1、为什么要对产品做电磁兼容设计?
答:满足产品功能要求、减少调试时间,使产品满足电磁兼容标准的要求,使产品不会对系统中的其它设备产生电磁干扰。
2、对产品做电磁兼容设计可以从哪几个方面进行?
答:电路设计(包括器件选择)、软件设计、线路板设计、屏蔽结构设计、信号线/电源线滤波设计、电路接地方式设计。
3、在电磁兼容领域,为什么总是用分贝(dB)的单位描述?10mV是多少dBmV?
答:因为要描述的幅度和频率范围都很宽,在图形上用对数坐标更容易表示,而dB就是用对数表示时的单位,10mV是20dBmV。
4、为什么频谱分析仪不能观测静电放电等瞬态干扰?
答:因为频谱分析仪是一种窄带扫频接收机,它在某一时刻仅接收某个频率范围内的能量。而静电放电等瞬态干扰是一种脉冲干扰,其频谱范围很宽,但时间很短,因而频谱分析仪在瞬态干扰发生时只能观察到其总能量的一小部分,不能反映实际的干扰情况。
5、在现场诊断电磁干扰问题时,往往需要使用近场探头和频谱分析仪,怎样用同轴电缆制作一个简易的近场探头?
答:将同轴电缆的外层(屏蔽层)剥开,使芯线暴露出来,将芯线绕成一个直径12厘米的小环(13匝),焊接在外层上。
6、一台设备,原来的电磁辐射发射强度是300mV/m,加上屏蔽机箱后,辐射发射降为3mV/m,那么这个机箱的屏蔽效能是多少dB?
答:这个机箱的屏蔽效能应为40dB。
7、设计屏蔽机箱时,应根据哪些因素选择屏蔽材料?
答:从电磁屏蔽的角度而言,主要考虑所屏蔽的电场波的种类。对于电场波、平面波或频率较高的磁场波,一般金属都可以满足要求。对于低频磁场波,要使用导磁率较高的材料。
8、机箱的屏蔽效能除了受屏蔽材料影响以外,还受哪些因素影响?
答:受两个因素影响,一是机箱上的导电不连续点,例如孔洞、缝隙等;另一个是穿过屏蔽箱的导线,如信号电缆、电源线等。
9、屏蔽磁场辐射源时要注意哪些问题?
答:由于磁场波的波阻抗很低,因此反射损耗很小,主要靠吸收损耗达到屏蔽目的,因而要选择导磁率较高的屏蔽材料。另外,在做结构设计时,要使屏蔽层尽量远离辐射源(以增加反射损耗),尽量避免使孔洞、缝隙等靠近辐射源。
10、在设计屏蔽结构时,有一个原则是:尽量使机箱内的电缆远离缝隙和孔洞。这是为什么?
答:由于电缆近旁总是存在磁场,而磁场很容易从孔洞泄漏(与磁场的频率无关),因此当电缆距离缝隙和孔洞很近时,就会发生磁场泄漏,降低总体屏蔽效能。
11、测量人体的生物磁信息是一种新的医疗诊断方法,这种生物磁的测量必须在磁场屏蔽室中进行,这个屏蔽室必须能屏蔽从静磁场到1GHz的交变电磁场。我应该怎样设计这个屏蔽室呢?
答:首先要考虑屏蔽材料的选择问题。由于要屏蔽频率很低的磁场,因此要使用高导磁率的材料,比如坡莫合金。坡莫合金经过加工后,导磁率会降低,必须进行热处理。因此,屏蔽室要做成拼装式,由板材拼装而成。事先将各块板材按照设计加工好,然后进行热处理,运输到现场,小心地安装。每块板材的结合处要重叠起来,以便形成连续的磁通路。这样构成的屏蔽室对低频磁场有较好的屏蔽效能,但缝隙会产生高频泄漏。为了弥补这个不足,需在坡莫合金屏蔽室的外层用铝板焊接成第二层屏蔽,从而屏蔽高频电磁场。
12、什么是截止波导板(蜂窝板)?需要在什么样的场合下使用它?使用时要注意哪些问题?
