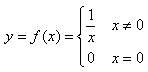
本题目要求计算下列分段函数f(x)的值:
公式
输入格式:
输入在一行中给出实数x。
输出格式:
在一行中按“f(x) = result”的格式输出,其中x与result都保留一位小数。
输入样例1:
10
输出样例1:
f(10.0) = 0.1
输入样例2:
0
输出样例2:
f(0.0) = 0.0
#include<stdio.h>
int main()
{
double x;
double fx;
scanf("%lf",&x);
if(x)
fx = 1.0 / x;
else
fx = 0;
printf("f(%.1f) = %.1f",x,fx);
return 0;
}
来源:CSDN
作者:Armorsilly
链接:https://blog.csdn.net/qq_35891520/article/details/104535107