HMM是一种结构简单的贝叶斯网络,主要用于时序数据建模,在语音识别,自然语言处理等领域有广泛应用。
一、HMM概述
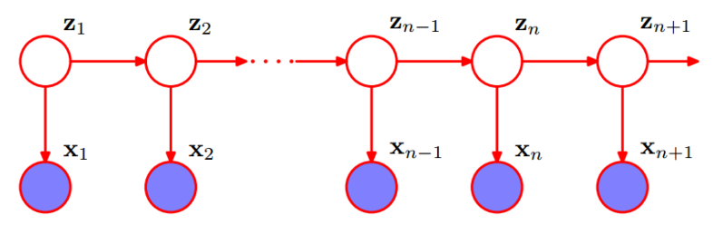
1、HMM模型的网络结构

上图为HMM模型的结构,其中[z1,z2,....,zn]是不可观测的状态序列;[x1,x2,...,xn]为观测序列。zi表示第i时刻的状态变量,取值为[s1,s2,...,sN];。xi表示第i时刻的观测值,取值为[o1,o2,...,oM]
2、HMM模型的三组参数
λ=[A,B,π]
-
A=[ai,j]N∗N为状态转移矩阵。从前一个状态转移到后一个状态的概率。
ai,j=Pr(zt+1=sj∣zt=si),1≤i,j≤N
-
B=[bi,j]N∗M为观测概率分布矩阵,在当前状态下取某个观测值的概率
bi,j=Pr(xt=oj∣zt=si),1≤i≤N,1≤j≤M
-
π=[π1,....,πN]为初始概率矩阵, 表示初始时刻各状态出现概率。
π=Pr(z1=si),1≤i≤N
注意:
1、状态序列是离散的,观测序列可以是离散的,也可以是连续的。
2、t观测值只与t时刻状态相关,t+1时刻状态值只与t时刻状态值相关
例子:HMM分词
假设我们相对如下这行话进行分词:
【欢迎来到我的博客】
上面有8个字,即8个时刻。
假设我们是这样分的:找到“终止字”,然后根据终止字来分词。即:对于这行字,“迎、到、我、的、客”是终止字,于是最终这么分词:欢迎/来到/我/的/博客。那么我们对每个字只需判断它是否为终止字,这就是所谓的隐变量。有[s1,s2]=[‘是终止字’,‘不是终止字’]
下面用上面的知识对这个例子建立HMM的λ=[A,B,π]
-
A 状态转移矩阵的确定:
A=[ai,j]2∗2,
其中,ai,j=Pr(zt+1=sj∣zt=si),1≤i,j≤2.
-
B观测矩阵的确定:
如果我们的目标文字使用Unicode编码,那么上面的任何一个字都是0~65535中的一个数,于是我们的观测就会是[o1,o2,...,oM],M=65536,于是观测矩阵就是个2*M的矩阵,如下:
B=[bi,j]2∗65536
其中,bi,j=Pr(xt=oj∣zt=si),1≤i≤N,1≤j≤M
-
π初始概率矩阵的确定
π=[π1,π2]
其中,πi=P(z1=si),i=1,2
HMM怎么生成观测序列【欢迎来到我的博客】?
假设有了 z1=“非终止字”这个状态,然后根据这个状态从65535个字中选出x1=“欢”这个字,然后根据状态转移矩阵,下一次转移到了Z2 =“终止字”,然后根据Z2从65535个字中选出了x2=“迎”这个字,这样,最终生成了这句话。
3、HMM模型关注的三个问题
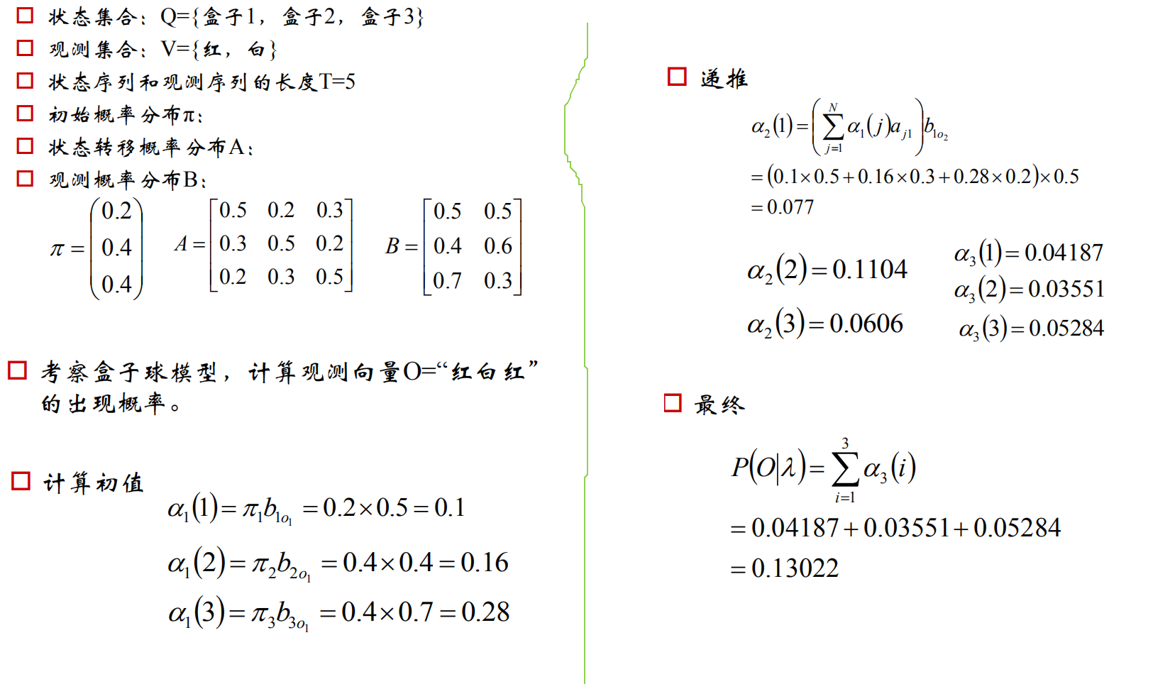
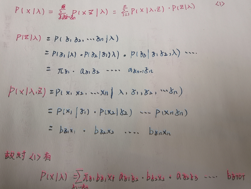
- 1)概率计算问题:给定参数λ和观测序列x=[x1,x2,...,xn],计算Pr(x∣λ)。
使用前向后向算法(动态规划)
- 2)学习问题:已知观测序列x=[x1,x2,...,xn],求解参数λ,使得Pr(x∣λ)最大,即求解λargmaxPr(x∣λ)。
采用Baum-Welch算法(EM)
- 3)预测问题:已知λ和观测序列x=[x1,x2,...,xn],求隐藏的状态序列的概率。即求Pr(z∣x,λ),例已知参数和观测值,求每个字是不是终止字,这样就可以分词了啊。
采用Viterbi算法(动态规划)
二、HMM关注的问题求解
1、概率计算问题
-
首先给出直接求解的方法,它的缺点是时间复杂度极高。
(注意:下面的xi代表的都是一个已知的具体的观测值,[x1,x2,x3]=[红白红])

