线性表的定义
由 n (n≥0) 个数据元素 (a1, a2, ..., an) 构成的有限序列。记作:L = (a1, a2, ..., an) 。a1——首元素,an——尾元素。
表的长度(表长)——线性表中数据元素的数目。
空表——不含数据元素的线性表(表长为0)。
线性表的特征
对于L = (a1, a2, ...,ai-1, ai ,ai+1, ..., an)
- ai-1 在 ai 之前,称ai-1 是 ai 的直接前驱(1<i≤n);
- ai+1 在 ai 之后,称ai+1 是 ai 的直接后继(1≤i<n);
- a1 没有前驱;
- an 没有后继;
- ai (1<i<n)有且仅有一个直接前驱和一个直接后继。
抽象数据类型线性表的定义
ADT List
{ 数据对象:D = { ai | ai∈ElemSet,i = 1, 2, ..., n, n>=0 }
数据关系:R1 = { <ai-1, ai > | ai-1, ai∈D, i = 1, 2, ..., n }
基本操作:
- InitList (&L) //构造空表L
- ListLength (L) //求表的长度
- GetElem (L, i, &e) //取元素 ai ,由 e 返回 ai
- PriorElem (L, ce, &pre_e) //求 ce 的前驱,由 pre_e 返回
- InsertElem (&L, i, e) //在元素 ai 之前插入新元素 e
- DeleteElem (&L, i) //删除第 i 个元素
- EmptyList (L) //判断是否为空表
......
} ADT List
说明:
- 删除表 L 中第 i 个数据元素 (1<=i<=n),记作:DeleteElem (&L, i);指定序号,删除ai
- 指定元素值 x ,删除表 L 中的值为 x 的元素,记作:DeleteElem (&L, x);若 ai = x,删除ai
- 在元素 ai 之前插入新元素 e (1<=i<=n+1),记作:InsertElem (&L, i, e)
- 查找——确定元素值(或数据项的值)为 e 的元素。若有一个 ai = e,则称“查找成功”(i = 1, 2, ... , n)
- 排序——按元素值或某个数据项值的递增(或递减)次序重新排列表中各元素的位置
- 将表 La 和 Lb 合并为 Lc
- 表 La 复制为表 Lb
线性表的顺序表示
顺序分配: (a1, a2, ..., an) 顺序存储结构的一般形式

b 表示表的首/基地址
p 表示1个数据元素所占存储单元的数目
例1:分别定义元素所占空间、表长、尾元素的位置
#define maxleng 100
{
ElemType la[maxleng+1];
int length; //当前长度
int last; //an的位置
}
静态分配
例2:元素所占空间和表长合并为C语言的一个结构类型:
#define maxleng 100
typedef struct
{
ElemType elem[maxleng];
int length; //表长
} Sqlist;
Sqlist La;
其中:typedef——别名定义,Sqlist——结构类型名,La——结构类型变量名,La.length——表长,La.elem[0]——a1,La[La.length-1]——an
动态分配
#define LIST_INIT_SIZE 100
#define LISTINCREMENT 100
typedef struct
{
ElemType *elem; //存储空间基地址
int length;
int listsize; //当前分配的存储容量 以 sizeof(ElemType)为单位
} Sqlist;
Sqlist Lb;
寻址公式
假设:线性表的首地址为 b,每个数据元素占 p 个存储单元,则表中任意元素 (1<=i<=n)的存储地址是:LOC(i) = LOC(1) + (i - 1) * p = b + (i - 1) * p,(1<=i<=n)
顺序表的插入算法
在线性表L = (a1, a2, ...,ai-1, ai ,ai+1, ..., an)中的第 i 个元素前插入元素 x
移动元素下标范围:i - 1 ~ n - 1 或 i - 1 ~ L.length - 1
算法1:静态分配线性表空间,用指针指向被操作的线性表
Status Insert(Sqlist *L, int i, ElemType e)
{
if(i<1||i>L.length+1)
return ERROR; //i值不合法
if(L.length>=maxleng)
return OVERLOW; //溢出
for(j=L.length-1;j>=i-1;j--)
L.elem[j+1]=L.elem[j]; //向后移动元素
L.elem[i-1]=e; //插入新元素
L.length++; // 长度变量增1
return OK;
}
基本思想:
- 判断插入的位置是否合理;
- 判断表长是否达到分配空间的最大值;
- 从线性表中的最后一个元素到插入位置的所有元素,依次往后移动一个元素的位置,这样给待插入的元素留出了一个空位置;
- 把新增元素插入到这个空位置,表长增加1,返回。
算法2:动态分配线性表空间,用引用参数表示被操作的线性表
int Insert(Sqlist &L, int i, ElemType e)
{
int j;
if(i<1||i>L.length+1)
return ERROR; //i的合法取值为1至n+1
if(L.length>=L.listsize) //溢出时扩充
{
ElemType *newbase;
newbase=(ElemType *)realloc(L.elem, L.listsize+LISTINCREMENT*sizeof(ElemType));
if(newbase==NULL)
return OVERFLOW;
L.elem=newbase;
L.length+=LISTINCREMENT;
}
//向后移动元素,空出第i个元素的分量elem[i-1]
for(j=L.length-1;j>=i-1;j--)
L.elem[j+1]=L.elem[j];
L.elem[i-1]=e; //新元素插入
L.length++; //线性表长度加1
return OK;
}
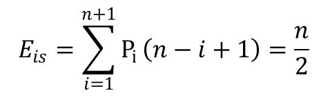
插入操作移动元素次数的分析
在 (a1, a2, ...,ai-1, ai ,ai+1, ..., an) 中 ai 之前插入新元素 e (1<=i<=n)
| 当插入点为 | 1 | 2 | ... | i | ... | n | n+1 |
| 需移动元素个数 | n | n-1 | ... | n-i+1 | ... | 1 | 0 |
假定 Pi 是在各位置插入元素的概率,且 P1 = P2 = ... = Pn = Pn+1 = 1/(n+1)
则插入一个元素时移动元素的平均值是:

顺序表的删除算法
int delete(Sqlist *L, int i)
{
if(i<1||L->length)
{
printf("not exits");
return ERROR;
}
else
for(j=i;j<=L->length-1;j++)
L->elem[j-1]=L->elem[j];
L->length--;
return OK;
}
基本思想:
- 判断删除元素的下标是否存在;
- 用一个for循环来移动元素,移动元素下标范围为 i 到 length-1。
- 修改表长为原表长减1。
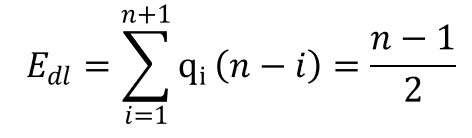
删除操作及移动元素次数的分析
| 被删除元素位置 | i=1 | 2 | ... | i | ... | n |
| 需要移动元素个数 | n-1 | n-2 | ... | n-i | ... | 0 |
假定 qi 是在各位置插入元素的概率,且 q1 = q2 = ... = qn = qn+1 = 1/n
则删除一个元素时移动的平均值是:

顺序结构的优缺点
优点
- 是一种随机存储结构,存取任何元素的时间是一个常数,速度快;
- 结构简单,逻辑上相邻元素在物理上也是相邻的;
- 不需要使用指针,节省存储空间。
缺点
- 插入和删除元素要移动大量元素,消耗大量时间;
- 需要一块连续的存储空间;
- 插入元素可能发生溢出;
- 自由区中的存储空间不能被其他数据占用(共享),存在浪费空间的问题。