本讲主要介绍了极限与连续的相关计算。
例题二
例2.5 已知I=x→0lim(ln(1+ex1)ln(1+ex2)+a[x])存在,[⋅]为取整函数,求I,a。
解
x→0−lim(ln(1+ex1)ln(1+ex2)+a[x])u=x1x→−∞lim1+eueu1+e2u2e2u=0,x→0−lima[x]=−a,x→0+lim(ln(1+ex1)ln(1+ex2)+a[x])u=x1x→+∞lim1+eueu1+e2u2e2u=x→+∞lim1+e2u2(eu+e2u)=x→+∞lim1+e−2u2(e−u+1)=2,x→0+lima[x]=0.
当且仅当a=−2时,原极限存在,此时I=2。(这道题主要利用了换元法求解)
例2.9 求下列极限。
(3)n→∞lim(n+11+n+21+⋯+n+n1);
解
n→∞lim(n+11+n+21+⋯+n+n1)=n→∞limi=1∑nn+i1.
利用定积分的定义,即
原式=n→∞limi=1∑nn+i1=n→∞limi=1∑n1+ni1⋅n1=∫011+x1dx=ln2.
(这道题主要利用了定积分的定义求解)
(5)n→∞limn!2n.
解 记un=n!2n>0,则所求极限n→∞limn!2n可视为正项级数n=1∑∞un的一般项的极限。因n→∞limunun+1=n→∞limn!2n(n+1)!2n+1=n→∞limn+12=0<1,由正项级数的比值判别法知n=1∑∞n!2n收敛,于是n→∞limn!2n=0。(这道题主要利用了数列极限求解)
例2.10 求f(x)=n→∞limn1+xn+(2x2)n(x⩾0)的表达式。
解 当x∈[0,1)时,1n最大,则
n1⋅1n⩽n1+xn+(2x2)n⩽n3⋅1n即1⩽n1+xn+(2x2)n⩽331.
故当n→∞时,由夹挤定理定理得:原极限=1。
当x∈[1,2)时,xn最大,则
n1⋅xn⩽n1+xn+(2x2)n⩽n3⋅xn即x⩽n1+xn+(2x2)n⩽331⋅x.
故当n→∞时,由夹挤定理定理得:原极限=x。
当x∈[2,+∞)时,(2x2)n最大,则
n1⋅(2x2)n⩽n1+xn+(2x2)n⩽n3⋅(2x2)n即2x2⩽n1+xn+(2x2)n⩽331⋅2x2.
故当n→∞时,由夹挤定理定理得:原极限=2x2。
所以
f(x)=n→∞limn1+xn+(2x2)n=⎩⎪⎪⎨⎪⎪⎧1,x,2x2,0⩽x<1,1⩽x<2,x⩾2.
(这道题主要利用了夹挤定理求解)
例2.11 设x1=2,xn+(xn−4)xn−1=3(n=2,3,⋯),试求n→∞limxn。
解 先证单调性。由xn+(xn−4)xn−1=3,得xn=1+xn−13+4xn−1,又x1=2,所以x2=311>x1>0,假设xk>xk−1>0成立,则
xk+1−xk=1+xk3+4xk−1+xk−13+4xk−1=(1+xk)(1+xk−1)xk−xk−1>0.
故xk+1>xk,即数列{xn}单调增加。
再证明其有界。又xn=1+xn−13+4xn−1=3+1+xn−1xn−1<4,所以{xn}有上界。
故n→∞limxn存在。设n→∞limxn=A,令n→∞,由xn=1+xn−13+4xn−1,得A=1+A3+4A,解得A=23±21,由题设,xn>0,根据保号性可知A⩾0,故n→∞limxn=23+21。(这道题主要利用了归纳法求解)
例2.13 求极限x→0limx100e−x21。
解
x→0limx100e−x21令x21=tt→+∞limt−50e−t=t→+∞lime−tt50洛必达法则t→+∞limet50t49洛必达法则t→+∞limet50⋅49t48洛必达法则⋯=t→+∞limet50!=0.
(这道题主要利用了换元法求解)
例2.15 求极限x→−∞limx2+sinx4x2+x−1+x+1。
解
x→−∞limx2+sinx4x2+x−1+x+1=x→−∞limx2+sinx(4x2+x−1−x−1)3x2−x−2令t=−xt→+∞limt2−sint(4t2−t−1+t−1)3t2+t−2=t→+∞lim1−t2sint(4−t1−t21+1−t1)3+t1−t22=1.
(这道题主要利用了换元法求解)
例2.24 求x→0lim[ln(1+x2)1−sin2x1]。
解
x→0lim[ln(1+x2)1−sin2x1]=x→0limln(1+x2)⋅sin2xsin2x−ln(1+x2)=x→0limx4sin2x−ln(1+x2)=x→0limx4[x−3!1x3+ο(x3)]2−[x2−21x4+ο(x4)]=x→0limx4[x2−3!2x4+ο(x4)]2−[x2−21x4+ο(x4)]=x→0limx461x4+ο(x4)=61.
(这道题主要利用了泰勒展开式求解)
习题二
2.4 设函数f(x)=n→∞lim1+x2n1+x,讨论函数的间断点,其结论为( )
(A)不存在间断点
(B)存在间断点x=1
(C)存在间断点x=0
(D)存在间断点x=−1
解 当∣x∣<1时,n→∞limx2n=0,所以f(x)=1+x;当∣x∣>1时,n→∞lim1+x2n1+x=0。又f(1)=0,f(−1)=0,所以
f(x)=n→∞lim1+x2n1+x=⎩⎪⎪⎪⎨⎪⎪⎪⎧0,1+x,1,0,x⩽1−1<x<1x=1x>1
由此可知x=1为间断点,故应选(B)。 (这道题主要利用了分段函数求解)
新版例题一
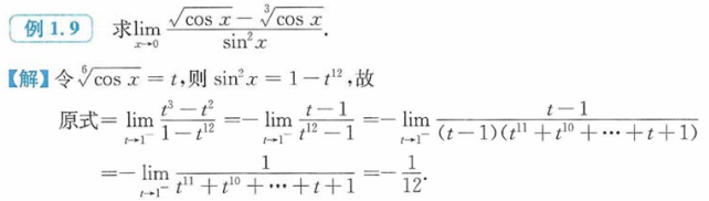
例1.9