-
给出前向后向算法,时间复杂度极大地减小。
下图给出了前向概率和后向概率的表示,αt(i)为给定λ的条件下,计算时刻t观测值为i且观测值为[y1,y2,...,yt]的前向概率。


下面给出一道例题来直观理解前向算法的迭代过程

-
前向后向算法的关系
Pr(zt=si,x∣λ)=αt(i)βt(i)
-
初步给出了预测问题的近似解。
已知λ和观测序列x=[x1,x2,...,xn],求t时刻隐藏的状态序列的概率。即求γt(i)=Pr(zt=si∣x,λ),它求的是单个状态的概率。
γt(i)=∑i=1Nαt(i)βt(i)αt(i)βt(i)
有了上式,我们可以根据观测序列和λ,求得每个字是否为"停止字"的概率,假设是的概率大于否的概率,则判定这个字是停止字,从而进行分词处理。
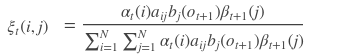
两个状态的联合概率分布ξt(i,j)=Pr(zt=si,zt+1=sj∣x,λ)

2、学习问题
- 给出观测序列和状态序列(监督学习)
以HMM分词为例,你已经拿到了语料库,即有每个字的(B,M,E,S)四种状态。训练得到参数,在测试语料上分词。此时利用大数定律来学习参数λ

- 只给了观测序列(无监督学习)
采用Baum-Welch算法(可以看成EM算法的推广)
推导就是EM算法的E步(求Q)和M步(求参数),这里不做赘述。下图就是最终得到的算法。

3、预测问题
Viterbi算法
对比前向算法,发现只是把Σ换为max

直观例题理解
当球为红白红时,三次从哪个盒子摸出的概率最大。

参考文章:参考文章