引言
本文主要讲解了在进行深度学习时一些实用的提示。是李宏毅 深度学习-Tips for Trainning DNN的笔记。
深度学习的方法
![[外链图片转存失败,源站可能有防盗链机制,建议将图片保存下来直接上传(img-dTgu1wjh-1578197312330)(_v_images/20200104124958206_27790.png)]](https://img-blog.csdnimg.cn/20200105120932423.png?x-oss-process=image/watermark,type_ZmFuZ3poZW5naGVpdGk,shadow_10,text_aHR0cHM6Ly9ibG9nLmNzZG4ubmV0L3lqdzEyMzQ1Ng==,size_16,color_FFFFFF,t_70)
经过三步骤后得到一个神经网络,接下来判断在训练集上的表现如何?如果结果不好则回头看看三个步骤哪里出了问题;如果在训练集上的正确率很好,则拿训练集来试试,如果此时在测试集上的准确率不好,则说明是过拟合了;如果在训练集和测试集都得到很好的结果话,就说明这个网络是比较nice的。
不要错怪过拟合
![[外链图片转存失败,源站可能有防盗链机制,建议将图片保存下来直接上传(img-nHYlXKT8-1578197312331)(_v_images/20200104125852265_5960.png)]](https://img-blog.csdnimg.cn/20200105120944899.png?x-oss-process=image/watermark,type_ZmFuZ3poZW5naGVpdGk,shadow_10,text_aHR0cHM6Ly9ibG9nLmNzZG4ubmV0L3lqdzEyMzQ1Ng==,size_16,color_FFFFFF,t_70)
在上图右56层的网络的错误率比20层的还要高,不能这样就说是过拟合导致的。从上图左可以看到在训练集上20层的结果本来就比56层的就好,说明这个网络没有训练好。
![[外链图片转存失败,源站可能有防盗链机制,建议将图片保存下来直接上传(img-evoqlLQb-1578197312331)(_v_images/20200104130402195_30141.png)]](https://img-blog.csdnimg.cn/20200105120958949.png?x-oss-process=image/watermark,type_ZmFuZ3poZW5naGVpdGk,shadow_10,text_aHR0cHM6Ly9ibG9nLmNzZG4ubmV0L3lqdzEyMzQ1Ng==,size_16,color_FFFFFF,t_70)
训练集上的结果不好与测试集上的结果不好是不一样的,有不同的途径可以解决这些问题。比如Dropout可以用于解决由于参数多而样本少导致的过拟合问题。
![[外链图片转存失败,源站可能有防盗链机制,建议将图片保存下来直接上传(img-QwVAwVsr-1578197312332)(_v_images/20200104130751686_21601.png)]](https://img-blog.csdnimg.cn/20200105121013101.png?x-oss-process=image/watermark,type_ZmFuZ3poZW5naGVpdGk,shadow_10,text_aHR0cHM6Ly9ibG9nLmNzZG4ubmV0L3lqdzEyMzQ1Ng==,size_16,color_FFFFFF,t_70)
针对这些问题的解决方法可以有上面几种,比如如果在训练集上的结果不好,我们可以尝试换一个激活函数。
在手写数字识别中,激活函数就从Sigmoid换到了relu。
![[外链图片转存失败,源站可能有防盗链机制,建议将图片保存下来直接上传(img-EC1PQmNg-1578197312332)(_v_images/20200104130958067_8143.png)]](https://img-blog.csdnimg.cn/20200105121016751.png?x-oss-process=image/watermark,type_ZmFuZ3poZW5naGVpdGk,shadow_10,text_aHR0cHM6Ly9ibG9nLmNzZG4ubmV0L3lqdzEyMzQ1Ng==,size_16,color_FFFFFF,t_70)
激活函数是Sigmoid的情况下,当隐藏层的数量到了9,10层的时候,整个准确率就不忍直视了。见深度学习实例——Keras实现手写数字识别