答:截止波导板是由许多截止波导管组成的阵列板,用于需要较高屏蔽效能和通风量的场合,使用时要注意蜂窝板与机箱之间要使用电磁密封衬垫安装,或焊接起来。
13、有一台塑料机壳的设备,电磁辐射超标,为了使其满足电磁兼容标准的要求,开发人员在机壳内部用导电漆喷涂,结果并没有明显改善。请分析可能会是什么原因?
答:可能原来的塑料机箱上孔洞过多、过大,产生过于严重的泄漏,也可能是缝隙不严(可能是接触不紧,也可能是在结合处没有喷导电漆),产生泄漏。另外,原来机箱上的电缆(信号线、电源线)往往没有良好的滤波措施,这些电缆可能造成机箱电磁泄漏。
14、透明屏蔽窗有哪几种?使用时要注意什么问题?
答:有两种,一种是玻璃夹金属网构成的屏蔽窗,另一种是在玻璃上镀上很薄的金属膜构成的屏蔽窗。在使用时,要注意金属网或导电镀膜一定要与屏蔽机箱的基本导电件紧密接触。
15、在CRT显示器的屏幕上使用带金属网夹层的屏蔽玻璃时,会有令人讨厌的条纹,怎样减轻这种现象?
答:将丝网的方向旋转一下,使纬线与显像管的扫描线之间形成15~20度夹角。
16、电磁密封衬垫的两个关键特性是什么?列出尽可能多的电磁密封衬垫种类,并说明各种产品的适用场合。
答:电磁密封衬垫必须具备的两个特性是弹性和导电性。常用的电磁密封衬垫种类有:指形簧片、金属网衬垫、导电橡胶、导电布包裹发泡橡胶、螺旋管等。除了有切向滑动接触的场合外,应避免使用指形簧片;有环境密封要求时,应使用导电橡胶;其它场合可使用导电布衬垫,需要屏蔽的频率不高时,也可用丝网衬垫;能够确保不会过量压缩时,可使用螺旋管。
17、使用电磁密封衬垫时要注意什么问题?
答:面板的厚度要适当,防止在衬垫的反弹力作用下发生形变,造成更大的缝隙。面板厚度较薄时,紧固螺钉需采用较小的间隔。设置限位结构,防止过量压缩。选择适当的金属材料,减小电化学腐蚀。
18、一个屏蔽机箱上,必须要穿过一根金属杆,怎样处理才不会破坏机箱的屏蔽效能?
答:将金属杆的周围通过铍铜簧片与屏蔽基体可靠地搭接起来。
19、电源线滤波器主要起什么作用?选型时主要考虑哪些参数?使用电源线滤波器时要注意什么问题?
答:电源线滤波器的作用是抑制传导发射电流沿着电源线传播。选型时要考虑插入损耗(共模和差模)、额定电流、电压、有效的频率范围等参数,使用时要注意安装方法,必须确保射频接地良好和输入输出隔离,防止滤波过的导线部分再次受到污染。
20、为什么电源线滤波器的高频滤波特性十分重要?
答:如果高频滤波特性不好,会导致设备的辐射发射超标或对脉冲性干扰敏感。
21、进行结构电磁兼容设计时,有一个原则是:经过滤波的电源线要尽量远离各种信号电缆。这是为什么?
答:如果电源线与信号电缆靠得很近,信号电缆上的高频信号会耦合到电源线上(特别是已经滤波过的部分),造成电源线上的传导发射超标。
22、为什么选用电源线滤波器时,不能一味追求体积小巧?
答:滤波器的体积主要由滤波器电路中的电感器决定,较小的滤波器内必须使用体积较小的电感器,而较小的电感器电感量也可能较小,会导致滤波器的低频滤波性能较差。另外,滤波器的体积减小,必要让内部器件相互靠得很近,这样会降低滤波器的高频性能。
23、什么叫滤波器的插入损耗?用什么方法测量滤波器的插入损耗可以得到最保险的结果?
