RF接收路径的匹配流程----以GPS为例
调Matching前,至少准备两块板子。 一块完整PCB,有上全部零件 :

一块裸版,完全都没上零件 :

匹配前注意事项—铜管
可能很多人忽略这点,但其实这才是最重要的,因为你在调匹配过程中, 会量S11(阻抗),跟S21(Loss)。如果铜管这边,该注意的没注意,那么你量到的S11跟S21,都是错的。更直接一点讲,你所有的匹配调试工作,到头来都是无用功。
1. 铜管长度不宜过长
也许有人会问:反正我用Port Extension,我把铜管校掉就好啦!
不对!!Port Extension也不是万能的。如果铜管过长,便无法完全校掉,如下图:

由上图可知,若铜管过长,即便你做完Port Extension,其阻抗并非完美的一点Open,而是会拖一段轨迹,那么当你实际上去量PCB时,你量到的阻抗, 其实是包含了铜管的。也就是说,此时你量到的PCB阻抗,是不准的,是有误差的。你若根据这不准的阻抗去做匹配,那么你调出来的匹配,永远不达不到最佳!
而且,不管是PCB走线,还是铜管,都一样,只要长度一长,其50奥姆就会偏掉,那就会导致Mismatch Loss。换言之,当你实际去量PCB的 Insertion Loss时,因为包含了铜管本身的Mismatch Loss,以至于你量出来的Insertion Loss,会比PCB实际的Insertion Loss还大。
因此时常有人误解,单纯量Insertion Loss,因为不看阻抗,所以不需要校正。
这是不对的观念,你量出来的阻抗错误,会连带使你量出来的Insertion Loss 过大。简单点讲,只要用到铜管量S参数,不管是S11,还是S21,Open/Short/Load校正跟Port Extension就是要做,而且铜管长度不宜过长,最好买专用调试铜管,这点很多手机射频工程师都深有体会。
2. 铜管要弯折后,再做Port Extension。
因为实际上,你在做匹配时,铜管可能会弯折。

如果你还没弯折时,就先做Port Extension,即便此时你的阻抗是完美的一点Open,如下左图;但是当你把铜管弯折后,其阻抗会偏,亦即此时阻抗并非完美的一点Open,如下右图。

如果你一开始就未把铜管给校掉,亦即你量到的PCB阻抗,是不准的,是有误差的。你若根据不准的阻抗去做匹配,你调出来的匹配,永远不会好。
所以应该是,先在裸版上,把铜管弯折到你方便焊接的角度后,再去做Port Extension,直到其阻抗是完美的一点Open,如下图 :

此时才可以开始去做匹配的工作。当然,一旦你作完Port Extension之后, 你这铜管,就不能再弯折。
简单讲,作匹配时,你铜管的长度跟弯折,都必须与作Port Extension时完全一样,否则后面的匹配工作,都是白费工。
3. 接地一定要足够。
有些焊盘在板边,如下图,铜管这样焊其实不对,但很多时候因为没有足够的接地面积,如下左图所示;正确的做法应该如下右图所示 :

所以为啥前面说,实际上在量测PCB参数时,铜管有可能会弯折,原因之一就是,你得确保铜管有足够的接地面积。
4. 铜管接地处要离焊盘越近越好
铜管接地处除了接地要足够,要尽可能大,还有一点,就是接地的位置,要离焊盘越近越好。所以用下图为例,你接地之处,应该是黄圈,而不是红圈,因为黄圈离焊盘较近。

那么有人也许会问,如果我再黄圈处的地,只有一点点,这样就接地不够。红圈处的地很大,但离焊盘很远,那么到底要选哪一个作为接地呢?
正确答案是,你两个都选。
不管怎样,接地之处,一定要极接近焊盘。所以在焊盘附近,先找个可以接地的地方,是当务之急,尽管这个接地面积比较小。所以像黄圈,不管地多小,你就是要焊锡。
但是如果觉得黄圈的地面积不够大的话,那就是再找个可以有足够接地的地方,再作补强,也就是红圈处。
否则,不管是地不够大,或是地离焊盘太远,都会使量出来的Loss过大。
实际操作中,如果遇到讯号附近的接地实在不好焊锡的话,必要时可在铜管外缘,多焊一个Pogo pin,以方便接地。