造成上面这种情况有个原因是梯度消失问题(Vanishing Gradient Problem)
![[外链图片转存失败,源站可能有防盗链机制,建议将图片保存下来直接上传(img-smMSH1oU-1578197312332)(_v_images/20200104131235127_15758.png)]](https://img-blog.csdnimg.cn/20200105121030622.png?x-oss-process=image/watermark,type_ZmFuZ3poZW5naGVpdGk,shadow_10,text_aHR0cHM6Ly9ibG9nLmNzZG4ubmV0L3lqdzEyMzQ1Ng==,size_16,color_FFFFFF,t_70)
当网络很深的时候,靠近输入层的前面几层中的参数(权重和偏差)对最后损失函数的影响很小,而在靠近输出层的几层中的参数影响很大。
所以会发现在靠近输入的地方参数更新很慢,而靠近输出的地方参数更新很快。在输入的地方参数几乎还是随机初始值的时候,输出的地方参数已经收敛了。
参数对总损失的影响程度可以理解为,当对参数进行微调时,比如改变对总损失的改变量有多大。
![[外链图片转存失败,源站可能有防盗链机制,建议将图片保存下来直接上传(img-Tbf8CSus-1578197312332)(_v_images/20200104132350968_15143.png)]](https://img-blog.csdnimg.cn/20200105121032800.png?x-oss-process=image/watermark,type_ZmFuZ3poZW5naGVpdGk,shadow_10,text_aHR0cHM6Ly9ibG9nLmNzZG4ubmV0L3lqdzEyMzQ1Ng==,size_16,color_FFFFFF,t_70)
比如我们调整了靠近输入层参数,调整了很大的,这可以直接影响临近网络层输出的值,但是由于Sigmoid函数的特性,这个影响会逐层衰减的。
观察它的函数图像就知道了。
![[外链图片转存失败,源站可能有防盗链机制,建议将图片保存下来直接上传(img-iWmUGr5x-1578197312333)(_v_images/20200104132427208_30989.png)]](https://img-blog.csdnimg.cn/20200105121131187.png?x-oss-process=image/watermark,type_ZmFuZ3poZW5naGVpdGk,shadow_10,text_aHR0cHM6Ly9ibG9nLmNzZG4ubmV0L3lqdzEyMzQ1Ng==,size_16,color_FFFFFF,t_70)
它会把负无穷大到正无穷大强行压缩到0和1之间,如果有很大的输入变化,通过该函数后得到的输出变化会很小。而每通过一层的Sigmoid函数,它的影响又一次衰减,最后对总损失的影响也就很小了。
![[外链图片转存失败,源站可能有防盗链机制,建议将图片保存下来直接上传(img-nJD7qbUq-1578197312333)(_v_images/20200104132657005_10680.png)]](https://img-blog.csdnimg.cn/2020010512113988.png?x-oss-process=image/watermark,type_ZmFuZ3poZW5naGVpdGk,shadow_10,text_aHR0cHM6Ly9ibG9nLmNzZG4ubmV0L3lqdzEyMzQ1Ng==,size_16,color_FFFFFF,t_70)
那怎么解决这个问题呢,有人提出了修正线性单元函数(ReLU)。
ReLU
![[外链图片转存失败,源站可能有防盗链机制,建议将图片保存下来直接上传(img-JahCf5sp-1578197312334)(_v_images/20200104133009497_27984.png)]](https://img-blog.csdnimg.cn/20200105121139242.png?x-oss-process=image/watermark,type_ZmFuZ3poZW5naGVpdGk,shadow_10,text_aHR0cHM6Ly9ibG9nLmNzZG4ubmV0L3lqdzEyMzQ1Ng==,size_16,color_FFFFFF,t_70)
是这个激活函数的输入,是这个激活函数的输出,如果输入大于零,输出就等于输入;如果输入小于零,输出就是0.
