世界坐标系,相机坐标系,图像坐标系,图像像素坐标系这四个坐标系的转换实质就是刚体变换、透视投影和数字化图像这几个成像里的步骤。

一、世界坐标系到相机坐标系
世界坐标系,也称为测量坐标系,它是一个三维直角坐标系(xw,yw,zw)。在世界坐标系中可以描述相机和待测物体的空间位置。世界坐标系的位置根据实际情况自行确定。
相机坐标系也是一个三维直角坐标系(xc,yc,zc)。相机坐标系的原点是镜头的光心,x、y轴分别与相面的两边平行,z轴为镜头的光轴,与像平面垂直。
世界坐标系到相机坐标系的变换是刚体变换,也就是只改变物体的空间位置(平移)和朝向(旋转),而不改变物体的形状。用旋转矩阵R和平移向量t可以表示这种变换。
在齐次坐标下,旋转矩阵R是正交矩阵,可通过Rodrigues变换转换为只有三个独立变量的旋转向量。因此刚体变换用6个参数就可以表示(3个旋转向量,3个平移向量),这6个参数就是相机的外参。相机外参决定了空间点从世界坐标系到相机坐标系的变换。

齐次坐标下可表示为

二、相机坐标系到图像坐标系
从相机坐标系到图像坐标系,属于透视投影关系,从3D转换到2D。
图像坐标系也叫平面坐标系,用物理单位表示像素的位置,单位是mm。坐标原点为摄像机光轴与图像坐标系的交点位置。

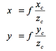
根据相似三角原理

在齐次坐标下表示为

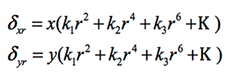
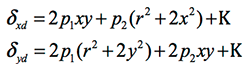
这一步完成了相机坐标系到理想的图像坐标系的转换,因为我们默认各个坐标系的变换是线性的。但实际上由于相机镜头中的镜片因为光线的通过产生不规则的折射,总是存在镜头畸变的。畸变的引入使得成像模型中的几何变换关系变为非线性。

畸变的类型很多,但通常只考虑径向畸变和切向畸变。
径向畸变的形成原因是镜头制造工艺不完美,包括枕形畸变和桶形畸变。

切向畸变有薄透镜畸变和离心畸变等,薄透镜畸变则是因为透镜存在一定的细微倾斜造成的;离心畸变的形成原因是镜头是由多个透镜组合而成的,而各个透镜的光轴不在同一条中心线上。

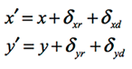
引入畸变之后,理想的图像坐标系到真实的图像坐标系的变换为

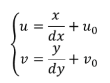
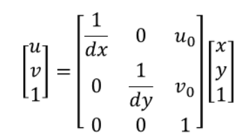
三、图像坐标系到像素坐标系
像素坐标系以像素为单位,坐标原点在左上角。

图像坐标系到像素坐标系没有旋转,只是坐标原点不一样和单位不一样。

齐次坐标下表示为

把四个转换综合起来就是

来源:CSDN
作者:heiheiya
链接:https://blog.csdn.net/heiheiya/article/details/96151958