二叉树的定义:
二叉树T一个有穷的节点集合,这个集合可以为空,若不为空,则它由根节点和一个称为左子树TL 和 右子树TR的两个完全不相交的二叉树组成。
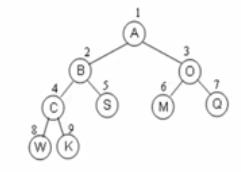
二叉树的顺序存储分析:
完全二叉树:
若设二叉树的深度为h,除第h层外,其他各层(1~h-1)的节点数都达到最大个数,第h层所有节点都连续集中在最左边,这就是完全二叉树
满二叉树:
除最后一层无任何子节点外,每一层上的所有结点都有两个子结点。满二叉树一定是完全二叉树,不同的是最后一层的所有节点都有两个字节点。
对于一个完全二叉树如何用顺序存储实现呢?
我们可以对完全二叉树进行从上到下,从左到右编号,然后以编号为下标将节点的值依次放入一个数组中,这时候下标之间的规律们可以反映二叉树的层次关系(比如根据双亲节点的下标,找到其左孩子和右孩子的下标):

N个节点的完全二叉树的节点父子关系:
(1)非根节点,序号(i >1)父节点的序号为i/2;
(2)节点的序号为i,左孩子的序号为2 * i;
(3)节点的序号为i,右孩子的序号为2 * i + 1;
而对于非完全二叉树也可以用顺序存储的方法实现,空出来的节点序号为0;但是这样会浪费大量的存储空间;
二叉树的链式存储及实现:
#define Elemtype char
#define Btree_Node STDataType
typedef struct Btree_Node{//二叉树节点的结构
Elemtype data;
Btree_Node* L_child;
Btree_Node* R_child;
}Btree_Node;
typedef struct StackNode{//栈节点的结构
STDataType* value;
struct StackNode *next;
}StackNode;
typedef struct QueueNode{//队列节点的结构
STDataType* value;
struct QueueNode* next;
}QueueNode;
typedef struct Queue{//队列的结构
QueueNode* front;//队头
QueueNode* rear;//队尾
}Queue;
//*******************栈的基本操作********************//
StackNode* StackInit();
void StackPush(StackNode**,STDataType*);
void StackPop(StackNode**);
STDataType* StackTop(StackNode* stack);
bool is_StackEmpty(StackNode* stack);
//*******************队列的基本操作****************//
Queue* QueueInit();// 创建队列
void QueuePush(Queue* q, STDataType* data);// 队尾入队列
void QueuePop(Queue* q);// 队头出队列
STDataType* QueueFront(Queue* q);// 获取队列头部元素
STDataType* Queuerear(Queue* q);// 获取队列队尾元素
bool is_QueueEmpty(Queue* q);// 检测队列是否为空
void QueueDestroy(Queue* q);// 销毁队列
//*******************二叉树的基本操作****************//
//创建一个完全二叉树
Btree_Node* Creat_BinTree();
//判断二叉树是否为空
bool is_empty_BinTree(Btree_Node*);
//生成一个节点
Btree_Node* Buy_New_Node(Elemtype data);
//销毁整个二叉树
void Free_tree(Btree_Node*);
//增加数据项到二叉树,即插入新的子树
void Insert_ChildTree(Btree_Node* ,Btree_Node* ,int n);
//n=1删除左子树,n=2删除右子树
void Delete_ChildTree(Btree_Node* ,int n);
//先序遍历的递归实现
void Pre_Order_BinTree(Btree_Node* ptr);
//中序遍历的递归实现
void Mid_Order_BinTree(Btree_Node* ptr);
//后序遍历的递归实现
void Post_Order_BinTree(Btree_Node* ptr);
//先序遍历的非递归实现
void NPre_Order_BinTree(Btree_Node* ptr);
//中序遍历的非递归实现
void NMid_Order_BinTree(Btree_Node* ptr);
//后序遍历的非递归实现
void NPost_Order_BinTree(Btree_Node* ptr);
/*******************层序遍历实现********/
void Level_Order_BinTree(Btree_Node* Ptr);
//*******************栈的基本操作********************//
StackNode* StackInit(){//栈的初始化
StackNode* stack = NULL;
return stack;
}
void StackPush(StackNode** stack,STDataType* data){
assert(stack);
StackNode* ptr = (StackNode*)malloc(sizeof(StackNode));
ptr ->value = data;
ptr ->next = *stack;
*stack = ptr;
}
void StackPop(StackNode** stack){
if(is_StackEmpty(*stack)){
printf("栈空\n");
}else{
StackNode* ptr = (*stack);
(*stack) = ptr ->next;
free(ptr);
}
}
STDataType* StackTop(StackNode* stack){
assert(!is_StackEmpty(stack));