选择这个激活函数的理由有下:
- 计算很快
- 生物上的原因
- 等同于无穷多不同偏差
Sigmoid函数叠加的结果 - 可以解决梯度消失问题
![[外链图片转存失败,源站可能有防盗链机制,建议将图片保存下来直接上传(img-rhJi6EtL-1578197312334)(_v_images/20200104133344059_9137.png)]](https://img-blog.csdnimg.cn/20200105121150553.png?x-oss-process=image/watermark,type_ZmFuZ3poZW5naGVpdGk,shadow_10,text_aHR0cHM6Ly9ibG9nLmNzZG4ubmV0L3lqdzEyMzQ1Ng==,size_16,color_FFFFFF,t_70)
这是一个用ReLU作激活函数的神经网络。根据它的性质,我们知道,它的输出无非就是两种,一是零,二是输入值。在输出值等于输入值的情况下,就是线性的()。
![[外链图片转存失败,源站可能有防盗链机制,建议将图片保存下来直接上传(img-sYJWOsej-1578197312334)(_v_images/20200104133600435_14146.png)]](https://img-blog.csdnimg.cn/20200105121158408.png?x-oss-process=image/watermark,type_ZmFuZ3poZW5naGVpdGk,shadow_10,text_aHR0cHM6Ly9ibG9nLmNzZG4ubmV0L3lqdzEyMzQ1Ng==,size_16,color_FFFFFF,t_70)
输出是零的神经元其实是不会影响整个输出的,因此可以直接拿掉它们,得到下面这样的图:
![[外链图片转存失败,源站可能有防盗链机制,建议将图片保存下来直接上传(img-VXWKgjsd-1578197312334)(_v_images/20200104133645645_27103.png)]](https://img-blog.csdnimg.cn/20200105121158208.png?x-oss-process=image/watermark,type_ZmFuZ3poZW5naGVpdGk,shadow_10,text_aHR0cHM6Ly9ibG9nLmNzZG4ubmV0L3lqdzEyMzQ1Ng==,size_16,color_FFFFFF,t_70)
整个看起来就是一个很瘦长的线性网络,并且在输入等于输出时,不会出现梯度消失问题。
但是有个问题是,当我们使用ReLU时,整个网络就变成了线性的了吗?
我们用深度学习就是不想要我们的函数是一个线性的,希望它是一个比较复杂的非线性的。
其实整个网络还是非线性的。怎么说呢,ReLU虽然在大于零的区间是线性的,在小于等于零的部分也是线性的,但是它整体不是线性的,因为不是一条直线。
的确对于单一的样本A,经过由ReLU激活函数所构成的神经网络,其过程确实可以等价是经过了一个线性变换M1,
但是对于样本B,在经过同样的网络时,由于每个神经元是否激活(0或者wx+b)与样本A经过时情形不同了(不同样本),
因此B所经历的线性变换M2并不等于M1。因此,ReLU构成的神经网络虽然对每个样本都是线性变换,
但是不同样本之间经历的线性变换M并不一样,所以整个样本空间在经过ReLU构成的网络时其实是经历了非线性变换的。
ReLU还有很多变种,比如一种是这样的。
![[外链图片转存失败,源站可能有防盗链机制,建议将图片保存下来直接上传(img-GUBkorpa-1578197312335)(_v_images/20200104135002468_5579.png)]](https://img-blog.csdnimg.cn/20200105121210507.png?x-oss-process=image/watermark,type_ZmFuZ3poZW5naGVpdGk,shadow_10,text_aHR0cHM6Ly9ibG9nLmNzZG4ubmV0L3lqdzEyMzQ1Ng==,size_16,color_FFFFFF,t_70)
在ReLU中,当输入小于零时,微分是0,这样就无法更新参数了。这个变种就是为了解决这个问题,当输入小于零时,
输出还是有一点点值,比如乘上。但是为什么乘以呢,不是其他的呢。因此又有人提出了参数化的ReLU
