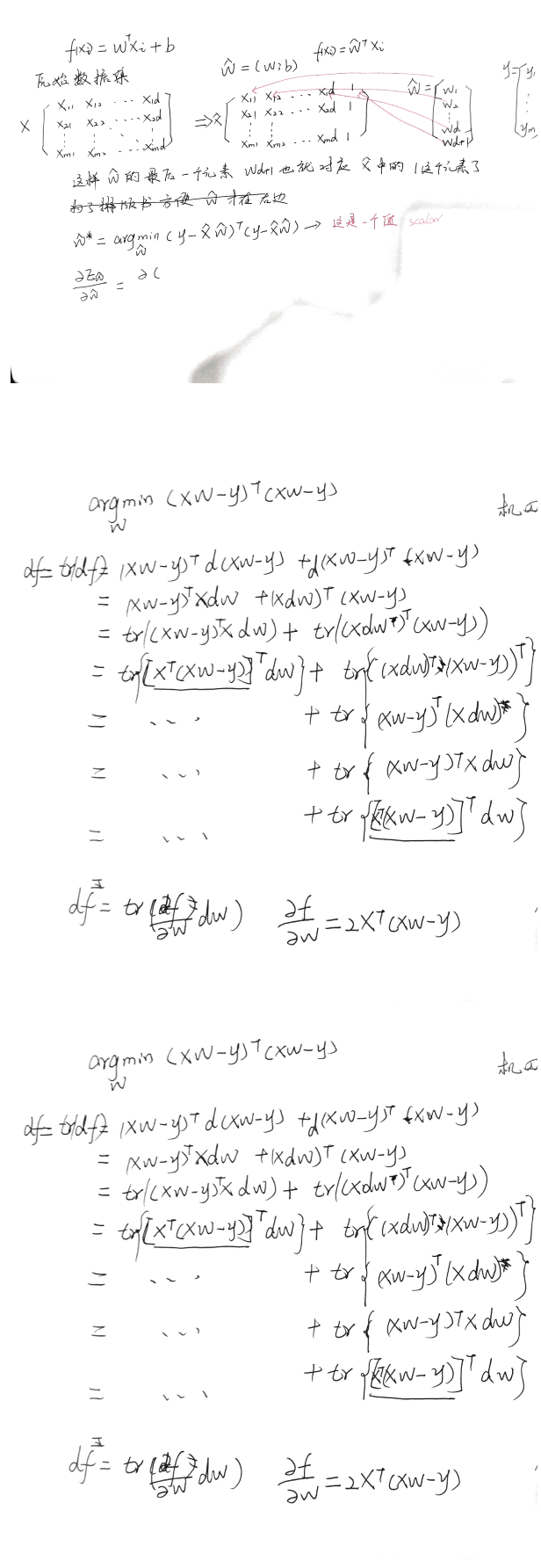
来源:https://www.cnblogs.com/yunshangyue71/p/11534510.html
https://www.cnblogs.com/yunshangyue71/p/11534510.html
易学教程内所有资源均来自网络或用户发布的内容,如有违反法律规定的内容欢迎反馈!该文章没有解决你所遇到的问题?点击提问,说说你的问题,让更多的人一起探讨吧!