设A和B是2个字符串。要用最少的字符操作将字符串A转换为字符串B。这里所说的字符操作包括 (1)删除一个字符; (2)插入一个字符; (3)将一个字符改为另一个字符。 将字符串A变换为字符串B所用的最少字符操作数称为字符串A到 B的编辑距离,记为d(A,B)。 对于给定的字符串A和字符串B,计算其编辑距离 d(A,B)。
输入格式:
第一行是字符串A,文件的第二行是字符串B。
提示:字符串长度不超过2000个字符。
输出格式:
输出编辑距离d(A,B)
输入样例:
在这里给出一组输入。例如:
fxpimu xwrs
输出样例:
在这里给出相应的输出。例如:
5
假设序列S和T的长度分别为m和n, 两者的编辑距离表示为dp[m][n]. 则对序列进行操作时存在以下几种情况:
a, 当S和T的末尾字符相等时, 对末尾字符不需要进行上述定义操作中(亦即"编辑")的任何一个, 也就是不需要增加计数. 则满足条件: dp[m][n] = dp[m - 1][n - 1].
b, 当S和T的末尾字符不相等时, 则需要对两者之一的末尾进行编辑, 相应的计数会增加1.
b1, 对S或T的末尾进行修改, 以使之与T或S相等, 则此时dp[m][n] = dp[m - 1][n - 1] + 1;
b2, 删除S末尾的元素, 使S与T相等, 则此时dp[m][n] = dp[m - 1][n] + 1;
b3, 删除T末尾的元素, 使T与S相等, 则此时dp[m][n] = dp[m][n - 1] + 1;
b4, 在S的末尾添加T的尾元素, 使S和T相等, 则此时S的长度变为m+1, 但是此时S和T的末尾元素已经相等, 只需要比较S的前m个元素与T的前n-1个元素, 所以满足dp[m][n] = dp[m][n - 1] + 1;
b5, 在T的末尾添加S的尾元素, 使T和S相等, 此时的情况跟b4相同, 满足dp[m][n] = dp[m - 1][n] + 1;
c, 比较特殊的情况是, 当S为空时, dp[0][n] = n; 而当T为空时, dp[m][0] = m; 这个很好理解, 例如对于序列""和"abc", 则两者的最少操作为3, 即序列""进行3次插入操作, 或者序列"abc"进行3次删除操作.
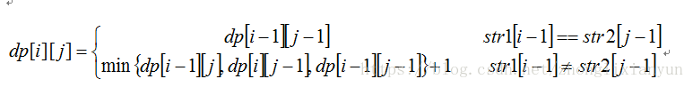
所以, 以上我们不难推出编辑距离的动态规划方程为:

#include<iostream>
using namespace std;
int d[2001][2001];
int main()
{
int n,m,i,j,k;
string a,b;
while(cin>>a>>b)
{
n=a.length();
m=b.length();
for(i=0;i<=n;i++)
d[i][0]=i;
for(j=0;j<=m;j++)
d[0][j]=j;
for(i=1;i<=n;i++)
for(j=1;j<=m;j++)
{
k=min(d[i-1][j]+1,d[i][j-1]+1);
if(a[i-1]!=b[j-1])d[i][j]=min(k,d[i-1][j-1]+1);
else d[i][j]=min(k,d[i-1][j-1]);
}
cout<<d[n][m]<<'\n';
}
return 0;
}