本文目的
最近在研究LSH方法,主要发现用pyspark实现的较少,故结合黑马头条推荐系统实践的视频进行了本地实现。
本项目完整源码地址:
https://github.com/angeliababy/text_LSH
项目博客地址:
https://blog.csdn.net/qq_29153321/article/details/104680282
算法
本章主要介绍如何使用文章关键词获取文章相似性。主要用到了Word2Vec+Tfidf+LSH算法。
1.使用Word2Vec训练出文章的词向量。
2.Tfidf获取文章关键词及权重。
3.使用关键词权重乘以其词向量平均值作为训练集。
4.使用LSH求取两两文章相似性。
对于海量的数据,通过两两文章向量的欧式距离求取与当前文章最相似的文章,显然不太现实,故采取LSH进行相似性检索。
LSH即局部敏感哈希,主要用来解决海量数据的相似性检索。由spark的官方文档翻译为:LSH的一般思想是使用一系列函数将数据点哈希到桶中,使得彼此接近的数据点在相同的桶中具有高概率,而数据点是远离彼此很可能在不同的桶中。spark中LSH支持欧式距离与Jaccard距离。在此欧式距离使用较广泛。
实践
部分原始数据:
news_data:
一、获取分词数据
主要处理一个频道下的数据,便于进行文章相似性计算
# 中文分词
def segmentation(partition):
import os
import re
import jieba
import jieba.analyse
import jieba.posseg as pseg
import codecs
# abspath = "words"
# # 结巴加载用户词典
# userDict_path = os.path.join(abspath, "ITKeywords.txt")
# jieba.load_userdict(userDict_path)
#
# # 停用词文本
# stopwords_path = os.path.join(abspath, "stopwords.txt")
# def get_stopwords_list():
# """返回stopwords列表"""
# stopwords_list = [i.strip() for i in codecs.open(stopwords_path).readlines()]
# return stopwords_list
# # 所有的停用词列表
# stopwords_list = get_stopwords_list()
# 分词
def cut_sentence(sentence):
"""对切割之后的词语进行过滤,去除停用词,保留名词,英文和自定义词库中的词,长度大于2的词"""
seg_list = pseg.lcut(sentence)
# seg_list = [i for i in seg_list if i.flag not in stopwords_list]
filtered_words_list = []
for seg in seg_list:
if len(seg.word) <= 1:
continue
elif seg.flag == "eng":
if len(seg.word) <= 2:
continue
else:
filtered_words_list.append(seg.word)
elif seg.flag.startswith("n"):
filtered_words_list.append(seg.word)
elif seg.flag in ["x", "eng"]: # 是自定一个词语或者是英文单词
filtered_words_list.append(seg.word)
return filtered_words_list
for row in partition:
if row[1] == '4':
sentence = re.sub("<.*?>", "", row[4]) # 替换掉标签数据
words = cut_sentence(sentence)
yield row[0], row[1], words
# 一、获取分词数据
# 数据:article_id,channel_id,channel_name,title,content,sentence
article_data = spark.sparkContext.textFile(r'news_data')
article_data = article_data.map(lambda line: line.split('\x01'))
print("原始数据", article_data.take(10))
words_df = article_data.mapPartitions(segmentation).toDF(['article_id', 'channel_id', 'words'])
print("分词数据", words_df.take(10))
数据格式:article_id,channel_id,channel_name,title,content,sentence
也可按实际情况正则去掉英文。
二、word2vec训练分词数据
# 二、word2vec训练分词数据
from pyspark.ml.feature import Word2Vec
w2v_model = Word2Vec(vectorSize=100, inputCol='words', outputCol='vector', minCount=3)
model = w2v_model.fit(words_df)
model.write().overwrite().save("models/word2vec_model/python.word2vec")
from pyspark.ml.feature import Word2VecModel
w2v_model = Word2VecModel.load("models/word2vec_model/python.word2vec")
vectors = w2v_model.getVectors()
vectors.show()
得到频道下所有词的词向量
三、关键词获取
1.关键词机器权重和词向量
# tdidf
# 词频,即tf
from pyspark.ml.feature import CountVectorizer
# vocabSize是总词汇的大小,minDF是文本中出现的最少次数
cv = CountVectorizer(inputCol="words", outputCol="countFeatures", vocabSize=200 * 10000, minDF=1.0)
# 训练词频统计模型
cv_model = cv.fit(words_df)
cv_model.write().overwrite().save("models/CV.model")
from pyspark.ml.feature import CountVectorizerModel
cv_model = CountVectorizerModel.load("models/CV.model")
# 得出词频向量结果
cv_result = cv_model.transform(words_df)
# idf
from pyspark.ml.feature import IDF
idf = IDF(inputCol="countFeatures", outputCol="idfFeatures")
idf_model = idf.fit(cv_result)
