国际著名的咨询公司Gartner在2013年总结出了一套数据分析的框架,数据分析的四个层次:描述性分析、诊断性分析、预测性分析、处方性分析。
Gartner于2020年中给出预测,到2024年底,75%的企业机构将从AI试点转为AI运营。同期,Gartner发布了数据与分析领域的十大技术趋势,首先映入眼帘的是:更智能、更高速、更负责的AI,也指出了仪表板的衰落,更青睐上层次和实用化的决策智能。
1. 前言
我们在设计数据分析产品和数据可视化的时候,依据是什么?怎样设计数据分析产品才能给用户更多的业务支撑?我们做趋势预测、精准识别目的是什么?
最近,我有些感悟分享与读者探讨、研究。
对于设计数据分析产品和数据可视化,我们首先想到的是需求,然后是业务机理。但是,在大数据、新一代人工智能高速发展的今天,对比Gartner给出数据分析咨询意见,我们不应拘泥于当前的业务场景,业务创新也可以通过新技术引领。
我们回到数据分析产品和数据可视化设计,除了需求和业务机理以外,我们不妨以金字塔思维模型来构建这样的场景。
一、目的
我们的目的是实现经济发展和利润,解决未来或当下的问题。比如新零售业务核心是围绕客户展开,解决客户发展和流速问题,是企业发展和利润的基石。
二、分析需求和识别待解决问题
分析需求是深入业务机理,重塑业务模型,以发展的眼光识别问题,解决问题。仍以新零售客户发展为例,客户流失是难以解决的问题,要解决客户流失问题,需要我们重塑客户全生命周期管理模型,识别问题机理和影响因素。
三、以预设或假设结论先行
我们以需求和待解决问题为基准,经过理论联系实际,设定解决问题目标。如果仍以客户流失问题为基准,并按公司现状和发展,我们设定客户流失率控制目标是20%,挽回率为70%,预测准确度为80%等。
为此,我们先借鉴国际Kaggle大赛电信客户流失题目为例,其数据为“WA_Fn-UseC_-Telco-Customer-Churn”,参照推演结论。
四、以上统下,逐层展开
我们有了结论目标,接着就是落地证明结论,分层分类展开。比如仍以客户流失问题为例,先通观全局,我们已经能做到预测客户流失,预测客户流失为26.54%,预测模型准确率达到80%。我们据此分类展开模型的影响因素分析,这也是数据分析、数据可视化内容。例如根据模型重要影响因素和相关性,给出个人特征、行为特征、服务特征三大类。
分层子观点如下:
1、以动态规划优化策略,通过优惠券方式降低流失客户的客户单价,实现减少流失客户;
2、以客户生命周期的时间序列预测客户流失预警;
3、流失客户的月消费金额(客单价)、在网时长等因素对客户流失影响较大。
五、给出解决措施,逐层分解,体现数据分析更智能。
2. 电信客户流失案例
2.1. 背景
电信行业关于用户留存有这样一个观点[2],如果将用户流失率降低5%,公司利润将提升25%-85%。如今,高居不下的获客成本让电信运营商遭遇“天花板”,甚至陷入获客难的窘境。随着市场饱和度上升,电信运营商亟待解决增加用户黏性,延长用户生命周期的问题。因此,电信用户流失分析与预测至关重要。因此做好“用户流失预测分析”可以:
1、降低营销成本。业界通用经验,“新客户开发成本”是“老客户维护成本”的5倍。
2、获得更好的用户体验。并不是所有的增值服务都可以有效留住客户。
3、获得更高的销售回报。可以识别价格敏感型客户和非价格敏感性客户。
2.2. 客户数据集及其流失预测分析
2.2.1. 数据集
| 字段名称 | 说明 | 数据解释 |
|---|---|---|
| customerID | 用户ID | |
| gender | 性别 | Female & Male |
| SeniorCitizen | 老年人 | 1表示是,0表示不是 |
| Partner | 是否有配偶 | Yes or No |
| Dependents | 是否经济独立 | Yes or No |
| tenure | 客户已使用月份数 | 0-72月,0为新开户 |
| PhoneService | 是否开通电话服务业务 | Yes or No |
| MultipleLines | 是否开通了多线业务 | Yes 、No or No phoneservice |
| InternetService | 是否开通互联网服务 | No, DSL数字网络,fiber optic光纤网络 |
| OnlineSecurity | 是否开通网络安全服务 | Yes,No,No internetserive |
| OnlineBackup | 是否开通在线备份业务 | Yes,No,No internetserive |
| DeviceProtection | 是否开通了设备保护业务 | Yes,No,No internetserive |
| TechSupport | 是否开通了技术支持服务 | Yes,No,No internetserive |
| StreamingTV | 是否开通网络电视 | Yes,No,No internetserive |
| StreamingMovies | 是否开通网络电影 | Yes,No,No internetserive |
| Contract | 签订合同方式 | 按月,一年,两年 |
| PaperlessBilling | 是否开通电子账单 | Yes or No |
| PaymentMethod | 付款方式 | bank transfer,credit card,electronic check,mailed check |
| MonthlyCharges | 月费用 | |
| TotalCharges | 总费用 | |
| Churn | 该用户是否流失 | Yes or No |
2.2.2. 数据预处理与特征提取
1、数据缺失处理
经过观察,发现这11个用户‘tenure’(入网时长)为0个月,推测是当月新入网用户。根据一般经验,用户即使在注册的当月流失,也需缴纳当月费用。因此将这11个用户入网时长改为1,将总消费额填充为月消费额,符合实际情况。
