一、是什么?
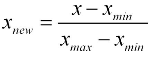
1. 归一化
是为了将数据映射到0~1之间,去掉量纲的过程,让计算更加合理,不会因为量纲问题导致1米与100mm产生不同。

归一化是线性模型做数据预处理的关键步骤,比如LR,非线性的就不用归一化了。
归一化就是让不同维度之间的特征在数值上有一定比较性,可以大大提高分类器的准确性。
缺点:这种方法有个缺陷就是当有新数据加入时,可能导致max和min的变化,需要重新定义。
另外,最大值与最小值非常容易受异常点影响,所以这种方法鲁棒性较差,只适合传统精确小数据场景
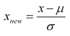
2. z-标准化
消除分布产生的度量偏差,例如:班级数学考试,数学成绩在90-100之间,语文成绩在60-100之间,那么,小明数学90,语文100,小花数学95,语文95,如何评价两个综合成绩好坏的数学处理方式。

二、怎么选?
1. 标准化
- 标准化更好保持了样本间距。当样本中有异常点时,归一化有可能将正常的样本“挤”到一起去。比如三个样本,某个特征的值为1,2,10000,假设10000这个值是异常值,用归一化的方法后,正常的1,2就会被“挤”到一起去。如果不幸的是1和2的分类标签还是相反的,那么,当我们用梯度下降来做分类模型训练时,模型会需要更长的时间收敛,因为将样本分开需要更大的努力!而标准化在这方面就做得很好,至少它不会将样本“挤到一起”。
- 标准化更符合统计学假设:对一个数值特征来说,很大可能它是服从正态分布的。标准化其实是基于这个隐含假设,只不过是略施小技,将这个正态分布调整为均值为0,方差为1的标准正态分布而已。
(1)逻辑回归必须要进行标准化吗?
答案:这取决于我们的逻辑回归是不是用正则。
如果你不用正则,那么,标准化并不是必须的,如果你用正则,那么标准化是必须的。(暗坑3)
为什么呢?
因为不用正则时,我们的损失函数只是仅仅在度量预测与真实的差距,加上正则后,我们的损失函数除了要度量上面的差距外,还要度量参数值是否足够小。而参数值的大小程度或者说大小的级别是与特征的数值范围相关的。举例来说,我们用体重预测身高,体重用kg衡量时,训练出的模型是: 身高 = 体重*x ,x就是我们训练出来的参数。
当我们的体重用吨来衡量时,x的值就会扩大为原来的1000倍。
在上面两种情况下,都用L1正则的话,显然对模型的训练影响是不同的。
假如不同的特征的数值范围不一样,有的是0到0.1,有的是100到10000,那么,每个特征对应的参数大小级别也会不一样,在L1正则时,我们是简单将参数的绝对值相加,因为它们的大小级别不一样,就会导致L1最后只会对那些级别比较大的参数有作用,那些小的参数都被忽略了。
如果你回答到这里,面试官应该基本满意了,但是他可能会进一步考察你,如果不用正则,那么标准化对逻辑回归有什么好处吗?
答案是有好处,进行标准化后,我们得出的参数值的大小可以反应出不同特征对样本label的贡献度,方便我们进行特征筛选。如果不做标准化,是不能这样来筛选特征的。
答到这里,有些厉害的面试官可能会继续问,做标准化有什么注意事项吗?
最大的注意事项就是先拆分出test集,不要在整个数据集上做标准化,因为那样会将test集的信息引入到训练集中,这是一个非常容易犯的错误!
举例:简单的预测房价的线性回归模型:
有一组关于房价和房子变量的数据集,通过房子的面积,房间数量,房子的层数来预测房价。
占地面积1800尺,房间数量3间,房子层数2层-> 房价?;为了方便对比,我们分别看一下标准化前和标准化后的模型输出分布是怎么样的。