匹配前注意事项—塑料镊子
当你要焊接前,先用塑料镊子,把零件压在焊盘上方,去观察Smith Chart ,这个方法最开始也是很多手机射频工程师用的,不过后面由于大部分射频物料封装是0201,物料变小了,就不好用“镊子”操作了。

也许有人会问,这看到的阻抗不准吧?
肯定的啊,只是让你先透过这方式,去观察Smith Chart的趋势轨迹,是否如你预期。当然,简单点用Smith 相关阻抗分析工具也是可以大概预知Smith Chart的趋势轨迹的,如下图所示:

如果在你预期之只要预知正确Smith Chart趋势轨迹后,你再去焊接都还不迟。如果在你预期之外,那你就不要浪费时间去焊接了,赶快换值再作观察,方为上策。
那么为啥要塑料镊子?
因为金属会影响阻抗,如果你用金属镊子,假设你夹的是电容,那么你实际上在Smith Chart看到的趋势轨迹,是(金属镊子+电容),而并非只有电容。再次强调,根据不准的资料去做分析,后续所做的分析工作,都是白费劲!
接下来将匹配流程,终于到正题了~~~

匹配流程
整个原理框图,大概如下图:

① Step1,拿有上件的PCB,如果是Switch,就额外供给Vcc跟控制讯号,把Switch开启,Port1接Connector,Port2接Diplexer/Switch输出,调Matching1,调到50奥姆。

调完后,再把这组Matching1,放到裸版,量S21,也就是Insertion Loss。否则如下图,你今天串一个1nH电感,并5pF电容,其Insertion Loss高达3.7dBm,这样的话,不管你阻抗多接近50奥姆,这组Matching都不能用,说白了就是匹配插损大!

大家都知道,因为GPS讯号太微弱,所以对于Loss要非常计较,哪怕是SAW Filter或Diplexer,Loss也不会到3.7dBm,就更不能让一组匹配Loss就高达3.7dBm了!!!而且这是在LNA输入端,亦即你光这组Matching,就会让你的灵敏度,劣化3.7dBm,那你后面不管怎么调CNR跟灵敏度,都不会好。
当然,如果要串联电感,记得要选高Q值的,因为Loss会比较小,另外高Q值电感还有挡带外噪声的功能。

② Step1,拿有上件的PCB,如果是Switch,就额外供给Vcc跟控制讯号,把Switch开启,Port1接Connector,Port2接Pre-SAW输出,调Matching2,调到50奥姆。
当然,还是一样,Matching2调到50奥姆后,要再用裸版验证其Insertion Loss。

也许有人会问,我怕可以调Matching1吗?
答案是最好不要,因为Matching1也会影响到WiFi,所以一旦Matching1调到50奥姆,其Insertion Loss也很小,就确定下来,后面最好就不要再去更动。
③ Step3,拿有上件的PCB,如果是Switch,就额外供给Vcc跟控制讯号,把Switch开启,Port1接Connector,Port2接eLNA输入,调Matching3。

值得注意的是,此时你的Matching3,而是调到Noise Figure最低的阻抗点,可能是非50奥姆。其实很多手机射频工程师其实对于GPS LNA更多的关注CNR值。
那么有人会问,偏离了50奥姆,因为Mismatch Loss,连带Insertion Loss一定会变大,你刚说一组Matching的Loss如果偏大,再怎样都不能用。那我该如何衡量这组 Matching能不能用??
这是个好问题,我们用下图解释:

因为网分是50奥姆系统,所以当你Matching3偏离了50奥姆,量出来的Insertion Loss当然会偏大(Mismatch Loss的贡献),例如1dBm。但是LNA是非50奥姆系统,故此时Matching3对LNA来讲,其Loss就不一定是1dBm,也许会比较小。
但还是要谨记刚所提及的原则,Matching的Loss不宜过大,假设你今天Matching3,用50奥姆系统的网分看,其Loss是5dBm。你觉得有可能,对非50奥姆的LNA来讲,其Loss就缩减为0.3dBm吗??
当然不会啊,针对Matching3,即便50奥姆系统网分量到的Loss,跟非50奥姆系统LNA看到的Loss不同,但Loss越小越好,都是不变的原则。尤其是 (串联电感 + 并联电容)这种组合,更要特别注意。
也许有工程师会问:为啥不是调Matching2?
因为Matching3离LNA最近,所以影响LNA最大。因此,使阻抗座落在LNA之Noise Figure最低之处,这个任务,由Matching3来完成。Matching2只要确保50奥姆,Insertion Loss不要太大,这样就可以了。
我光Matching1到Matching3,就花这么多时间,我后面还有Matching4跟Matching5,这哪调试的完??
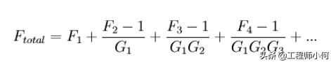
LNA之前,是最关键的,所以基本上而言,Matching1到Matching3作完就差不多了,Matching4跟Matching5,不是那么重要。我们以Noise Figure公式说明,如下式:

