注意力机制概念
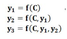
在之前学习encoder-decoder模型时,我们了解了模型的原理是,输入source(要翻译的语句),由encoder先将句子编码成隐藏的语义编码C,再输入进decoder中。但是我们看到目标句子Target中每个单词的生成过程如下:
f是decoder的非线性变化函数。从这里可以看出,在生成目标句子的单词时,不论生成哪个单词,它们使用的输入句子Source的语义编码C都是一样的,没有任何区别。而语义编码C是由句子Source的每个单词经过Encoder 编码产生的,这意味着不论是生成哪个单词,y1,y2还是y3,其实句子Source中任意单词对生成某个目标单词yi来说影响力都是相同的,这是为何说这个模型没有体现出注意力的缘由。这类似于人类看到眼前的画面,但是眼中却没有注意焦点一样。
如果拿机器翻译来解释这个分心模型的Encoder-Decoder框架更好理解,比如输入的是英文句子:Tom chase Jerry,Encoder-Decoder框架逐步生成中文单词:“汤姆”,“追逐”,“杰瑞”。 在翻译“杰瑞”这个中文单词的时候,分心模型里面的每个英文单词对于翻译目标单词“杰瑞”贡献是相同的,很明显这里不太合理,显然“Jerry”对于翻译成“杰瑞”更重要,但是分心模型是无法体现这一点的,这就是为何说它没有引入注意力的原因。
上面的例子中,如果引入Attention模型的话,应该在翻译“杰瑞”的时候,体现出英文单词对于翻译当前中文单词不同的影响程度,比如给出类似下面一个概率分布值: (Tom,0.3)(Chase,0.2) (Jerry,0.5)
目标句子中的每个单词都应该学会其对应的源语句子中单词的注意力分配概率信息。这意味着在生成每个单词yi的时候,原先都是相同的中间语义表示C会被替换成根据当前生成单词而不断变化的Ci。增加了注意力模型的Encoder-Decoder框架理解起来如图3所示:
即生成目标句子单词的过程成了下面的形式:
Ci的形成过程
而上面的每个Ci可能对应着不同的源语句子单词的注意力分配概率分布,比如对于上面的英汉翻译来说,其对应的信息可能如下:
其中,f2函数代表Encoder对输入英文单词的某种变换函数,比如如果Encoder是用的RNN模型的话,这个f2函数的结果往往是某个时刻输入xi后隐层节点的状态值;g代表Encoder根据单词的中间表示合成整个句子中间语义表示的变换函数。用图像表示的话,生成Ci的过程可以这样表示:
如何得到Source中的概率分布
这里还有一个问题:生成目标句子某个单词,比如“汤姆”的时候,如何知道Attention模型所需要的输入句子单词注意力分配概率分布值呢?就是说“汤姆”对应的输入句子Source中各个单词的概率分布:(Tom,0.6)(Chase,0.2) (Jerry,0.2) 是如何得到的呢? 下面是采用RNN的一个seq2seq模型:
注意力分布的形成过程可以理解为这样得到:
对于采用RNN的Decoder来说,在时刻i,如果要生成yi单词,我们是可以知道Target在生成Yi之前的时刻i-1时,隐层节点i-1时刻的输出值Hi-1的,而我们的目的是要计算生成Yi时输入句子中的单词“Tom”、“Chase”、“Jerry”对Yi来说的注意力分配概率分布,那么可以用Target输出句子i-1时刻的隐层节点状态Hi-1去一一和输入句子Source中每个单词对应的RNN隐层节点状态hj进行对比,即通过函数F(hj,Hi-1)来获得目标单词yi和每个输入单词对应的对齐可能性,这个F函数在不同论文里可能会采取不同的方法,然后函数F的输出经过Softmax进行归一化就得到了符合概率分布取值区间的注意力分配概率分布数值。
总的来说,注意力机制就是为了解决模型输出没有对输入进行注意力分配的问题,注意力机制可以运用到很多地方,除了机器翻译,还有机器对话,语音信息处理等方面。它是通过生成输出中每一个节点对所有输入的注意力分布,然后计算语义信息Ci,再利用Ci分别进行预测输出。
点积注意力层

多层感知机注意力

来源:CSDN
作者:Zed
链接:https://blog.csdn.net/weixin_44696221/article/details/104340327