![[外链图片转存失败,源站可能有防盗链机制,建议将图片保存下来直接上传(img-jpu1u2C2-1578197312335)(_v_images/20200104135229826_25519.png)]](https://img-blog.csdnimg.cn/20200105121210816.png?x-oss-process=image/watermark,type_ZmFuZ3poZW5naGVpdGk,shadow_10,text_aHR0cHM6Ly9ibG9nLmNzZG4ubmV0L3lqdzEyMzQ1Ng==,size_16,color_FFFFFF,t_70)
其中也可以通过训练数据的梯度下降方法学习出来。
还有人提出了叫做Maxout的函数。
Maxout
ReLU是Maxout的一种特例。它是可以自学习的激活函数。用个例子来解释它。
![[外链图片转存失败,源站可能有防盗链机制,建议将图片保存下来直接上传(img-udxAOGKm-1578197312336)(_v_images/20200104135520681_28219.png)]](https://img-blog.csdnimg.cn/20200105121222974.png?x-oss-process=image/watermark,type_ZmFuZ3poZW5naGVpdGk,shadow_10,text_aHR0cHM6Ly9ibG9nLmNzZG4ubmV0L3lqdzEyMzQ1Ng==,size_16,color_FFFFFF,t_70)
假设有两个输入,经过权重和偏差得到输出。本来这些输出是需要传给激活函数来得到一个新值的,但是现在并不这么做。
把输出事先分组,每个组里面选出最大的输出值。
![[外链图片转存失败,源站可能有防盗链机制,建议将图片保存下来直接上传(img-JqTuuA7Y-1578197312336)(_v_images/20200104135736263_30308.png)]](https://img-blog.csdnimg.cn/20200105121228274.png?x-oss-process=image/watermark,type_ZmFuZ3poZW5naGVpdGk,shadow_10,text_aHR0cHM6Ly9ibG9nLmNzZG4ubmV0L3lqdzEyMzQ1Ng==,size_16,color_FFFFFF,t_70)
可以把上面红色框框起来的部分说成就是神经元,接下来又乘上不同的权重,得到不同的输出,同样继续分组,选最大者
![[外链图片转存失败,源站可能有防盗链机制,建议将图片保存下来直接上传(img-8NDSpefj-1578197312336)(_v_images/20200104135925831_6449.png)]](https://img-blog.csdnimg.cn/20200105121235710.png?x-oss-process=image/watermark,type_ZmFuZ3poZW5naGVpdGk,shadow_10,text_aHR0cHM6Ly9ibG9nLmNzZG4ubmV0L3lqdzEyMzQ1Ng==,size_16,color_FFFFFF,t_70)
实际上组内的数量也是可以超过2的。
我们上面为什么说ReLU是Maxout的一种特例呢。
![[外链图片转存失败,源站可能有防盗链机制,建议将图片保存下来直接上传(img-rV2F8eaJ-1578197312337)(_v_images/20200104140133646_9950.png)]](https://img-blog.csdnimg.cn/20200105121234423.png?x-oss-process=image/watermark,type_ZmFuZ3poZW5naGVpdGk,shadow_10,text_aHR0cHM6Ly9ibG9nLmNzZG4ubmV0L3lqdzEyMzQ1Ng==,size_16,color_FFFFFF,t_70)
在ReLU中是这样计算激活函数的输出值的,如果看和的关系,可以如下图绿线所示:
![[外链图片转存失败,源站可能有防盗链机制,建议将图片保存下来直接上传(img-2JKeU7uA-1578197312337)(_v_images/20200104140258453_25545.png)]](https://img-blog.csdnimg.cn/2020010512124640.png?x-oss-process=image/watermark,type_ZmFuZ3poZW5naGVpdGk,shadow_10,text_aHR0cHM6Ly9ibG9nLmNzZG4ubmV0L3lqdzEyMzQ1Ng==,size_16,color_FFFFFF,t_70)
蓝线是和的关系。
