基本形式
给定由d个属性描述的示例 x=(x1,x2,…,xd),其中xi是x在第i个属性上的取值,线性模型试图学的一个通过属性的线性组合来进行预测的函数,即
一般用向量形式写成
其中 w=(w1,w2,…,wd),w和b学得之后,模型就可以确定了。
模型求解
我们试图学得
这称为”多元线性回归“。
我们需要求解最优解,即f(xi)-yi的值趋向于0,利用最小二乘法
令
再把标记(预期结果)写成向量形式

则有



然而,在显示任务中往往不是满秩矩阵,此时可以解出多个w,他们都能使均方误差最小化,选择哪个解作为输出,将由学习算法的归纳偏好决定,常见的做法是引入正则化项。
广义线性模型
考虑单调可微函数g(·),另
其中g(·)称为联系函数,对数线性回归是广义线性模型在g(·)=ln(·)时的特例。
对数几率回归(线性模型在分类任务中的变换)
在广义线性模型中,我们只需要找到一个单调可微函数,即可作为一般的线性模型来求解。
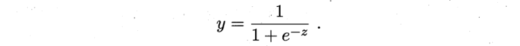
考虑二分类任务,其输出标记y∈{0,1},而线性回归模型产生的预测值是实值,于是,我们需要将z转换为0/1值。最理想的是”单位阶跃函数“
但是这并不是一个连续的函数,不可微,于是我们可以找一个一定成都上近似单位阶跃函数的”替代函数“。对数几率函数正是这样一个常用的替代函数:




来源:CSDN
作者:haliaddel
链接:https://blog.csdn.net/haliaddel/article/details/102724159