return stack ->value;
}
bool is_StackEmpty(StackNode* stack){
if(stack == NULL){
return true;
}else{
return false;
}
}
//*******************队列的基本操作****************//
Queue* QueueInit(){// 创建队列
Queue* q = (Queue*)malloc(sizeof(Queue));
q ->front = q ->rear =NULL;
return q;
}
void QueuePush(Queue* q, STDataType* value){// 队尾入队列
assert(q);//队列不存在
QueueNode* ptr = (QueueNode*)malloc(sizeof(QueueNode));
ptr ->value = value;
ptr ->next = NULL;
if(is_QueueEmpty(q)){//队列为空
q ->front = q ->rear = ptr;
}else{
q ->rear ->next = ptr;
q ->rear = ptr;
}
}
void QueuePop(Queue* q){// 队头出队列
if(is_QueueEmpty(q)){
printf("队列空");
}else{
QueueNode* ptr = q ->front;
q ->front =q ->front ->next;
if(q ->front == NULL){
q ->rear = q ->front;
}
free(ptr);
}
}
STDataType* QueueFront(Queue* q){// 获取队列头部元素
assert(q);
if(is_QueueEmpty(q)){
printf("队列空\n");
}else{
return q ->front ->value;
}
}
STDataType* Queuerear(Queue* q){// 获取队列队尾元素
assert(q);
if(is_QueueEmpty(q)){
printf("队列空\n");
}else{
return (q ->rear)->value;
}
}
bool is_QueueEmpty(Queue* q){// 检测队列是否为空
assert(q);
if(q ->front == NULL){
return true;
}else{
return false;
}
}
void QueueDestroy(Queue* q){// 销毁队列
assert(q);
while(!is_QueueEmpty(q)){
QueuePop(q);
}
free(q);
}
//*******************二叉树的基本操作********************//
Btree_Node* Creat_BinTree(){//创建一个完全二叉树
Elemtype *a = (Elemtype*)malloc(sizeof(Elemtype) * 50);//字符数组
scanf("%s",a);
int leng = strlen(a);
//为了之后能够删除单个节点,所以节点空间需要一个个申请,那么就需要一个数组record记录各节点的地址
Btree_Node** record = (Btree_Node**)malloc(sizeof(Btree_Node*) * leng);
for(int i = 0; i < leng;i++ ){
Btree_Node* ptr = (Btree_Node*)malloc(sizeof(Btree_Node));
record[i] = ptr;
ptr ->data = a[i];
ptr ->L_child = ptr ->R_child = NULL;
}
for(int i = 0; i < leng;i++){
if(2*i+1 < leng){//有左孩子
record[i] ->L_child = record[2 * i + 1];
}
if(2*i + 2 < leng){//有右孩子
record[i] ->R_child = record[2 * i + 2];
}
}
if(leng == 0){
return NULL;
}else{
return record[0];
}
}
bool is_empty_BinTree(Btree_Node* ptr){//判断二叉树是否为空
if(ptr == NULL){
return true;
}else{
return false;
}
}
Btree_Node* Buy_New_Node(Elemtype data){//生成一个节点
Btree_Node* ptr = (Btree_Node*)malloc(sizeof(Btree_Node));
ptr ->data = data;
ptr ->L_child = NULL;
ptr ->R_child = NULL;
return ptr;
}
void Free_tree(Btree_Node* ptr){//销毁整个二叉树
//后续遍历销毁整个二叉树
if(ptr){
Free_tree(ptr ->L_child);
Free_tree(ptr ->R_child);
free(ptr);
}
//注意形成的野指针;
}
//增加数据项到二叉树,即插入新的子树
void Insert_ChildTree(Btree_Node* ptr,Btree_Node* insert,int n){
if(ptr){
if(ptr ->L_child == NULL && n == 1 ){
ptr ->L_child = insert;
}else if(ptr ->R_child == NULL && n == 2){
ptr ->R_child = insert;
}else if(ptr ->L_child != NULL && n == 1 ){
printf("左孩子不为空\n");
}else if(ptr ->R_child != NULL && n == 2){
printf("右孩子不为空\n");
}
}
}
//n=1删除左子树,n=2删除右子树
void Delete_ChildTree(Btree_Node* ptr,int n){