#'TotalCharges'存在缺失值,强制转换为数字,不可转换的变为NaN
self.CData['TotalCharges']=pd.to_numeric(self.CData['TotalCharges'], errors='coerce') #astype('float64')
#将总消费额填充为月消费额
self.CData['TotalCharges'] = self.CData[['TotalCharges']].apply(lambda x: x.fillna(self.CData['MonthlyCharges']),axis=0)
#查看是否替换成功
print(self.CData[self.CData['tenure']==0][['tenure','MonthlyCharges','TotalCharges']])
2、特征编码与特征增维
观察数据类型,除了“tenure”、“MonthlyCharges”、“TotalCharges”是连续特征外,其它都是离散特征。
- 对于连续特征,采用标准化方式处理;
- 对于离散特征,特征之间没有大小关系,采用one-hot编码;
- 对于离散特征,特征之间有大小关联,则采用数值映射,例如这的Yes与No,隐含有和无,既0与1的关系。
Pandas技术方案:
- pd.get_dummies()就是把离散字符或者其他类型编码变成一串数字向量(纵向转为横向的数据列),也就是所谓的one-hot编码,数据增维。
- pd.factorize()就是把离散字符或者其他类型编码变成一列连续数字,通常转变为0、1,或者,连续有一定意义的。
Cols = [c for c in self.CData.columns if self.CData[c].dtype == 'object' or c == 'SeniorCitizen']
Cols.remove('Churn')
# 对于离散特征,特征之间没有大小关系,采用one-hot编码;特征之间有大小关联,则采用数值映射。
for col in Cols:
if self.CData[col].nunique() == 2:
self.CData[col] = pd.factorize(self.CData[col])[0]
else:
self.CData = pd.get_dummies(self.CData, columns=[col])
self.CData['Churn']=self.CData['Churn'].map({
'Yes':1,'No':0})
2.2.3. 影响流失特征重要程度排序
数据集原始特征为21个,在特征离散化及升维达到40个特征,通过随机森林算法拟合客户流失,找出特征排序,实现代码参考引用[3]详细说明。
对排序结果数值进行分析,获得重要前六项特征,以及考虑可以舍弃的特征,例如:PhoneService、StreamingTV等。
2.2.4. 与客户流失相关特征分析
数据集原始特征为21个,在特征离散化及升维达到40个特征,通过皮尔森相关系数方法,找出能帮助理解特征和响应变量之间关系的方法,该方法衡量的是变量之间的线性相关性(详细参加[3]说明)。
我们观察关系系数接近于0的特征,有的和前面特征重要程度存在一定的稳合,例如PhoneService、StreamingTV,与流失关系系数接近0。
2.2.5. 数据不平衡处理
由于预测识别客户流失属于二分类的问题,而且流失占比较少,形成分类样本不平衡问题,针对数据不平衡问题,采用欠采样的方式进行处理,使用机器学习库中的SMOTE。
pip install imblearn
#from imblearn.over_sampling import SMOTE
self.x_train,self.x_test, self.y_train, self.y_test = train_test_split(X,Y,test_size=0.3)
#利用SMOTE创造新的数据集 ,#初始化SMOTE 模型
oversampler=SMOTE(random_state=0)
#使用SMOTE模型,创造新的数据集
os_features,os_labels=oversampler.fit_sample(self.x_train,self.y_train)
#切分新生成的数据集
os_features_train, os_features_test, os_labels_train, os_labels_test = train_test_split(os_features, os_labels, test_size=0.2)
self.x_train,self.x_test, self.y_train, self.y_test = os_features_train, os_features_test, os_labels_train, os_labels_test
'''
#看看新构造的oversample数据集中0,1分布情况
#常用pandas的value_counts确认数据出现的频率
os_count_classes = pd.value_counts(os_labels['Churn'], sort = True).sort_index()
os_count_classes.plot(kind = 'bar')
plt.title("Fraud class histogram")
plt.xlabel("Class")
plt.ylabel("Frequency")
plt.show()
'''

经过SMOTE欠采样处理后,样本数据集均衡。
基于均衡处理后的数据集进行预测,预测结果准确率由80%提升到87%(未做优化参数)。
如果,使用原分离出来的30%样本的做为测试集,则模型预测准确率没有得到明显提升,为什么?
