机器学习————SVM支持向量机
支持向量机的损失函数
由逻辑回归的损失函数改进至支持向量机的损失函数





向量内积性质的复习


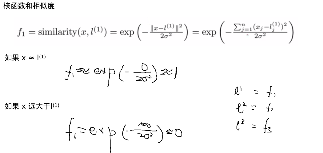
SVM的核函数:用来使SVM能够处理非线性分类

给定了x后,通过计算和l1,l2,l3的相近距离,来确定f1, f2, f3

如何选择标记点呢?
在给出的所有点中,选择每一个点当作标记点
(x(1), y(1)), (x(2), y(2)), (x(3), y(3)), (x(m), y(m))
l(1) = x(1) , l(2) = x(2) , l(3) = x(3) , l(m) = x(m)
f1 = similarity(x, l(1))
f2 = similarity(x, l(2))
…
来源:https://blog.csdn.net/weixin_41460135/article/details/99293657