1 SIFT描述子
1.1SIFT描述子简介
SIFT,即尺度不变特征变换(Scale-invariant feature transform,SIFT),是用于图像处理领域的一种描述。这种描述具有尺度不变性,可在图像中检测出关键点,是一种局部特征描述子。
1.2 SIFT算法实现步骤简述
SIFT算法实现特征匹配主要有三个流程,1、提取关键点;2、对关键点附加 详细的信息(局部特征),即描述符;3、通过特征点(附带上特征向量的关 键点)的两两比较找出相互匹配的若干对特征点,建立景物间的对应关系。
2 关键点检测的相关概念
2.1 哪些点是SIFT中要查找的关键点(特征点)
这些点是一些十分突出的点不会因光照、尺度、旋转等因素的改变而消 失,比如角点、边缘点、暗区域的亮点以及亮区域的暗点。既然两幅图像中 有相同的景物,那么使用某种方法分别提取各自的稳定点,这些点之间会有 相互对应的匹配点
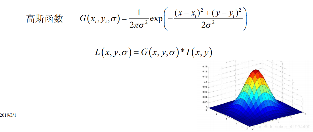
2.2 什么是尺度空间
关键点检测的相关概念 尺度空间中各尺度图像的 模糊程度逐渐变大,能够模拟 人在距离目标由近到远时目标 在视网膜上的形成过程。 尺度越大图像越模糊。
根据文献《Scale-space theory: A basic tool for analysing structures at different scales》可知,高斯核是唯一可以产生 多尺度空间的核,一个 图像的尺度空间,L(x, y, σ) ,定义为原始图像 I(x, y)与一个可变尺度的2 维高斯函数G(x, y, σ) 卷积运算。
2.3高斯金子塔
高斯金子塔的构建过程可分为两步:
(1)对图像做高斯平滑;
(2)对图像做降采样。
为了让尺度体现其连续性,在简单
下采样的基础上加上了高斯滤波。
一幅图像可以产生几组(octave)
图像,一组图像包括几层
(interval)图像。
2.4关键点检测——DOG
DoG(Difference of Gaussian)函数
DOG局部极值检测
特征点是由DOG空间的局部极值点组成的。为了寻找DoG函数的极值点, 每一个像素点要和它所有的相邻点比较,看其是否比它的图像域和尺度域 的相邻点大或者小
2.5关键点匹配
关键点的匹配可以采用穷举法来完成,但是这样耗费的时间太多,一 般都采用kd树的数据结构来完成搜索。搜索的内容是以目标图像的关 键点为基准,搜索与目标图像的特征点最邻近的原图像特征点和次邻 近的原图像特征点。Kd树是一个平衡二叉树
2.6代码实现
2.6.1关键点检测

2.6.2 描述子匹配



2.6实现数据集中查找匹配数高的图片
2.8实验结果分析
由实验结果可看出,SIFT点的特点为
1.视角和旋转变化不变性
2.光照不变性
3.尺度不变性
但是在实验过程中发现对模糊的图像和边缘平滑的图像,检测出的特征点过少,对圆更是无能为力
来源:CSDN
作者:Ayakooooooo
链接:https://blog.csdn.net/bymar/article/details/104739210