2.2.6. 结论
根据以上分析,我们可以大致得到高流失率用户的特征:
- 用户属性:老年,未婚、没有依赖关系;
- 服务属性:开通光纤服务/光纤附加流媒体电视、电影服务;
- 行为属性:在网时长小于一年,签订的合同期限较短,采用电子支票支付,使用电子账单,月消费金额约在70-110元之间;
- 其它属性对用户流失影响较小。
2.3. 经验总结
2.3.1. 特征分类层次化
总结预测客户流失研究过程,我们将所有输入原始特征分成了三个类别:客户个人属性、客户行为属性,客户服务属性,如下图所示,分别对他们进行分析。
2.3.2. 特征离散化
离散化后的特征对异常数据有更强的鲁棒性,降低过拟合的风险,模型会更稳定,预测的效果也会更好。
例如“在网时长”特征,实际上的使用更多是表述时长的等级,我们参看如下数据分布直方图,可以几个级别,对比我们实际业务就是刚刚入网的客户,多年的老客户等等。
2.3.3. 离散特征 one-hot编码
我们经常遇到数据特征,是对某些特征进行归类管理,例如下图的“付款方式”,每种付款方式都是独立的,以是、否方式表示,而且有可能存在多种付款方式。对于这样的特征我们应该采用one-hot方式编码,相当于给数据集升维。
我们也经常遇到数据特征,是对数值数据使用的描述,而实际上是有数值大小意义的,例如图中“合同期限”,按月描述就是:按月对应1(个月)、按一年对应12(个月)、按两年对应24(个月),这样更适合表述特征含义。
2.3.4. 特征与指标
我们通过过程中的输出结果,逐步确立分析指标,设定参考标准。例如用户在网时长,根据前面的数据分布图,以及离散化策略,我们可以离散化出多个在网时长的区间,而且通常这样的分析方法效果更好,也方便对标。
对于one-hot类编码,往往是业务分类产生的,这也是产生指标的一个重要来源,而且可以根据重要程度而确立指标。

3. 根据预测结论设计数据分析产品
著名的咨询公司Gartner在2013年总结、提炼出了一套数据分析的框架,数据分析的四个层次:描述性分析、诊断性分析、预测性分析、处方性分析。
我们虽然凭经验直接给出处方分析是很难实现的,但是我们可以先从预测结论倒叙推理,自顶向下,根据预测结论及预测分析过程输出核心结果,形成以重要影响因素、经营管理考核指标(需求)、特征相关性为主的层次子结论,逐层分类展开数据分析产品设计。
数据分析研发过程原则:
- 数据驱动、AI驱动,产品设计利用数据和AI技术
- 产品设计界定研发边界
- 研发边界和深度依赖资源并受资源限制
- 提供模型可解释性
- 研发过程遵循迭代循环
接下来,我们仍以客户流失为例,按上图,根据“探索性分析”的结果和结论,展开“产品设计”过程。下图是客户全生命周期,其中客户流失的拐点,流失预警期将是我们的重中之重。
3.1. 预测结论及分析(顶层)
我们所设计预测,是想提前知道未发生的事和预期结果对比。预测结果仍以数据描述方式表达,如果继续以客户流失预测为例,需要表达的内容如下:
1、客户流失率、流失数量、流失客户明细,预测流失与同期、上期、管理指标对标分析,包括同期比、环比。
客户流失造成月收入减少30.5%。
plt.rcParams['figure.figsize']= 12,6 #6,6
plt.subplot(1,2,1)
plt.pie(self.df['Churn'].value_counts(),labels=self.df['Churn'].value_counts().index,autopct='%1.2f%%',explode=(0.1,0))
plt.title('Churn(Yes/No) Ratio')
plt.subplot(1,2,2)
dd = self.df[['MonthlyCharges','TotalCharges','Churn']].groupby(['Churn'], as_index=False).sum()
plt.pie(dd['MonthlyCharges'],labels=dd['Churn'],autopct='%1.2f%%',explode=(0.1,0))
plt.title('Churn(Yes/No) MonthlyCharges')
plt.show()
2、流失客户带来的影响,流失客户所引起减少的(月)收入,需要打新多少新用户弥补及实现概率。
3、影响客户流失重要因素、相关因素,并给出优化措施建议。
我们依据客户流失集各个特征的重要程度,重点分析消费金额和在网时长。其实这些和我们实际经验比较接近,大多数客户最关心的就是钱,对价格比较敏感。
所以,我们的产品设计上,将倾向分析客户价格敏感情况,建立客户价格敏感画像,以及相关支撑服务。
3.2. 分析重要影响因素
我们依旧预测过程中重要因素、相关因素等输出,深入分析这些因素(为了简便说明,此处只是使用了XGBoost算法预测),例如:
