一、几种代表性的转印技术
1.概述
转印适用于二维、三维布局的微米和纳米材料组装,也适用于大型组件
典型的打印过程包括:拾取和打印
在拾取步骤中,首先将预先制造在供体衬底上的功能器件组件(如微/纳米膜、带、纳米线、纳米管等)拾取到压膜上,在印刷步骤中,使着墨的印章与接收器接触,然后移走印章,以将设备组件印到接收基板上,其中关键是印模的设计。
转印过程设计在印模/设备界面和设备/基板界面处的竞争性断裂,
印模/基板界面断裂发生在印刷工序中,而在设备/供体界面断裂发生在拾取步骤。
成功的拾取步骤要求在印模/设备界面处的粘合强度大于在设备/供体界面处的粘合强度,从而导致在设备/供体界面处发生分层,从而将功能性设备转移到弹性体印模上。
在打印过程中,设备/接收器界面处的粘附强度比在印模/设备界面处的粘附强度强,因此可以实现印刷。
种类:
基于调节界面粘合强度的原理——动力学黏着控制、表面化学和溶剂辅助黏着控制等
2.优点
(1)使用常规的基于晶圆的技术制造的设备组件可实现电子系统的高性能
(2)确定性组装高效、高精度;
(3)转印过程甚至在大规模集成时也是可以重复的,例如卷对卷应用;
(4)某些转印技术可以在室温下低成本运行
(5)适用于宽范围的结构和材料,从纳米结构在各种形状和大小的组建,其包括有机分子材料、无机半导体材料、功能聚合物、金属、压电材料等。
二、转印方式
1.运动控制转印
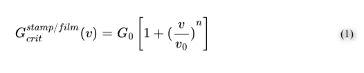
基于粘弹性印模[的动力学依赖性,该印模和该功能元件之间的粘合强度可通过印模的缩回速度来调制。在不使用粘合剂层的情况下,范德华力在这种操作模式下足够。尽管基板和功能设备组件(建模为薄膜)是有弹性的,但薄膜/基板界面处的临界能量释放速率GC 在转移打印过程中保持不变。但是,使用粘弹性压模时,压模/薄膜界面处的临界能量释放速率GC是速率敏感的,并且取决于剥离速度。通过数值和实验结果验证的粘弹性模型描述了这种速率依赖性行为,结果表明,剥离力随剥离速度的增加而增加。临界能量释放率GC随剥离速度v单调增加,可以表示为:


图3薄膜/基材和薄膜/印章界面的临界能量释放速率与剥离速度的关系示意图。
在拾取步骤中,薄膜/印章界面处的临界能量释放速率大于薄膜/基材界面处的临界能量释放速率,从而导致裂纹在薄膜/基材界面处传播,并将器件薄膜从施主基板上收回到施主基板上邮票。在印刷步骤中,薄膜/印章界面处的临界能量释放速率小于薄膜/接收器界面处的临界能量释放速率,这允许裂纹在薄膜/印章界面处扩展,并有助于将器件薄膜释放到薄膜上。接收器基板。
2.热释放转印
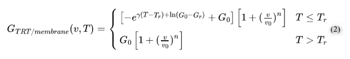
作为最广泛使用的方法之一,基于薄而柔软的热释放带(TRT) 的转移印刷操作简单,并且在分析中使用了断裂力学模型。该技术依赖于将TRT加热到转变温度(即100°C)以上时,粘合强度大幅度且不可逆地降低。在功能膜/ TRT界面处能量释放速率的定量依赖性由方程式(2)表征,该方程式是温度和剥离速度的函数。与仅使用动力学控制的技术相比,通过附加的温度控制,强附着力与弱附着力的比例变得更大:


(a)使用热敏剥离带的转印的示意图。在TRT /聚酰亚胺(PI)和PI/聚二甲基硅氧烷(PDMS)
处的能量释放速率取决于(b) 温度和(d) 剥离速度的函数。(c) 通过温度调节能量释放速率用
于拾取和印刷步骤。(e) 等高线图显示了TRT/ PI界面处的能量释放速率与温度和剥离速度的关
系。
如等式(2)中所述,在TRT/膜界面处的临界能量释放速率的调制主要由剥离速度和温度控制。临界能量释放率GT能在低于70°C的温度下(图4b)几乎保持不变,该温度远大于膜/供体界面的临界能量释放速率, 因为裂纹扩展发生在器件/衬底界面处,所以可以容易地拾取膜器件。当TRT/膜系统加热到80°C以上时,临界能量释放速率GT能显着降低到小于膜/接收器界面的临界能量释放速率, 剥离TRT时,裂纹在TRT /膜界
面处扩展,这有助于将膜器件印刷到接收器基板上。作为临界能量释放率,GT可以在较大范围内用剥离速度和温度进行调节(图4d, e),热释放转移印刷代表了器.件集成中的一种有效方法。
3.水助转印

4.表面浮雕

5.剪切辅助转印

6形状记忆合金转印

7激光辅助转印

8 凹版转印方法

9.磁辅助转印

10 各种转印技术的比较


柔性电子设备中的应用