由上式可知,LNA输入端的Loss,也就是F1,是最关键的。因此摆放eLNA时,肯定是离GPS天线越近越好,以减小F1,如下图:

因为为了避免干扰,GPS天线会远离主天线,而主天线又会靠近接收机,再加上我们把eLNA,靠近GPS天线。换言之,eLNA到接收机的走线会很长,但由Noise Figure公式得知,eLNA到接收机的走线,其Loss会被eLNA的Gain稀释,故就算走线很长,Insertion Loss很大,其实对于整体灵敏度,并无啥太大影响。
即便Matching4跟Matching5不调,以至于阻抗会有Mismatch Loss,连带使得Insertion Loss变大,但因为已经在eLNA后面,所以对灵敏度不会有啥影响。 如前述,eLNA到接收机,这么长的走线,这么大的Insertion Loss,都没在怕了, 又何须太担心Matching4跟Matching5呢?
所以,坦白讲,Matching4跟Matching5,是锦上添花,好上加好,通常是你想让灵敏度再更好,才去调。如果做完Matching1到Matching3,其灵敏度你可以接受,那当然Matching4跟Matching5就不用调。反之,如果你调完Matching1到Matching3,灵敏度还是很烂,那Matching4跟Matching5,也是救不了你,那就更不用调。
所以,其实到Step3就可以结束,不过若你想进一步提升灵敏度,那当然可以再调Matching4跟Matching5。
④ Step4,拿有上件的PCB,如果是Switch,就额外供给Vcc跟控制讯号,把Switch 开启,eLNA也是额外供给Vcc,使其开启。Port1接Connector,Port2接Post-SAW输出,调Matching4,调到50 奥姆附近。
当然,还是一样 Matching4调到50奥姆后,要再用裸版验证其Insertion Loss。

⑤ Step5,若软件已就绪,其接收机可以开启,拿有上件的PCB,如果是Switch, 就额外供给Vcc跟控制讯号,把Switch开启。eLNA也是额外供给Vcc,使其开启。然后用软件方式让接收机开启,Port1接Connector,调Matching5。

注意~!! 同Matching3一般,此时Matching5,未必是调到50奥姆。这时要跟平台厂商,例如Qualcomm或MTK,索取接收机的Noise Circle,把Matching5调到Noise Figure最低的阻抗点,而非50奥姆。
当然,还是一样,Matching5调完后,要再用裸版验证其Insertion Loss。
也许到这里有人会问,为啥不接Port2?
这牵扯到负载的观念,以一般的50奥姆匹配为例,如下图:

你最终的目的是,从Source端,一路看到负载端,都是50奥姆。要如何达成这目的??
那就是透过Matching,使Source端跟负载端之间,做一个阻抗转换的动作,这便是所谓的阻抗匹配。所以,Matching只是桥梁,你还必须要有Source端跟负载端,网分的Port1,就是Source端,网分的Port2,就是负载端。因此Port1跟Port2都要接,即便你只量S11,因为Source端跟负载端,缺一不可。
但在Step5中,接收机已经是负载端了,既然如此,当然就不需要接Port2。就算你要接,请问你要接到哪??接到基频芯片的输入端吗?
当然不可能啊。
调Matching5的时候吗,接收机一定要开启吗?
答案是肯定的!
因为接收机是负载端。如果你接收机不开启,那等同于你的负载阻抗是无限大,如下图:
最后一个问题,如果你负载阻抗是无限大,表示不管你Matching怎么调,从Source端,一路看到负载端,都是Open,那请问你调Matching的用意何在??
所以接收机,当然要开启!