如上图所示,位列三甲重要特征为月度消费金额、总消费金额、在网时长,与我们经验认知一致,流失很大原因就是差钱!
1、分类对比流失客户与未流失客户的月消费金额(客单价),分类对比流失客户与未流失客户的在网时长。

def kdeAnalysis(self):
plt.rcParams['font.sans-serif']=['SimHei'] #显示中文标签
plt.rcParams['axes.unicode_minus']=False
plt.figure(figsize=(18, 5))
plt.subplot(1,3,1)
kdeplot('MonthlyCharges','月度消费',self.df,'Churn')
plt.subplot(1,3,2)
kdeplot('TotalCharges','总消费额',self.df,'Churn')
plt.subplot(1,3,3)
kdeplot('tenure','在网时长',self.df,'Churn')
plt.show()
# Kernel density estimaton核密度估计
def kdeplot(feature,xlabel,data,tag='Churn'):
plt.title("KDE for {0}".format(feature))
plt.yticks(fontsize=8)
plt.xticks(fontsize=8)
sns.set(font='SimHei') #, font_scale=0.8) # 解决Seaborn中文显示问题
sns.set_style({
'font.sans-serif':['simhei', 'Arial']})
ax0 = sns.kdeplot(data[data['Churn'] == 'No'][feature], label= '未流失', shade='True',legend=True)
ax1 = sns.kdeplot(data[data['Churn'] == 'Yes'][feature], label= '流失',shade='True',legend=True)
plt.xlabel(xlabel)
plt.rcParams.update({
'font.size': 10})
plt.legend(fontsize=10)
2、分析月消费金额、在网时长等重要特征的相关因素
在给定电信客户流失数据集中,各个特征独立性较强,如下图所示,没有必要深入分析其他特征的相关性。
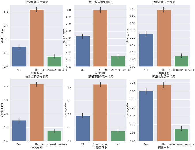
3、选择影响重要因素分析
如下图所示,只分析重要影响因素,而对于类似“PhoneService”特征,影响靠后的可以略去,不予以分析。
def serviceAnalysis(self):
plt.rcParams['font.sans-serif']=['SimHei'] #显示中文标签
plt.rcParams['axes.unicode_minus']=False
sns.set(font='SimHei') #, font_scale=0.8) # 解决Seaborn中文显示问题
sns.set_style({
'font.sans-serif':['simhei', 'Arial']})
self.df['churn_rate'] = self.df['Churn'].replace("No", 0).replace("Yes", 1)
items=['OnlineSecurity','OnlineBackup','DeviceProtection','TechSupport','InternetService', 'StreamingMovies']
items_name=['安全服务','备份业务','保护业务','技术支持','互联网服务','网络电影']
def get_order(items_index):
if items_index == 4:
return ['DSL','Fiber optic','No']
else:
return ['Yes','No','No internet service']
fig,axes=plt.subplots(nrows=2,ncols=3,figsize=(8,12))
for i,item in enumerate(items):
plt.subplot(2,3,(i+1))
ax=sns.barplot(x=item,y='churn_rate',data=self.df,order=get_order(i))
plt.rcParams.update({
'font.size': 12})
plt.xlabel(str(items_name[i]))
plt.title(str(items_name[i])+'流失情况')
