| 问题 | 答案 |
|---|---|
| 这个作业属于那个课程 | C语言程序设计II |
| 这个作业要求在哪里 | https://edu.cnblogs.com/campus/zswxy/CST2019-3/homework/8718 |
| 我在这个课程的目标是 | 熟练掌握C语言知识及其它专业性知识 |
| 这个作业在那个具体方面帮助我实现目标 | 完成PTA作业 |
| 参考文献 | C语言程序设计、markdown语法 |
一、PTA实验作业
1,计算存款利息
计算公式为interest=money×(1+rate)
year
−money,其中interest为存款到期时的利息(税前),money是存款金额,year是存期,rate是年利率。
实验代码截图

- 数据处理
scanf()函数输入多个数据时,输入参数的类型、个数和位置要和格式控制说明一一对应。%.2f指定输出时保留两位小数。 - PTA提交列表及说明

- double型数据使用格式控制说明是%lf
- 不同的类型数据采用不同的格式控制字符
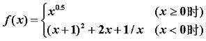
2,计算分段函数
计算下列分段函数f(x)的值:
实验代码截图

- 数据处理
使用到了数学函数sqre(),由题要求不可以使用幂函数pow(x,n)来求x的0.5次方。还采用到了if-else语句。 - PTA提交列表及说明

- 输出格式时空格处理不当
3,阶梯电价
为了提倡居民节约用电,某省电力公司执行“阶梯电价”,安装一户一表的居民用户电价分为两个“阶梯”:月用电量50千瓦时(含50千瓦时)以内的,电价为0.53元/千瓦时;超过50千瓦时的,超出部分的用电量,电价上调0.05元/千瓦时。请编写程序计算电费。
实验代码截图

- 数据处理
使用if-else语句来执行,要注意printf()函数存在的位置,注意x的取值,当x<0时是没有电费输出的。 - PTA提交列表及说明

- C语言中字母的大小写是有区分的
- void表示main()函数不需要参数
- 调用数学函数要用#include<math.h>,要注意各种常用的数学函数
- C语言中所有的语句都必须用分号结尾,且是英文符号
- scanf()函数中不可有输入提示,要用printf()函数输入
二、阅读代码

格式简单明了,使用了if-else语句和格式化输入函数scanf(),还有我们即将要学到的while语句,注意代码的格式要严谨,其中整洁的牌面是值得学习的。
三、学习总结
3,学习总结
- 学习进度条
| 问题 | 答案 |
|---|---|
| 周/日期 | 第七周 |
| 这周所花时间 | 6个小时 |
| 代码行 | 110 |
| 学到的知识点及简介 | if-else语句 格式化输入函数scanf() |
| 目前比较困惑的问题 | 使用scanf()的返回值 格式空格 |
2.累计代码行和博客字数

3.学习感悟
- 对于C语言的学习除了在课堂上要认真的听讲以外,我们还需要花很多的时间去自己学习,去自己探索。
- Markdown语法还需要花很多精力去学习,另外还要掌握office和WPS的应用。
- 要自己主动的去寻找解题方法,不能一昧的去追求正确的答案,要学会自己思考,自己去克服困难。
- 要讲究提问的智慧
- 作业要及时完成,不能拖延。作业真的越来越难了。






