOTA数据集,做更精细的目标检测框改进,仍然提供了很大的参考价值。
3.Objects as Points[8]
这篇文章是anchor free的目标检测器,2019年刚发表,我们打算以此网络作为baseline,在DOTA数据集上进行验证。因此在此精讲一下这篇paper。
CenterNet这篇文章不仅是用在目标检测上,还可以用在人体姿态识别,3D目标检测等。CenterNet结构简单,正如题目所说,把目标看做点,通过预测中心点的位置来检测目标,再回归目标的宽度和高度值,不借助以往的anchor划定范围。如下图所示,红色点代表物体的中心点,模型把所有的物体都看做点,然后基于中心点回归出宽和高。

3.1 检测方法
假设输入的图像为
,最终,我们要通过关键点的热力图(keypoint heatmap)来找目标的位置。为了得到热力图,从backbone网络的后面添加全卷积网络,最终得到C张热力图(C为数据集的类别,如COCO中为80)。
得到这些热力图,怎么用真值来训练呢?首先根据ground truth的坐标计算中心点坐标,
,由于网络在计算过程中要进行降采样,所以最终对应的低分辨率的中心点是
,其中R为下采样因子(本文为4)。然后在下采样的图像猴子那个,将ground truth中心点以
的形式,用高斯核
将关键点分布到特征图上。这样,特征图上有目标的位置点像素值较大,无目标的位置点像素值较小,就形成了C张热力图的真值。
3.2损失函数
3.2.1 热力图的损失函数
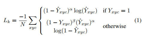
CenterNet的损失函数是focal loss的变形。对于容易检测出来的中心点,适当减少其训练比重,即减少其loss。不太容易检测到该中心点,就加大其loss。

3.2.2偏置损失
因为在生成热力图的过程中,对图像进行了4倍的下采样,这样特征图在映射回原始图像时会带来精度误差,因此对于每个中心点,论文都给出了一个local offset偏置项来补偿它
。通过上面的公式也可以看出,这个offset只有2张feature map,也就是所有的类都共用这一个offset。这个偏置项采用L1 loss来训练。

3.2.3 目标大小的损失
假设
为目标k,类别为Ck,那么它的中心点坐标为
。网络使用关键点预测来预测所有的中心点。然后对每个目标k的大小进行回归,最终回归到
。目标大小的feature map为
。
整体网络的损失函数为中心点损失、偏置损失和目标大小损失之和。每个损失赋予对应的权重。
![]()
每个坐标点都会产生C+2+2个数据,分别为每个类别的概率、长宽、偏置。
3.3 推断
训练完模型,在检测阶段,首先对一张图片下采样。然后预测出每个类在下采样的特征图,然后将图中每个类的热点提取出来。提取的方法就是检测当前点的值是否比周围8个点都大,然后取100个这样的点。
取出这样的点之后,每个热点的位置用整型坐标表示
,然后使用
表示当前点的confidence。然后添加偏置项和目标的大小。

3.4 总结
这篇文章介绍的模型结构非常简单,是一种anchor free的方法,核心思想就是把目标看成点,通过检测中心点的位置来检测目标。这种思路不仅可以用于目标检测,如论文中所说,在3D检测和人体姿态识别中效果也是不错的。我认为这篇文章的思想非常值得借鉴,与以往的目标检测方法有很大的不同,非常灵活。
4. Learning RoI Transformer for Detecting Oriented Objects in Aerial Images [17]
4.1模型介绍
在遥感图像中,有许多的密集小目标,它们朝向各不相同,与自然场景下的目标不同,因此如果用垂直的矩形检测目标,会造成非常严重的不准确。如下面的这个图可以看出,旋转的矩形可以更加精确地检测密集目标。

所以这篇论文提出了一个叫做RoI Transformer模块,致力于实现朝向不同的密集目标。它包含两个部分,第一个部分是RRoI Learner,用来将垂直的RoI(HRoI)转换成有方向的RoI(RRoI)。第二个部分是Rotated Position Sensitive RoI Align,用来从RRoI中抽取方向无关的特征,用来进一步对目标的分类和位置回归。
RoI Transformer的结构如下图所示,对于每个HRoI,它会经过一个RRoI learner。这个RRoI learner是一个全连接网络,用来回归HRoI和RGT的偏置。Box decoder是RRoI learner的末端,将HRoI和偏置作为输入,输出编码的RRoIs。然后特征图和RRoI经过RRoI wraping抽取方向无关的特征。RRoI learner和RRoI warping组成了一个RoI Transformer。

Rotated Position Sensitive RoI Align是接在RoI Transformer的结构,用来在一个网络中抽取旋转无关的特征。RPS RoI pooling将RRoI划分为K*K个块,然后输出一个K*K*C维度的特征图。

K*K*C维度特征图的计算方式如下面公式所示

其中,Tθ的函数表达式为:

RRoI Learner, RPS RoI Align组成了本论文的核心模块
4.2实验
在DOTA2018数据集上,论文采用RoI Transformer进行了实验。首先对原始图片切成了1024*1024大小的patch,步长为824。下表给出了不同方法在DOTA2018数据集上,预测旋转框的效果,在使用FPN的情况下,mAP达到了69.56.