答:由于滤波器接入电路而产生的电流、电压损耗叫做滤波器的插入损耗,干扰滤波器应对干扰频率的信号有尽量大的插入损耗。测量滤波器的插入损耗应采用源和负载阻抗的比值为0.1:100(或反过来)的条件来测,这时可以得到最坏条件下的结果,也就是最保险的结果。
24、一般而言,交流线滤波器可以用在直流的场合,但是直流线滤波器绝对不能用在交流的场合,这是为什么?
答:直流线滤波器中使用的旁路电容是直流电容,用在交流条件下可能会发生过热而损坏,如果直流电容的耐压较低,还会被击穿而损坏。即使没有发生这两种情况,由于一般直流滤波器中的共模旁路电容的容量较大,因而用在交流的场合会发生过大的漏电流,违反安全标准的规定。
25、信号线滤波器主要起什么作用?从安装方式上讲有哪些种类?怎样确定使用什么安装方式的信号线滤波器?
答:减小信号线上不必要的高频成分(主要是共模的),从而减小电缆的电磁辐射,或防止电缆作为天线接收空间电磁干扰,并传导进机箱。有线路板上安装和面板上安装两种方式,需要滤波的频率较低时,使用线路板上安装的结构;需要滤波的频率较高时,使用面板上安装的结构。
26、某根信号线上传输的信号最高频率为30MHz,测量表明,这根导线上有120MHz的共模干扰电流,用共模辐射公式预测,只要将这个共模电流抑制30dB,就可以满足电磁兼容标准的要求,此时需要几阶的低通滤波电路?
答:按照题意,低通滤波器的截止频率为30MHz,而在120MHz的插入损耗要大于30dB。由于N阶滤波器的插入损耗增加速率为每倍频程6N(dB),30MHz至120MHz为两个倍频程,因此,N阶滤波器的截止频率若在30MHz,则在120MHz时插入损耗为程12N(dB)。若要使程12N > 30,则可取N=3,即低通滤波器的阶数至少为3。
27、三端电容器为什么更适合于干扰滤波?
答:电磁干扰的频率往往很高,因此干扰滤波器的高频特性至关重要,三端电容器巧妙地利用一个电极上的两根引线电感构成了T型低通滤波器,而消除了传统电容器中引线电感的不良影响,提高了高频滤波特性,因此三端电容器更适合于干扰滤波。
28、为什么说穿心电容器是干扰滤波的理想器件?
答:穿心电容器是一种三端电容器,但与普通的三端电容器相比,由于它直接安装在金属面板上,因此它的接地电感更小,几乎没有引线电感的影响。另外,它的输入输出端被金属板隔离,消除了高频耦合。这两个特点决定了穿心电容具有接近理想电容的滤波效果。
29、电磁干扰抑制用的磁芯与传统上用做电感的磁芯有什么不同?如果两者用错,会发生什么现象?
答:传统上用做电感磁芯的材料具有很小的损耗,用这种磁芯做成的电感损耗很小。而电磁干扰抑制用的磁芯损耗很大,用这种磁芯制作的电感具有很大的损耗,其特性更接近电阻。如果两者用错,均达不到预期的目的。如果将电磁干扰抑制用的磁芯用在普通电感上,电感的Q值会很低,会使谐振电路达不到要求,或对需要传输的信号损耗过大。如果将普通制作电感用的磁芯用在电磁干扰抑制的场合,则由于电感与电路中的寄生电容会发生谐振,可能使某个频率上的干扰增强。
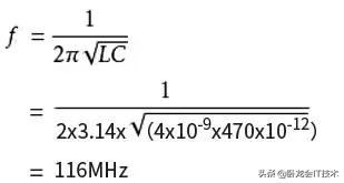
30、若一个旁路滤波电容的容量为470pf,两根引线的长度均为2mm,这个电容在什么频率上滤波效果最好(提示:引线的电感按1nH/mm估算)?
答:当电容发生串联谐振时,其阻抗最小,具有最好的滤波效果。这个电容的谐振频率为

因此,这个电容在116MHz的频率处滤波效果最好。
来源:CSDN
作者:EDA365????
链接:https://blog.csdn.net/wusuowei1010/article/details/102929537