i+=1
plt.show()
3.2. 确立分析指标
如何确立分析指标呢?一般情况下,我们从两个方面考虑:一是业务原理和需求所规定的,属于刚需,也可能不合理,我们可以试探打破;二是数据驱动、AI驱动所逻辑推理给出的。
3.2.1. 基于业务机理提炼指标
例如客户指标:
- 客单价:销售额/客户数,反映客户的质量、消费水平。
- 件单价:销售额/销售量,反映客户的购买商品的平均单价;
- 客单件:销售量/客户数,反映客户的购买力,购买多少商品的数量;
- 连带率:销售量/成交单量,也叫作购物篮系数,连带率和人、场有关。
- 新增会员数:新增会员数=期末会员数-期初会员总数
- 会员增长率:会员增长率=某短时间新增会员数/期初有效会员数
- 会员贡献率:会员贡献率=会员销售总额/总销售额
- 有效会员占比: 有效会员占比=有效会员总数/累计会员总数
- 会员流失率:会员流失率=某段时间内流失的会员数/期初有效会员总数
- 会员活跃度: 会员活跃度=活跃会员数量/会员总量
- 平均购买次数:平均购买次数=某个时间段内订单总数/会员总数
- 会员平均年龄: 会员平均年龄=某个时间段店内会员年龄总和/有效会员总数
3.2.2. 数据驱动、AI驱动逻辑给出
1、数据增维,产生新的特征,例如新增“月平均消费”,月平均消费=总消费/在网时长,如下图所示,属于重要特征,我们可以建议设置为分析指标。
2、聚类,例如对流失客群分类,其实我们也不知道怎么分,那么可以先试探聚类算法看结果,初步来看是和平均消费额大小关系更为密切。
def clusteringAnalysis(self):
data = self.df[self.df['Churn']==1].reset_index(drop=True)#重设索引
samples = data[['MonthlyCharges','TotalCharges','AverageChargs','tenure','Contract']]
#标准化
scaler=StandardScaler()
kmeans=MiniBatchKMeans(n_clusters=3,random_state=9,max_iter=100)
pipeline=make_pipeline(scaler,kmeans)
pipeline.fit(samples) #训练模型
labels=pipeline.predict(samples)#预测
samples['labels'] = labels #合并数据集
强化学习构建聚类指标,通过奖励大,最终建立一个Q值表?
3、对现有特征数据项转化,例如one-hot编码所转换出来的,在预测模型中表现比较重要的离散数据项,也可能升格为分析指标。
3.3. 可视化
数据可视化,正如本文开始所说的,和数据分析的四个层次密切相关。数据可视化可以分为描述性分析、诊断性分析、预测性分析、处方性分析。
我们通常我看到的图表,主要是通俗化数学统计范畴的内容,大多数人都能看懂,其实,我们还需要专业化图表,为专业化服务。
4. 总结
通过客户流失预测案例感悟数据分析设计方法,正如Gartner于2020年给出数据分析领域的技术趋势,更智能、更高速、更负责的AI,凸显新技术引领业务,以站在高纬度上的预测结果为顶层设计,倒逼数据诊断分析、描述性分析,使业务数据分析线条更清晰,目的更明确。
对于数据分析工作岗位,其实可以分为两种:一种类似产品经理、一种偏向数据挖掘,类似产品经理向更加注重业务,对业务能力要求比较高;数据挖掘向更加注重技术,对算法代码能力要求比较高。
由于作者水平有限,欢迎交流讨论。
本文涉及代码详见:https://github.com/xiaoyw71/Feature-engineering-machine-learning
参考:
[1].《电信用户流失分析与预测》 知乎 ,南桥那人 ,2019年6月
[2].《Telco Customer Churn》 CSDN博客 , qqissweat ,2021年1月
[3].《大数据人工智能常用特征工程与数据预处理Python实践(2)》 CSDN博客 ,肖永威,2020年12月
[4].《oversample 过采样方法 SMOTE ——欠采样(undersampling)和过采样(oversampling)会对模型带来怎样的影响》 CSDN博客, Arthur-Ji ,2019年8月
[5].《数据分析的四个层次》 人人都是产品经理 , 大鹏 ,2020年7月
[6].《Gartner发布2020年数据与分析领域的十大技术趋势》 Gartner ,Laurence Goasduff ,2020.06
[7].《最全的零售行业指标体系详解!》 知乎 ,李启方 ,2020年10月
来源:oschina
链接:https://my.oschina.net/u/4362740/blog/4944974