1 基本概念
1.1 不等式约束(原问题)
1.2 广义拉格朗日函数
2 KKT条件(原问题和对偶问题等价的充分必要条件)
2.1 KKT
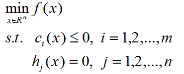
我们要解决的问题是求有不等式约束函数的最优解
上面为推广式,简化版本为
对应的拉格朗日函数式为:
函数取得可行解的必要条件是梯度为0(所有偏导数为0),则得到KKT条件的第一个
................................................................................ (1) 
如图,可行解x只能在
区域内取得, - 当原目标函数的可行解x落在
的区域内,此时约束条件不起作用,取
直接极小化
即可; - 当原目标函数的可行解落在
,即边界上,此时等价于等式约束优化问题;
合并上面两种情况,
为0,我们得到KKT条件的第二个
............................................................................................... (2) 
如上图的右图,当原目标函数的不在
取得时,这时约束条件是有效的,也就是
和目标函数
的梯度平行即可(不需要方向一样);但是在不等式约束中,可行域是一个区域,当区域边界与等值线相切时,与目标函数负梯度平行的出了切点处的梯度外,边界另一边点的梯度也与目标函数负梯度平行(方向相反),如图 
可行域是一个圆,左边指示的非可行解,右边指示的是可行解。用公式表示:
又
==>
这样我们得到KKT条件的第三个
............................................................................................... (3) 和原始约束条件一起则有
推广式为:
来源:https://blog.csdn.net/idwtwt/article/details/101052238
的区域内,此时约束条件不起作用,取
直接极小化
即可;
,即边界上,此时等价于等式约束优化问题;