(这道题主要利用了换元法求解)
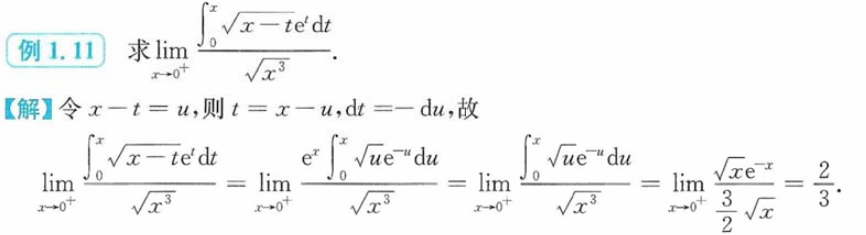
例1.11

(这道题主要利用了换元法求解)
例1.17

例1.25


新版习题一
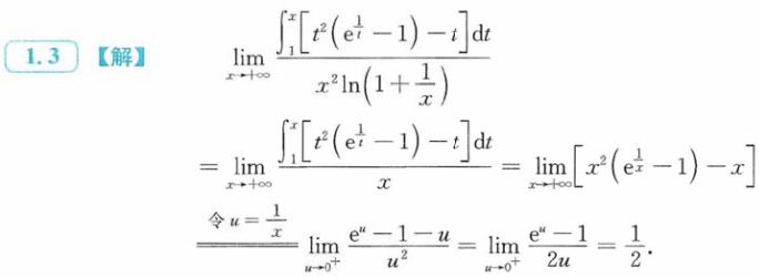
1.3


新版例题二
例2.1

例2.7


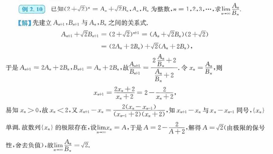
例2.10

新版习题二
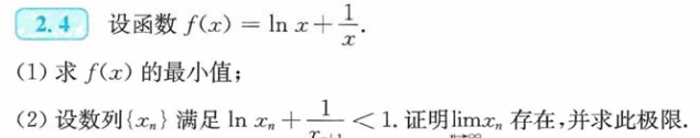
2.4


写在最后
如果觉得文章不错就点个赞吧。另外,如果有不同的观点,欢迎留言或私信。
欢迎非商业转载,转载请注明出处。