交叉熵

妖精的绣舞 提交于 2019-11-29 12:32:50

参考:

http://www.cnblogs.com/fantasy01/p/4581803.html?utm_source=tuicool

http://blog.csdn.net/xbmatrix/article/details/58248347

https://www.zhihu.com/question/41252833/answer/141598211

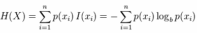
1、信息

引用香农的话,信息是用来消除随机不确定性的东西,则某个类(xi)的信息定义如下:

                          

2、信息熵

信息熵便是信息的期望值,可以记作:

                          

熵只依赖X的分布,和X的取值没有关系,熵是用来度量不确定性,当熵越大,概率说X=xi的不确定性越大,反之越小,在机器学期中分类中说,熵越大即这个类别的不确定性更大,反之越小,当随机变量的取值为两个时,熵随概率的变化曲线如下图:

                    

当p=0或p=1时,H(p)=0,随机变量完全没有不确定性,当p=0.5时,H(p)=1,此时随机变量的不确定性最大

更特别一点,如果是个二分类系统,那么此系统的熵为: 


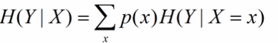
3. 条件熵

X给定条件下Y的条件分布的熵对X的数学期望,在机器学习中为选定某个特征后的熵,公式如下:

                

一个特征对应着多个类别Y,因此在此的多个分类即为X的取值x。

4. 信息增益

信息增益在决策树算法中是用来选择特征的指标,信息增益越大,则这个特征的选择性越好,在概率中定义为:待分类的集合的熵和选定某个特征的条件熵之差(这里只的是经验熵或经验条件熵,由于真正的熵并不知道,是根据样本计算出来的),公式如下:

                

5. 信息增益比

信息增益的一个大问题就是偏向选择特征值比较多的属性从而导致overfitting,那么我们能想到的解决办法自然就是对分支过多的情况进行惩罚(penalty)了。于是我们有了信息增益比:

特征的熵: 


特征的信息增益 : 

那么信息增益比为: 

6. Gini系数

Gini系数是一种与信息熵类似的做特征选择的方式,可以用来数据的不纯度。在CART(Classification and Regression Tree)算法中利用基尼指数构造二叉决策树(选择基尼系数最小的特征及其对应的特征值)。 
Gini系数的计算方式如下: 


其中,D表示数据集全体样本,表示每种类别出现的概率。取个极端情况,如果数据集中所有的样本都为同一类,那么有,,显然此时数据的不纯度最低。 


7. 交叉熵、相对熵

相对熵也可称为交叉熵

交叉熵可以用来衡量真实与预测分布的相似性

 

 

 

易学教程内所有资源均来自网络或用户发布的内容,如有违反法律规定的内容欢迎反馈
该文章没有解决你所遇到的问题?点击提问,说说你的问题,让更多的人一起探讨吧!