1、常见的集成学习框架
bagging,boosting、stacking
(1)bagging
从训练集进行子抽样组成每个基模型所需要的子训练集,对所有基模型预测的结果进行综合产生最终的预测结果。
(2)boosting
训练过程为阶梯状,基模型按次序一一进行训练(实现上可以做到并行),基模型的训练集按照某种策略每次都进行一定的转化。对所有基模型预测的结果进行线性综合产生最终的预测结果。
(3)stacking
将训练好的所有基模型对训练基进行预测,第j个基模型对第i个训练样本的预测值将作为新的训练集中第i个样本的第j个特征值,最后基于新的训练集进行训练。同理,预测的过程也要先经过所有基模型的预测形成新的测试集,最后再对测试集进行预测。
2、偏差和方差
偏差(bias)描述的是预测值和真实值之间的差异,方差(variance)描述的是预测值作为随机变量的离散程度。
(1)方差越大的模型越容易过拟合。
(2)集成学习框架中的基模型是弱模型,通常来说弱模型是偏差高(在训练集上准确度低)方差小(防止过拟合能力强)的模型。但是并不是所有集成学习框架中的基模型都是弱模型。bagging和stacking中的基模型为强模型(偏差低方差高),boosting中的基模型为弱模型。
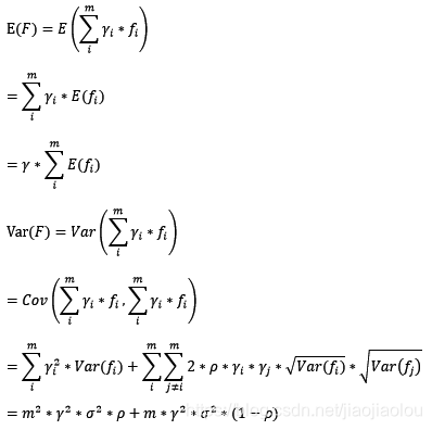
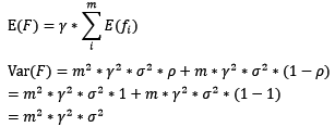
在bagging和boosting框架中,通过计算基模型的期望和方差,我们可以得到模型整体的期望和方差。为了简化模型,我们假设基模型的权重、方差及两两间的相关系数相等。由于bagging和boosting的基模型都是线性组成的,那么有:
3、bagging的偏差和方差
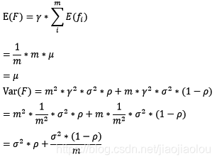
对于bagging来说,每个基模型的权重等于1/m且期望近似相等(子训练集都是从原训练集中进行子抽样),故可以化简得到:
根据上式,整体模型的期望近似于基模型的期望,这也就是整体模型的偏差和基模型的偏差近似。同时,整体模型的方差小于等于基模型的方差(当相关性为1时取等号),随着基模型数(m)的增多,整体模型的方差减少,从而防止过拟合的能力增强,模型的准确度得到提高。但是,模型的准确度一定会无限逼近于1吗?并不一定,当基模型数增加到一定程度时,方差公式第二项的改变对整体方差的作用很小,防止过拟合的能力达到极限,这便是准确度的极限了。另外,在此我们还知道了为什么bagging中的基模型一定要为强模型,否则就会导致整体模型的偏差度低,即准确度低。
Random Forest是典型的基于bagging框架的模型,其在bagging的基础上,进一步降低了模型的方差。Random Fores中基模型是树模型,在树的内部节点分裂过程中,不再是将所有特征,而是随机抽样一部分特征纳入分裂的候选项。这样一来,基模型之间的相关性降低,从而在方差公式中,第一项显著减少,第二项稍微增加,整体方差仍是减少。
对于bagging来说,整体模型的偏差和基模型近似,随着训练的进行,整体模型的方差降低。
4、boosting的偏差和方差
对于boosting来说,基模型的训练集抽样是强相关的,那么模型的相关系数近似等于1,故可以针对boosting化简公式为:
若基模型不是弱模型,其方差相对较大,这将导致整体模型的方差很大,即无法达到防止过拟合的效果。因此,boosting框架中的基模型必须为弱模型。
因为基模型为弱模型,导致了每个基模型的准确度都不是很高(因为其在训练集上的准确度不高)。随着基模型数的增多,整体模型的期望值增加,更接近真实值,因此,整体模型的准确度提高。但是准确度一定会无限逼近于1吗?仍然并不一定,因为训练过程中准确度的提高的主要功臣是整体模型在训练集上的准确度提高,而随着训练的进行,整体模型的方差变大,导致防止过拟合的能力变弱,最终导致了准确度反而有所下降。
基于boosting框架的Gradient Tree Boosting模型中基模型也为树模型,同Random Forest,我们也可以对特征进行随机抽样来使基模型间的相关性降低,从而达到减少方差的效果。
对于boosting来说,整体模型的初始偏差较高,方差较低,随着训练的进行,整体模型的偏差降低(虽然也不幸地伴随着方差增高),当训练过度时,因方差增高,整体模型的准确度反而降低。
5、Random Forest和Gradient Tree Boosting调参详解
(1)调参的目标:偏差和方差的协调
参数可分为两类:过程影响类及子模型影响类。在子模型不变的前提下,某些参数可以通过改变训练的过程,从而影响模型的性能,诸如:“子模型数”(n_estimators)、“学习率”(learning_rate)等。另外,我们还可以通过改变子模型性能来影响整体模型的性能,诸如:“最大树深度”(max_depth)、“分裂条件”(criterion)等。正由于bagging的训练过程旨在降低方差,而boosting的训练过程旨在降低偏差,过程影响类的参数能够引起整体模型性能的大幅度变化。一般来说,在此前提下,我们继续微调子模型影响类的参数,从而进一步提高模型的性能。
(2)参数对整体模型性能的影响