如果用Maxout,我们增加一组参数,得到输出,然后选则比较大的当成输出:
![[外链图片转存失败,源站可能有防盗链机制,建议将图片保存下来直接上传(img-WlvI4AUi-1578197312338)(_v_images/20200104140410996_25246.png)]](https://img-blog.csdnimg.cn/2020010512124858.png?x-oss-process=image/watermark,type_ZmFuZ3poZW5naGVpdGk,shadow_10,text_aHR0cHM6Ly9ibG9nLmNzZG4ubmV0L3lqdzEyMzQ1Ng==,size_16,color_FFFFFF,t_70)
如果我们看和的关系,得到下图蓝线,看和的关系得到水平的红线:
![[外链图片转存失败,源站可能有防盗链机制,建议将图片保存下来直接上传(img-OYsdGTUc-1578197312338)(_v_images/20200104140600711_20236.png)]](https://img-blog.csdnimg.cn/20200105121258468.png?x-oss-process=image/watermark,type_ZmFuZ3poZW5naGVpdGk,shadow_10,text_aHR0cHM6Ly9ibG9nLmNzZG4ubmV0L3lqdzEyMzQ1Ng==,size_16,color_FFFFFF,t_70)
那再经过选取较大的操作后,实际的输出和的关系如绿线所示:
![[外链图片转存失败,源站可能有防盗链机制,建议将图片保存下来直接上传(img-YiiFMGTz-1578197312338)(_v_images/20200104140648202_29168.png)]](https://img-blog.csdnimg.cn/20200105121303623.png?x-oss-process=image/watermark,type_ZmFuZ3poZW5naGVpdGk,shadow_10,text_aHR0cHM6Ly9ibG9nLmNzZG4ubmV0L3lqdzEyMzQ1Ng==,size_16,color_FFFFFF,t_70)
所以看以看出Maxout能做到ReLU做到的事情,并且ReLU做不到的事情,它也可以做到。
比如第二组参数中不取0,比如取其他一个非零值,就可以得到下面这个函数图形:
![[外链图片转存失败,源站可能有防盗链机制,建议将图片保存下来直接上传(img-Lj7lXwm2-1578197312339)(_v_images/20200104140950467_10222.png)]](https://img-blog.csdnimg.cn/20200105121309988.png?x-oss-process=image/watermark,type_ZmFuZ3poZW5naGVpdGk,shadow_10,text_aHR0cHM6Ly9ibG9nLmNzZG4ubmV0L3lqdzEyMzQ1Ng==,size_16,color_FFFFFF,t_70)
而这个激活函数长什么样子,是由参数决定的,而这些参数是可学习的,因此说它是一个自学习的激活函数。
随着分组内的元素个数不同,它的图形也不同
![[外链图片转存失败,源站可能有防盗链机制,建议将图片保存下来直接上传(img-5l8SwyAI-1578197312339)(_v_images/20200104141216632_25697.png)]](https://img-blog.csdnimg.cn/20200105121313410.png?x-oss-process=image/watermark,type_ZmFuZ3poZW5naGVpdGk,shadow_10,text_aHR0cHM6Ly9ibG9nLmNzZG4ubmV0L3lqdzEyMzQ1Ng==,size_16,color_FFFFFF,t_70)
接下来的问题是Maxout如何训练呢
![[外链图片转存失败,源站可能有防盗链机制,建议将图片保存下来直接上传(img-g2MhUgFJ-1578197312339)(_v_images/20200104141305710_9332.png)]](https://img-blog.csdnimg.cn/20200105121324251.png?x-oss-process=image/watermark,type_ZmFuZ3poZW5naGVpdGk,shadow_10,text_aHR0cHM6Ly9ibG9nLmNzZG4ubmV0L3lqdzEyMzQ1Ng==,size_16,color_FFFFFF,t_70)
