数论倒数,又称逆元
取模
对于取模,有一下一些性质:

但是唯独除法是不满足的:
![]()
为什么除法错的呢?很好证明:

而对于一些题目,我们必须在中间过程中进行求余,否则数字太大,电脑存不下,那如果这个算式中出现除法,我们就需要逆元了。
逆元
定义:

我们知道,如果a*x = 1,那么x是a的倒数,x = 1/a
而在数论问题中,大部分情况都有取模,所以问题就变成了:
![]()
那么x就不一定等于1/a了
所以这时候,我们就把x理解为在模p空间下,a的倒数,满足:

现在就要在回到刚才的问题了,除以一个数等于乘上这个数的倒数,在除法取余的情况下,就是乘上这个数的逆元,即:
![]()
这样就把除法,完全转换为乘法了。
逆元的求解
对于逆元的求解,如果n较小的话,是容易算出来的,例如,求3在模26下的逆元:
但是当n非常大的时候,就需要引入一个算法来计算
(1)扩展欧几里得算法(extend_gcd)
![]()
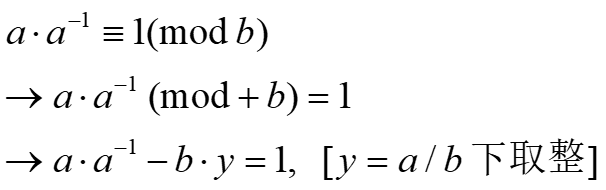
对于逆元的表达式可以做一些变换:

当gcd(a,n)=1时,代入extend_gcd(a,b,x,y),得到的非负的x值,就是a对模n的逆元。
算法实现与证明

也就是说,我们得到了一个和gcd算法中,gcd(m,n)=gcd(n,m%n)相似的恒等式
![]()
什么意思呢?举个例子,就是

如果想要x为正值

只再做一步:
if (x < 0) {
x += b; y -= a;
}
扩展:

完整算法:
int extend_gcd(int a, int b, int& x, int& y) {
if (b == 0) {
x = 1, y = 0;
return a;
}
int q = extend_gcd(b, a % b, x, y);
int temp = x;
x = y;
y = temp - a / b * y;
return q;
}
(2)费马小定理
如果p是一个质数,并且gcd(a,p)=1
![]()
两边同除以 a
![]()
所以
![]()
用快速幂求一下,复杂度O(logn)