①对Random Forest来说,增加“子模型数”(n_estimators)可以明显降低整体模型的方差,且不会对子模型的偏差和方差有任何影响。模型的准确度会随着“子模型数”的增加而提高。由于减少的是整体模型方差公式的第二项,故准确度的提高有一个上限。在不同的场景下,“分裂条件”(criterion)对模型的准确度的影响也不一样,该参数需要在实际运用时灵活调整。调整“最大叶节数”(max_leaf_nodes)以及“最大树深度”(max_depth)之一,可以粗粒度地调整树的结构:叶节点越多或者树越深,意味着子模型的偏差越低,方差越高;同时,调整“分裂所需最小样本数”(min_samples_split)、“叶节点最小样本数”(min_samples_leaf)及“叶节点最小权重总值”(min_weight_fraction_leaf),可以更细粒度地调整树的结构:分裂所需样本数越少或者叶节点所需样本越少,也意味着子模型越复杂。我们总采用bootstrap对样本进行子采样来降低子模型之间的关联度,从而降低整体模型的方差。适当地减少“分裂时考虑的最大特征数”(max_features),给子模型注入了另外的随机性,同样也达到了降低子模型之间关联度的效果。但是一味地降低该参数也是不行的,因为分裂时可选特征变少,模型的偏差会越来越大。
②对Gradient Tree Boosting来说,“子模型数”(n_estimators)和“学习率”(learning_rate)需要联合调整才能尽可能地提高模型的准确度:想象一下,A方案是走4步,每步走3米,B方案是走5步,每步走2米,哪个方案可以更接近10米远的终点?同理,子模型越复杂,对应整体模型偏差低,方差高,故“最大叶节点数”(max_leaf_nodes)、“最大树深度”(max_depth)等控制子模型结构的参数是与Random Forest一致的。类似“分裂时考虑的最大特征数”(max_features),降低“子采样率”(subsample),也会造成子模型间的关联度降低,整体模型的方差减小,但是当子采样率低到一定程度时,子模型的偏差增大,将引起整体模型的准确度降低。还记得“初始模型”(init)是什么吗?不同的损失函数有不一样的初始模型定义,通常,初始模型是一个更加弱的模型(以“平均”情况来预测),虽说支持自定义,大多数情况下保持默认即可。在下图中,我们可以看到这些参数对Gradient Tree Boosting整体模型性能的影响:
(3)Random Forest调参
借助sklearn.grid_search库中的GridSearchCV类,不仅可以自动化调参,同时还可以对每一种参数组合进行交叉验证计算平均准确度。
① 调整过程影响类参数
首先,我们需要对过程影响类参数进行调整,而Random Forest的过程影响类参数只有“子模型数”(n_estimators)。“子模型数”的默认值为10,在此基础上,我们以10为单位,考察取值范围在1至201的调参情况
②调整子模型影响类参数
在设定“子模型数”(n_estimators)为200的前提下,我们依次对子模型影响类的参数对整体模型性能的影响力进行分析。
1)对“分裂条件”(criterion)分别取值gini和entropy。
2)对“分裂时参与判断的最大特征数”(max_feature)以1为单位,设定取值范围为28至47,得到调参结果。
3)对“最大深度”(max_depth)以10为单位,设定取值范围为10到100,得到调参结果。
4)对“分裂所需的最小样本数”(min_samples_split)以1为单位,设定取值范围为2到11,得到调参的结果。
5)对“叶节点最小样本数”(min_samples_leaf)以1为单位,设定取值范围为1到10,得到调参结果。
6)对“最大叶节点数”(max_leaf_nodes)以100为单位,设定取值范围为2500到3400,得到调参结果。
(4)Gradient Tree Boosting调参
①调整过程影响类参数
GradientBoostingClassifier的过程影响类参数有“子模型数”(n_estimators)和“学习率”(learning_rate),我们可以使用GridSearchCV找到关于这两个参数的最优解。
②调整子模型影响类参数
对子模型影响类参数的调整与Random Forest类似
6、局部最优解
Gradient Tree Boosting调参方法,其核心思想在于:对过程影响类参数进行调整,毕竟它们对整体模型性能的影响最大,然后依据经验,在其他参数中选择对整体模型性能影响最大的参数,进行下一步调参。
“最大叶节点数”(max_leaf_nodes)和“最大树深度”(max_depth)对整体模型性能的影响大于“分裂所需最小样本数”(min_samples_split)、“叶节点最小样本数”(min_samples_leaf)及“叶节点最小权重总值”(min_weight_fraction_leaf),而“分裂时考虑的最大特征数”(max_features)的影响力最小。
参考:
http://www.cnblogs.com/jasonfreak/p/5720137.html
https://www.cnblogs.com/jasonfreak/p/5657196.html
来源:CSDN
作者:jiaojiaolou
链接:https://blog.csdn.net/jiaojiaolou/article/details/88863498