和Multi-Task-Learning框架,和迁移学习,扯上关系,高大上了。
一、Motivation
不同于CTR预估问题,CVR预估面临两个关键问题:
- Sample Selection Bias (SSB) 转化是在点击之后才“有可能”发生的动作,传统CVR模型通常以点击数据为训练集,其中点击未转化为负例,点击并转化为正例。但是训练好的模型实际使用时,则是对整个空间的样本进行预估,而非只对点击样本进行预估。即是说,训练数据与实际要预测的数据来自不同分布,这个偏差对模型的泛化能力构成了很大挑战。
- Data Sparsity (DS) 作为CVR训练数据的点击样本远小于CTR预估训练使用的曝光样本。
一些策略可以缓解这两个问题,例如从曝光集中对unclicked样本抽样做负例缓解SSB,对转化样本过采样缓解DS等。但无论哪种方法,都没有很elegant地从实质上解决上面任一个问题。
可以看到:点击—>转化,本身是两个强相关的连续行为,作者希望在模型结构中显示考虑这种“行为链关系”,从而可以在整个空间上进行训练及预测。这涉及到CTR与CVR两个任务,因此使用多任务学习(MTL)是一个自然的选择,论文的关键亮点正在于“如何搭建”这个MTL。
二、Model
先来思考一个问题——“CVR预估到底要预估什么”,论文虽未明确提及,但理解这个问题才能真正理解CVR预估困境的本质。想象一个场景,一个item,由于某些原因,例如在feeds中的展示头图很丑,它被某个user点击的概率很低,但这个item内容本身完美符合这个user的偏好,若user点击进去,那么此item被user转化的概率极高。CVR预估模型,预估的正是这个转化概率,它与CTR没有绝对的关系,很多人有一个先入为主的认知,即若user对某item的点击概率很低,则user对这个item的转化概率也肯定低,这是不成立的。更准确的说,CVR预估模型的本质,不是预测“item被点击,然后被转化”的概率(CTCVR),而是“假设item被点击,那么它被转化”的概率(CVR)。这就是不能直接使用全部样本训练CVR模型的原因,因为咱们压根不知道这个信息:那些unclicked的item,假设他们被user点击了,它们是否会被转化。如果直接使用0作为它们的label,会很大程度上误导CVR模型的学习。
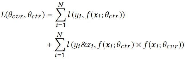
认识到点击(CTR)、转化(CVR)、点击然后转化(CTCVR)是三个不同的任务后,我们再来看三者的关联:

其中 z,y分别表示conversion和click。注意到,在全部样本空间中,CTR对应的label为click,而CTCVR对应的label为click & conversion,这两个任务是可以使用全部样本的。那为啥不绕个弯,通过这学习两个任务,再根据上式隐式地学习CVR任务呢?ESMM正是这么做的,具体结构如下:

1)共享Embedding: CVR-task和CTR-task使用相同的特征和特征embedding,即两者从Concatenate之后才学习各自部分独享的参数;
2)隐式学习pCVR: 这里pCVR(粉色节点)仅是网络中的一个variable,没有显示的监督信号。

训练数据,应该是使用了3.4M的click(对应)和18K的conversion(对应
&
)

是不是也可以通过“除”的关系得到pCVR,即 pCVR = pCTCVR / pCTR ?例如分别训练一个CTCVR和CTR模型,然后相除得到pCVR,其实也是可以的,但这有个明显的缺点:真实场景预测出来的pCTR、pCTCVR值都比较小,“除”的方式容易造成数值上的不稳定。作者在实验中对比了这种方法(DIVISION那组)。
三、Experiment
数据集 目前还没用同时包含点击、转化信息的公开数据集,作者从淘宝日志中抽取整理了一个数据集Product,并开源了从Product中随机抽样1%构造的数据集Public(约38G)。
实验设置
- 对比方法:
- BASE——图1左部所示的CVR结构,训练集为点击集;
- AMAN——从unclicked样本中随机抽样作为负例加入点击集合; (比BASE效果还差)
- OVERSAMPLING——对点击集中的正例(转化样本)过采样; (比BASE效果提升1.2%)
- UNBIAS——使用rejection sampling; (比BASE效果提升0.6%)
- DIVISION——分别训练CTR和CVCTR,相除得到pCVR; (比BASE效果提升1.55%)
- ESMM-NS——ESMM结构中CVR与CTR部分不share embedding。(比BASE效果提升2.25%)
- ESMM (比BASE效果提升2.55%)
- 上述方法/策略都使用NN结构,relu激活函数,嵌入维度为18,MLP结构为360*200*80*2,adam优化器。
- 按时间分割,1/2数据训练,其余测试
衡量指标 在点击样本上,计算CVR任务的AUC;同时,单独训练一个和BASE一样结构的CTR模型,除了ESMM类模型,其他对比方法均以pCTR*pCVR计算pCTCVR,在全部样本上计算CTCVR任务的AUC。
实验结果

四、Discussion
1. ESMM 根据用户行为序列,显示引入CTR和CTCVR作为辅助任务,“迂回” 学习CVR,从而在完整样本空间下进行模型的训练和预测,解决了CVR预估中的2个难题。
2. 可以把 ESMM 看成一个新颖的 MTL 框架,其中子任务的网络结构是可替换的,当中有很大的想象空间。至于这个框架的意义,这里引用论文作者之一@朱小强的描述:
据我所知这个工作在这个领域是最早的一批,但不唯一。今天很多团队都吸收了MTL的思路来进行建模优化,不过大部分都集中在传统的MTL体系,如研究怎么对参数进行共享、多个Loss之间怎么加权或者自动学习、哪些Task可以用来联合学习等等。ESMM模型的特别之处在于我们额外关注了任务的Label域信息,通过展现>点击>购买所构成的行为链,巧妙地构建了multi-target概率连乘通路。传统MTL中多个task大都是隐式地共享信息、任务本身独立建模,ESMM细腻地捕捉了契合领域问题的任务间显式关系,从feature到label全面利用起来。这个角度对互联网行为建模是一个较有效的模式,后续我们还会有进一步工作。
评论里有人argue为什么不直接用"pCTCVR*竞价指标"做排序指导。
来源:https://blog.csdn.net/smartcat2010/article/details/102760887