可以看出,标准化前后变量的系数不同,误差不同,但是R平方,和变量的t值是相同的。
现在我们来预测一个1590尺,3个卧室,3层的房屋

我们发现预测出来的房价是一样的。
这时你一定会想,既然结果都一样,做不做标准化,都一样嘛。说到这里,我们再看一下,建模时寻找最优解的时间吧。

为什么标准化后的建模时间会短呢?这时候就要说起寻找系数最优解-梯度下降法。
标准化前,由于变量的单位相差很大,导致了椭圆型的梯度轮廓。标准化后,把变量变成统一单位,产生了圆形轮廓。由于梯度下降是按切线方向下降,所以导致了系统在椭圆轮廓不停迂回地寻找最优解,而圆形轮廓就能轻松找到了。
还有一种比较极端的情况,有时没做标准化,模型始终找不到最优解,一直不收敛。
(2)PCA需要标准化吗?
我们再来看一下,如果将预测房价的变量,用PCA方法来降维,会不会对结果产生影响。
我们看出在标准化前,用一个成分就能解释99%的变量变化,而标准化后一个成分解释了75%的变化。 主要原因就是在没有标准化的情况下,我们给了居住面积过大权重,造成了这个结果。


(3)Kmeans,KNN需要标准化吗?
Kmeans,KNN一些涉及到距离有关的算法,或者聚类的话,都是需要先做变量标准化的。
举例:我们将3个城市分成两类,变量有面积和教育程度占比;三个城市分别是这样的:
城市A,面积挺大,但是整天发生偷盗抢劫,教育程度低;
城市B,面积也挺大,治安不错,教育程度高;
城市C,面积中等,治安也挺好,教育程度也挺高;

我们如果不做标准化,直接做聚类模型的话,A城市和B城市分在一块儿了,你想想,一个治安挺好的城市和一个整体偷盗抢劫城市分在一起,实在是有点违反常理。
总结:
在分类、聚类算法中,需要使用距离来度量相似性的时候、或者使用PCA技术进行降维的时候,Z-score standardization表现更好
基于树的模型不需要标准化;
用到正则的线性模型一定要标准化,没用到正则的线性模型不一定要标准化, 但标准化可以加快收敛;
基于距离或聚类需要先做标准化,如KNN、kmeans
PCA最好先做标准化
2. 归一化
模型算法里面有没关于对距离的衡量,没有关于对变量间标准差的衡量。比如decision tree 决策树,他采用算法里面没有涉及到任何和距离等有关的,所以在做决策树模型时,通常是不需要将变量做标准化的。
在不涉及距离度量、协方差计算、数据不符合正太分布的时候,可以使用归一化方法。比如图像处理中,将RGB图像转换为灰度图像后将其值限定在[0 255]的范围。有时候,我们必须要特征在0到1之间,此时就只能用归一化。有种svm可用来做单分类,里面就需要用到归一化。
三、怎么用?
#导入数据到data变量中
import pandas
data = pandas.read_csv('路径.csv')
#(一)Min-Max 标准化
from sklearn.preprocessing import MinMaxScaler
#初始化一个scaler对象
scaler = MinMaxScaler()
#调用scaler的fit_transform方法,把我们要处理的列作为参数传进去
data['标准化后的A列数据'] = scaler.fit_transform(data['A列数据'])
data['标准化后的B列数据'] = scaler.fit_transform(data['B列数据'])
#(二)Z-Score标准化 (可在scale中直接实现)
from sklearn.preprocessing import scale
data['标准化后的A列数据'] = scale(data['A列数据'])
data['标准化后的B列数据'] = scale(data['B列数据'])
# (三) Normalizer归一化
from sklearn.preprocessing import Normalizer
scaler = Normalizer()
#归一化可以同时处理多个列,所以[0]第一个进行赋值
data['归一化后的A列数据'] = scaler.fit_transform(data['A列数据'])[0]
data['归一化后的B列数据'] = scaler.fit_transform(data['B列数据'])[0]
参考文献:
【1】关于数据建模变量标准化
来源:oschina
链接:https://my.oschina.net/u/4257246/blog/3578727