检测的效果可视化结果如下。

总结来看,这篇文章提出了一个叫做RoI Transformer的结构,用来提取旋转无关的特征,以更准确地生成旋转框。在DOTA数据集上的实验也证明了这个模块的效果。
5.其他论文概述
Deep Learning in Remote Sensing: A Review[9]是一篇2017年发表的综述文章,叙述了2012年起深度学习的发展及其在遥感影像中的应用。
文章从感知机出发,首先介绍了深度学习的发展历程,到多层感知机,到全连接、CNN。从2012年ImageNet引起的卷积神经网络快速发展,介绍了AlexNet[10], VGGnet[11], ResNet[12], FCN[13],这几个网络结构都代表着CNN在图像处理领域的里程碑事件。
深度学习在遥感图像领域的应用主要体现在高光谱影像分析、SAR图像解译、高分辨率卫星图像解析、3D重构等。深度学习的出现无论从性能,还是准确度,都比以往的传统遥感图像处理方法有更大的优势。因此像高分辨率卫星图像解析领域,包含目标检测、场景分类等,目前的SOTA方法都是基于深度学习的方法,如Resnet, Faster RCNN[15], FPN[16]等。
Faster RCNN(Faster R-CNN: Towards Real-Time Object Detection with Region Proposal Networks)是目标检测领域的一个经典算法,至今仍在各个场景下发挥着重要的作用。Faster R-CNN是2016年提出的R-CNN系列方法,是一个经典的两阶段目标检测算法。Faster R-CNN把特征抽取、proposal生成、bounding box回归和目标的分类都整合在一个网络中,实现了端到端的训练,综合性能有了比较大的提升,尤其是在推理速度方面提升巨大。如下图的网络结构所示,首先用backbone(如Resnet50)抽取出图像的高层特征。然后送入RPN网络,生成proposal,再将生成的proposal对应到图像高层特征上,送入回归和分类的网络。在这个过程中,RPN网络发挥了重要的作用,使得生成proposal的过程不必像以往那样,采用游离于网络之外的方法,而是融进同一个网络中,实现端到端的训练。

参考文献
- Xia G S, Bai X, Ding J, et al. DOTA: A large-scale dataset for object detection in aerial images[C]//Proceedings of the IEEE Conference on Computer Vision and Pattern Recognition. 2018: 3974-3983.
- H. Zhu, X. Chen, W. Dai, K. Fu, Q. Ye, and J. Jiao. Orientation robust object detection in aerial images using deep convolutional neural network. In ICIP, pages 3735{3739, 2015.
- Z. Liu, H. Wang, L. Weng, and Y. Yang. Ship rotated bounding box space for ship extraction from high-resolution optical satellite images with complex backgrounds. IEEE Geosci. Remote Sensing Lett., 13(8):1074{1078, 2016.
- G. Cheng, P. Zhou, and J. Han. Learning rotation-invariant convolutional neural networks for object detection in VHR optical remote sensing images. IEEE Trans. Geosci. Remote Sens., 54(12):7405{7415, 2016.
- Yang X, Liu Q, Yan J, et al. R3Det: Refined Single-Stage Detector with Feature Refinement for Rotating Object[J]. arXiv preprint arXiv:1908.05612, 2019.
- T.-Y. Lin, P. Goyal, R. Girshick, K. He, and P. Dollar. Focal loss for dense object detection. In Proceedings of the IEEE international conference on computer vision, pages 2980–2988, 2017.
- T.-Y. Lin, P. Dollar, R. B. Girshick, K. He, B. Hariharan, and S. J. Belongie. Feature pyramid networks for object detection. In CVPR, volume 1, page 4, 201
- Zhou X, Wang D, Krähenbühl P. Objects as Points[J]. arXiv preprint arXiv:1904.07850, 2019.
- Zhu, Xiao Xiang et al. “Deep Learning in Remote Sensing: A Comprehensive Review and List of Resources.” IEEE Geoscience and Remote Sensing Magazine 5.4 (2017): 8–36. Crossref. Web.
- A. Krizhevsky, I. Sutskever, and G. Hinton, “Imagenet classification with deep convolutional neural networks,” in Advances in Neural Information Processing Systems (NIPS),2012.
- K. Simonyan and A. Zisserman, “Very deep convolutional networks for large-scale image recognition,” in IEEE International Conference on Learning Representation (ICLR), 2015
- K. He, X. Zhang, S. Ren, and J. Sun, “Deep residual learning for image recognition,”
- in IEEE International Conference on Computer Vision and Pattern Recognition (CVPR),2016.
- J. Long, E. Shelhamer, and T. Darrell, “Fully convolutional networks for semantic segmentation,” in IEEE International Conference on Computer Vision and Pattern Recognition (CVPR), 2015
- Ren, Shaoqing et al. “Faster R-CNN: Towards Real-Time Object Detection with Region Proposal Networks.” IEEE Transactions on Pattern Analysis and Machine Intelligence 39.6 (2017): 1137–1149. Crossref. Web.
- Lin, Tsung-Yi et al. “Feature Pyramid Networks for Object Detection.” 2017 IEEE Conference on Computer Vision and Pattern Recognition (CVPR) (2017): n. pag. Crossref. Web.
- Ding J, Xue N, Long Y, et al. Learning roi transformer for detecting oriented objects in aerial images[J]. arXiv preprint arXiv:1812.00155, 2018.