卡特兰数的百度百科链接
卡特兰数的维基百科链接
在学习数据结构的栈的合法输出序列时,我发现栈的合法输出序列的计算公式居然是著名的Catalan number,然后找了些资料学习了一下。
Catalan number
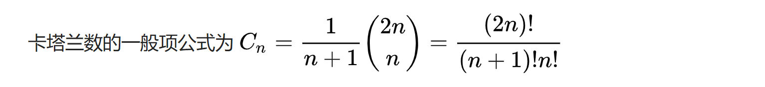
一般项公式
在解决计数问题时,我们常会遇到卡特兰数,卡特兰数的一般项公式为:
递推公式
卡特兰数满足的递推公式为(这也是计算栈的合法输出序列的公式):
前20项的值
前20项为(OEIS中的数列A000108):1, 1, 2, 5, 14, 42, 132, 429, 1430, 4862, 16796, 58786, 208012, 742900, 2674440, 9694845, 35357670, 129644790, 477638700, 1767263190
来源:CSDN
作者:NO_tomato
链接:https://blog.csdn.net/qq_40514690/article/details/100165240