因为有个max,因此它不能微分啊。其实还是可以的,假设我们用红框框出来比较大的值。
![[外链图片转存失败,源站可能有防盗链机制,建议将图片保存下来直接上传(img-60RGKgaH-1578197312340)(_v_images/20200104141424092_4586.png)]](https://img-blog.csdnimg.cn/20200105121322834.png?x-oss-process=image/watermark,type_ZmFuZ3poZW5naGVpdGk,shadow_10,text_aHR0cHM6Ly9ibG9nLmNzZG4ubmV0L3lqdzEyMzQ1Ng==,size_16,color_FFFFFF,t_70)
对应的输出就会成了线性的。我们可以拿掉在较大PK中被干掉的权重,就成了下图:
![[外链图片转存失败,源站可能有防盗链机制,建议将图片保存下来直接上传(img-6edWw0P3-1578197312341)(_v_images/20200104141556506_22184.png)]](https://img-blog.csdnimg.cn/20200105121335122.png?x-oss-process=image/watermark,type_ZmFuZ3poZW5naGVpdGk,shadow_10,text_aHR0cHM6Ly9ibG9nLmNzZG4ubmV0L3lqdzEyMzQ1Ng==,size_16,color_FFFFFF,t_70)
假设给定上面这个一个比较细长的神经网络,既可以用反向传播算法进行训练。但问题是那些没被训练到的被拿掉的权重怎么办。其实因为我们有不同的样本,会得到不同的值,max值也不一样,也就是整个网络的结构也就不一样,最后每个权重和偏差实际上都会被训练到。
Adagrad 学习率
在机器学习入门之梯度下降中,我们已经探讨过Adagrad学习率
![[外链图片转存失败,源站可能有防盗链机制,建议将图片保存下来直接上传(img-j0i2BaRo-1578197312341)(_v_images/20200104142322980_24188.png)]](https://img-blog.csdnimg.cn/20200105121340214.png?x-oss-process=image/watermark,type_ZmFuZ3poZW5naGVpdGk,shadow_10,text_aHR0cHM6Ly9ibG9nLmNzZG4ubmV0L3lqdzEyMzQ1Ng==,size_16,color_FFFFFF,t_70)
知道参数的更新会考虑到过去所有的梯度值。但在深度学习中,情况会更加复杂。损失函数的图形可能是任何形状
![[外链图片转存失败,源站可能有防盗链机制,建议将图片保存下来直接上传(img-t7qNHiIv-1578197312341)(_v_images/20200104142627972_3205.png)]](https://img-blog.csdnimg.cn/2020010512134554.png?x-oss-process=image/watermark,type_ZmFuZ3poZW5naGVpdGk,shadow_10,text_aHR0cHM6Ly9ibG9nLmNzZG4ubmV0L3lqdzEyMzQ1Ng==,size_16,color_FFFFFF,t_70)
甚至在同一个方向上(同一个参数),不同区域所需的学习率都不同。因此需要动态调整学习率的方法。
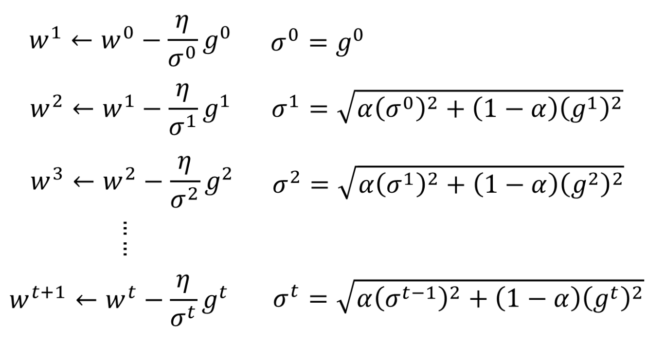
Adagrad有个进阶版,叫RMSProp
RMSProp
这个方法是这么做的
把固定的学习率除上一个值,第一次的时候,就是第一次算出的梯度值,在算出新的梯度后:
新的值变成了这样计算:
而的值是可以自己调整的。
这时是这样计算的:
这和原来的Adagrad不一样,原来的Adagrad是计算的平方和求均值再开根号。
巧妙之处在于RMSProp可以调整值,如果设成小一点,就是说更相信新的梯度而无视旧的梯度。
![[外链图片转存失败,源站可能有防盗链机制,建议将图片保存下来直接上传(img-pQgNAHpY-1578197312341)(_v_images/20200104143904750_6859.png)]](https://img-blog.csdnimg.cn/20200105121353144.png?x-oss-process=image/watermark,type_ZmFuZ3poZW5naGVpdGk,shadow_10,text_aHR0cHM6Ly9ibG9nLmNzZG4ubmV0L3lqdzEyMzQ1Ng==,size_16,color_FFFFFF,t_70)