idf_model.write().overwrite().save("models/IDF.model")
# tf-idf
from pyspark.ml.feature import IDFModel
idf_model = IDFModel.load("models/IDF.model")
tfidf_result = idf_model.transform(cv_result)
# 选取前20个作为关键词,此处仅为词索引
def sort_by_tfidf(partition):
TOPK = 20
for row in partition:
# 找到索引与IDF值并进行排序
_dict = list(zip(row.idfFeatures.indices, row.idfFeatures.values))
_dict = sorted(_dict, key=lambda x: x[1], reverse=True)
result = _dict[:TOPK]
for word_index, tfidf in result:
yield row.article_id, row.channel_id, int(word_index), round(float(tfidf), 4)
keywords_by_tfidf = tfidf_result.rdd.mapPartitions(sort_by_tfidf).toDF(["article_id", "channel_id", "index", "weights"])
# 构建关键词与索引
keywords_list_with_idf = list(zip(cv_model.vocabulary, idf_model.idf.toArray()))
def append_index(data):
for index in range(len(data)):
data[index] = list(data[index]) # 将元组转为list
data[index].append(index) # 加入索引
data[index][1] = float(data[index][1])
append_index(keywords_list_with_idf)
sc = spark.sparkContext
rdd = sc.parallelize(keywords_list_with_idf) # 创建rdd
idf_keywords = rdd.toDF(["keywords", "idf", "index"])
# 求出文章关键词及权重tfidf
keywords_result = keywords_by_tfidf.join(idf_keywords, idf_keywords.index == keywords_by_tfidf.index).select(
["article_id", "channel_id", "keywords", "weights"])
print("关键词权重", keywords_result.take(10))
# 文章关键词与词向量join
keywords_vector = keywords_result.join(vectors, vectors.word == keywords_result.keywords, 'inner')
得到文章关键词的权重如下,并与上步join得到其词向量
2.关键词权重乘以词向量
def compute_vector(row):
return row.article_id, row.channel_id, row.keywords, row.weights * row.vector
article_keyword_vectors = keywords_vector.rdd.map(compute_vector).toDF(["article_id", "channel_id", "keywords", "weightingVector"])
# 利用 collect_set() 方法,将一篇文章内所有关键词的词向量合并为一个列表
article_keyword_vectors.registerTempTable('temptable')
article_keyword_vectors = spark.sql("select article_id, min(channel_id) channel_id, collect_set(weightingVector) vectors from temptable group by article_id")
3.计算权重向量平均值
def compute_avg_vectors(row):
x = 0
for i in row.vectors:
x += i
# 求平均值
return row.article_id, row.channel_id, x / len(row.vectors)
article_vector = article_keyword_vectors.rdd.map(compute_avg_vectors).toDF(['article_id', 'channel_id', 'articlevector'])
print("文章最终vector",article_vector.take(10))
将文章关键词权重与词向量加权平均后得到训练数据(此处为什么不用全量的词,而用关键词可以思考下)
四、LSH相似性
# LSH
from pyspark.ml.feature import BucketedRandomProjectionLSH, MinHashLSH
train = article_vector.select(['article_id', 'articlevector'])
# 1.BucketedRandomProjectionLSH
brp = BucketedRandomProjectionLSH(inputCol='articlevector', outputCol='hashes', numHashTables=4.0, bucketLength=10.0)
model = brp.fit(train)
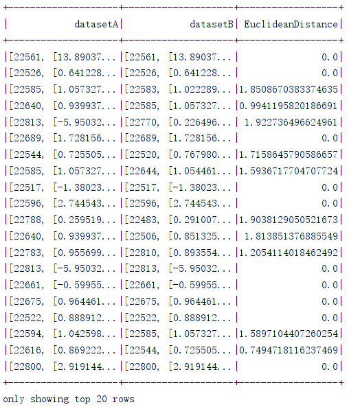
similar = model.approxSimilarityJoin(train, train, 2.0, distCol='EuclideanDistance')
similar.show()
# 2.MinHashLSH
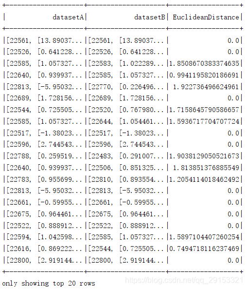
brp = MinHashLSH(inputCol='articlevector', outputCol='hashes', numHashTables=4.0)
model = brp.fit(train)
# 获取所有相似对
similar = model.approxSimilarityJoin(train, train, 2.0, distCol='EuclideanDistance')
similar.show()
# 获取key指定个数的最近邻
# similar = model.approxNearestNeighbors(train, key, 2)
BucketedRandomProjectionLSH结果
MinHashLSH结果
一般来讲第一种LSH在此处更适合。
来源:CSDN
作者:卓玛cug
链接:https://blog.csdn.net/qq_29153321/article/details/104680282