Adaboost:
以2分类为例,其最终分类器模型为:

即最终模型是由基本分类模型线性组合得到的,a 表示 G 在最终分类器中的重要性,所以 a > 0。
其损失函数为,正确分类时为 (0,1) 取值,误分类为 (1,+∞)
Adaboost将样本损失也看作样本权重**,令:
样本权重与上一轮的模型有关,初始时置为1:
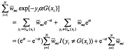
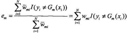
总误差为:
将总误差变形为:
这个式子由于 w 可通过上轮模型算出,因此看作常量,进行归一化后对 a 求导:
即为 Gm 对应的权重 am。
将 am 代入原式化简后,原式变为:
所以应使得 Gm 对应的 em 尽可能小。
对于 w 的更新,有:
Adaboost实质为使用前向分步算法处理加法模型,每一步优化当前这个基本分类器,是一个近似优化。
详见《统计学习方法》8.3、8.1、8.2。
提升树模型:
来源:CSDN
作者:厉害了我的汤
链接:https://blog.csdn.net/YD_2016/article/details/104711488