这解决了学习率的问题,那除了这个问题,在做深度学习的时候还可能会卡在局部最小值上。
寻找神经网络最佳参数
![[外链图片转存失败,源站可能有防盗链机制,建议将图片保存下来直接上传(img-qInVcSrZ-1578197312342)(_v_images/20200104144358005_29830.png)]](https://img-blog.csdnimg.cn/20200105121358583.png?x-oss-process=image/watermark,type_ZmFuZ3poZW5naGVpdGk,shadow_10,text_aHR0cHM6Ly9ibG9nLmNzZG4ubmV0L3lqdzEyMzQ1Ng==,size_16,color_FFFFFF,t_70)
可能卡在上面这几种情况,梯度就为0了,也就是参数不更新了。
其实在有很多参数的神经网络中,几乎没有这个问题,可以看成是很平滑的。
![[外链图片转存失败,源站可能有防盗链机制,建议将图片保存下来直接上传(img-qInVcSrZ-1578197312342)(_v_images/20200104144358005_29830.png)]](https://img-blog.csdnimg.cn/20200105121523426.png?x-oss-process=image/watermark,type_ZmFuZ3poZW5naGVpdGk,shadow_10,text_aHR0cHM6Ly9ibG9nLmNzZG4ubmV0L3lqdzEyMzQ1Ng==,size_16,color_FFFFFF,t_70)
我们也可以探讨下如何解决局部最小值问题,我们知道在我们真实世界中,是有惯性的,当一个铁球从山顶滚下来的时候,哪怕到了一个凹点,也可能会因为惯性继续滚动,从而达到真正的最低点。
那么在做梯度下降的时候,如何加上这个惯性呢。
选一个初始值,用记录前一个时间点移动的方向。
接下来计算在的梯度,现在要移动的方向并不是红色箭头的方向,而是

因为第一步时还没有惯性,因此还没影响,我们来看第二步

会因为惯性的影响而走的方向是,其中绿线虚线是上一步走的方向,也就是惯性方向。整个过程如下图所示:
![[外链图片转存失败,源站可能有防盗链机制,建议将图片保存下来直接上传(img-gyMWsozm-1578197312343)(_v_images/20200104151135954_7826.png)]](https://img-blog.csdnimg.cn/20200105121555542.png?x-oss-process=image/watermark,type_ZmFuZ3poZW5naGVpdGk,shadow_10,text_aHR0cHM6Ly9ibG9nLmNzZG4ubmV0L3lqdzEyMzQ1Ng==,size_16,color_FFFFFF,t_70)
在第个时间点移动的量其实是过去所有算出来的梯度的总和。
![[外链图片转存失败,源站可能有防盗链机制,建议将图片保存下来直接上传(img-ieeadnZs-1578197312343)(_v_images/20200104151318039_3035.png)]](https://img-blog.csdnimg.cn/20200105121555285.png?x-oss-process=image/watermark,type_ZmFuZ3poZW5naGVpdGk,shadow_10,text_aHR0cHM6Ly9ibG9nLmNzZG4ubmV0L3lqdzEyMzQ1Ng==,size_16,color_FFFFFF,t_70)
我们看,里面同时有和算出来的梯度。这两个梯度的权重也不一样,越之前的梯度对现在方向的影响越小,但是还有一定的影响。
![[外链图片转存失败,源站可能有防盗链机制,建议将图片保存下来直接上传(img-ErvHtqfj-1578197312344)(_v_images/20200104151608171_13201.png)]](https://img-blog.csdnimg.cn/20200105121600519.png?x-oss-process=image/watermark,type_ZmFuZ3poZW5naGVpdGk,shadow_10,text_aHR0cHM6Ly9ibG9nLmNzZG4ubmV0L3lqdzEyMzQ1Ng==,size_16,color_FFFFFF,t_70)