if(ptr == NULL){
printf("树为空\n");
}else{
if(n == 1){
Free_tree(ptr ->L_child);
ptr ->L_child =NULL;//防止野指针的形成
}else if(n == 2){
Free_tree(ptr ->R_child);
ptr ->R_child = NULL;//防止野指针的形成
}
}
}
//先序遍历的递归实现
void Pre_Order_BinTree(Btree_Node* ptr){
if(ptr){
printf("%c ",ptr ->data);
Pre_Order_BinTree(ptr ->L_child);
Pre_Order_BinTree(ptr ->R_child);
}
}
//中序遍历的递归实现
void Mid_Order_BinTree(Btree_Node* ptr){
if(ptr){
Mid_Order_BinTree(ptr ->L_child);
printf("%c ",ptr ->data);
Mid_Order_BinTree(ptr ->R_child);
}
}
//后序遍历的递归实现
void Post_Order_BinTree(Btree_Node* ptr){
if(ptr){
Post_Order_BinTree(ptr ->L_child);
Post_Order_BinTree(ptr ->R_child);
printf("%c ",ptr ->data);
}
}
//先序遍历的非递归实现
void NPre_Order_BinTree(Btree_Node* ptr){
Btree_Node* ptr1 = ptr;//用于迭代的变量
StackNode* stack = StackInit();//创建一个栈
while(1){
if(ptr1){//当前节点不为空
printf("%c ",ptr1 ->data);
if(ptr1 ->R_child){//右孩子存在
StackPush(&stack,ptr1 ->R_child);//右孩子入栈
}
ptr1 = ptr1 ->L_child;
}else{
if(is_StackEmpty(stack)){//当ptr1为空 栈也为空时遍历结束。 跳出循环
break;
}else{
ptr1 = StackTop(stack);
StackPop(&stack);
}
}
}
}
//中序遍历的非递归实现
void NMid_Order_BinTree(Btree_Node* ptr){
Btree_Node* ptr1 = ptr;//用于迭代的变量
StackNode* stack = StackInit();//创建一个栈
while(1){
if(ptr1){//当前节点不为空
StackPush(&stack,ptr1);
ptr1 = ptr1 ->L_child;
}else{
if(is_StackEmpty(stack)){//当ptr1为空 栈也为空时遍历结束。 跳出循环
break;
}else{
ptr1 = StackTop(stack);
StackPop(&stack);
printf("%c ",ptr1 ->data);
ptr1 = ptr1 ->R_child;
}
}
}
}
//后序遍历的非递归实现
void NPost_Order_BinTree(Btree_Node* ptr){
StackNode* stack = StackInit();//创建一个栈
Btree_Node* before_ptr = NULL;
while(1){
if((ptr ->L_child == before_ptr && ptr ->R_child == NULL) ||
(ptr ->R_child == before_ptr && before_ptr != NULL) ||
( ptr ->L_child == ptr ->R_child && ptr ->L_child == NULL)){
//遍历自己的几种情况:
//(1)左右孩子为空既(ptr->L_child==ptr->R_child && ptr->L_child==NULL)
//(2)左右孩子都不为空,并且左右孩子都已经遍历 既(ptr ->R_child == before_ptr && before_ptr != NULL)
//(3)左孩子为空右孩子不为空,且右孩子已经遍历 既(与2相同)
//(4)左孩子不为空右孩子为空,且左孩子已经遍历 既((ptr ->L_child == before_ptr && ptr ->R_child == NULL))
printf("%c ",ptr ->data);
before_ptr = ptr;
if(is_StackEmpty(stack)){//截止条件
break;
}else{
ptr = StackTop(stack);
StackPop(&stack);
}
}else{//左右孩子至少有一个存在且没有遍历
StackPush(&stack,ptr);//自己入栈
if(ptr ->L_child){//左孩存在
if(ptr ->R_child){//右孩子存在
StackPush(&stack,ptr ->R_child);//右孩子入栈
}
ptr = ptr ->L_child;
}else{
ptr = ptr ->R_child;
}
}
}
}
void Level_Order_BinTree(Btree_Node* ptr){//层次遍历的实现
Queue* Qptr = QueueInit();//建立一个空队列
if(ptr){
QueuePush(Qptr,ptr);
while(!is_QueueEmpty(Qptr)){
ptr = QueueFront(Qptr);
QueuePop(Qptr);
printf("%c ",ptr ->data);
if(ptr ->L_child){
QueuePush(Qptr,ptr ->L_child);
}
if(ptr ->R_child){
QueuePush(Qptr,ptr ->R_child);
}
}
}
QueueDestroy(Qptr);
}
来源:CSDN
作者:weixin_42263122
链接:https://blog.csdn.net/weixin_42263122/article/details/104344125