线性代数的动态观-线性变换(五)

左心房为你撑大大i 提交于 2019-12-07 13:22:44

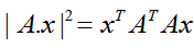
特征值的绝对值代表了拉伸或压缩一个特征向量的程度,即|T.x|/|x|=|t|.|x|/|x|=|t|。也说明了线性变换只有在特征空间处才能取得拉伸或者压缩程度的极值。目前为止都是在讨论方阵的特征值和特征向量,现准备扩充到更一般的情形,即任意的线性变换矩阵。假设矩阵不是方阵,那么线性变换表示的为投影或者升维(这种升维是类似于将二维的平面投射到一个三维空间的平面中,本质上还是一个平面但有了三维的属性),如果要求出变换后对原始向量有最大、次大...的拉伸程度以及对应的向量即求|A.x|的平方的最大、次大...值。

奇异值分解是一种对所有矩阵都适用的分解算法,它本身在不同的应用场景中都有相应的意义,先描述它的计算方法:

1、设矩阵A是个一般矩阵(x行y列)先将原始矩阵转换成(y行y列)这样的形式,该矩阵是一个对称矩阵并且对角线上的值一定非负;

2、对该对称矩阵按照之前所说进行相似对角化,可以得到相应的对角矩阵并且特征向量相互正交;

3、设V1、V2...Vn(向量中值的个数为y)以及R1、R2...Rn是该对称矩阵相应的特征向量和特征值,则,由于一定非负所以特征值Rn也非负;

4、由3可得A的奇异值为即|A.Vn|的大小,并且非零奇异值的个数为A的秩r(一定小于等于x和y中最小值),对应的特征向量相互正交并组成了colA的基(在线性代数及应用中有证明)。将特征向量转换为单位向量为Ur=A.Vr/(向量中值的个数为x),则.Ur=A.Vr,令(y行y列),(x行y列),(x行y列),(x行x列),

则U.==,由于V为单位正交矩阵则

 

 

标签
易学教程内所有资源均来自网络或用户发布的内容,如有违反法律规定的内容欢迎反馈
该文章没有解决你所遇到的问题?点击提问,说说你的问题,让更多的人一起探讨吧!