在最后的时候,惯性建议我们继续向右走。这样有可能跳出局部最小点,而走到全局最小点。但是还是有可能跳不出去。
Adam
Adma可以看成是RMSProp+Momentum
![[外链图片转存失败,源站可能有防盗链机制,建议将图片保存下来直接上传(img-eb0uRE3M-1578197312344)(_v_images/20200104151910319_23729.png)]](https://img-blog.csdnimg.cn/20200105121610931.png?x-oss-process=image/watermark,type_ZmFuZ3poZW5naGVpdGk,shadow_10,text_aHR0cHM6Ly9ibG9nLmNzZG4ubmV0L3lqdzEyMzQ1Ng==,size_16,color_FFFFFF,t_70)
在这个算法中,首先要初始惯性,而是RMSprop中的。
然后算出梯度,根据它来算出新的,就是现在要走的方向(考虑了过去走的方向加上梯度),
接下来算出,它是过去的加上梯度的平方,
然后把它们都除以一个值,
最后更新
Early Stopping
![[外链图片转存失败,源站可能有防盗链机制,建议将图片保存下来直接上传(img-ta82OdCu-1578197312344)(_v_images/20200104152605554_29623.png)]](https://img-blog.csdnimg.cn/20200105121618609.png?x-oss-process=image/watermark,type_ZmFuZ3poZW5naGVpdGk,shadow_10,text_aHR0cHM6Ly9ibG9nLmNzZG4ubmV0L3lqdzEyMzQ1Ng==,size_16,color_FFFFFF,t_70)
如果在训练集中的表现很好,但是在测试集中的表示不好,要怎么做呢?上图介绍了三个方法,这小节先来学习第一个方法。
![[外链图片转存失败,源站可能有防盗链机制,建议将图片保存下来直接上传(img-Ap7peHlj-1578197312345)(_v_images/20200104164401357_7368.png)]](https://img-blog.csdnimg.cn/202001051216223.png?x-oss-process=image/watermark,type_ZmFuZ3poZW5naGVpdGk,shadow_10,text_aHR0cHM6Ly9ibG9nLmNzZG4ubmV0L3lqdzEyMzQ1Ng==,size_16,color_FFFFFF,t_70)
如果学习率调整的恰当的话,总误差在训练集上会随着不停的训练而变小。因为训练集合测试集不一样,有可能在训练集上总误差减小的时候,在测试集上反而增大。
如果你知道在测试集上总误差的变化,那么应该停在测试集上总误差最小的地方,而不是训练集上总误差最小的地方。
但我们不会真的直到测试集总误差的变化,一般用一个验证集(Validation set)来模拟测试集上的变化。
Regularization(正则化)
正则化重新定义损失函数
假设原来的损失函数是,正则化就是在原来的损失函数基础上加了一些东西(惩罚项)生成一个新的损失函数:
这个叫L2的正则化 的作用是使得图像更加平滑,防止抖动。
梯度:
现在更新参数会:
中,假设,会使得每次更新都变小一点。
L1的正则化就是 其中两个竖线是绝对值
梯度:
对于sgn函数,如果是正数,它输出是,;如果是负数,它输出是,它的图像如下:
![[外链图片转存失败,源站可能有防盗链机制,建议将图片保存下来直接上传(img-15lXJ3HE-1578197312345)(_v_images/20200105111628419_21760.png)]](https://img-blog.csdnimg.cn/20200105121631209.png?x-oss-process=image/watermark,type_ZmFuZ3poZW5naGVpdGk,shadow_10,text_aHR0cHM6Ly9ibG9nLmNzZG4ubmV0L3lqdzEyMzQ1Ng==,size_16,color_FFFFFF,t_70)
更新参数:
如果是正的,就是正的,会减去一些;如果是负的,也是负的,就会加上一些正数,整个负的变小。
来源:CSDN
作者:愤怒的可乐
链接:https://blog.csdn.net/yjw123456/article/details/103841665