优化算法通常只考虑最小化目标函数。其实,任何最大化问题都可以很容易地转化为最小化问题,只需令目标函数的相反数为新的目标函数即可。
由于优化算法的目标函数通常是一个基于训练数据集的损失函数,优化的目标在于降低训练误差。而深度学习的目标在于降低泛化误差。为了降低泛化误差,除了使用优化算法降低训练误差以外,还需要注意应对过拟合。
深度学习中绝大多数目标函数都很复杂。因此,很多优化问题并不存在解析解,而需要使用基于数值方法的优化算法找到近似解,即数值解。本书中讨论的优化算法都是这类基于数值方法的算法。为了求得最小化目标函数的数值解,我们将通过优化算法有限次迭代模型参数来尽可能降低损失函数的值。
两个挑战,即局部最小值和鞍点。


梯度下降和随机梯度下降
def train_2d(trainer): # 本函数将保存在d2lzh包中方便以后使用
x1, x2, s1, s2 = -5, -2, 0, 0 # s1和s2是自变量状态,本章后续几节会使用
results = [(x1, x2)]
for i in range(20):
x1, x2, s1, s2 = trainer(x1, x2, s1, s2)
results.append((x1, x2))
print('epoch %d, x1 %f, x2 %f' % (i + 1, x1, x2))
return results
def show_trace_2d(f, results): # 本函数将保存在d2lzh包中方便以后使用
d2l.plt.plot(*zip(*results), '-o', color='#ff7f0e')
x1, x2 = np.meshgrid(np.arange(-5.5, 1.0, 0.1), np.arange(-3.0, 1.0, 0.1))
d2l.plt.contour(x1, x2, f(x1, x2), colors='#1f77b4')
d2l.plt.xlabel('x1')
d2l.plt.ylabel('x2')
eta = 0.1
def f_2d(x1, x2): # 目标函数
return x1 ** 2 + 2 * x2 ** 2
def gd_2d(x1, x2, s1, s2):
return (x1 - eta * 2 * x1, x2 - eta * 4 * x2, 0, 0)
show_trace_2d(f_2d, train_2d(gd_2d))

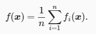
在深度学习中,目标函数通常是训练数据集中有关各个样本的损失函数的平均。

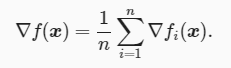
目标函数在x处的梯度计算为

如果使用梯度下降,每次自变量迭代的计算开销为O(n),它随n线性增长。因此,当训练集很大时,梯度下降每次迭代的计算开销很高。
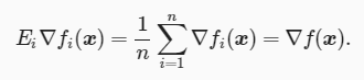
随机梯度下降(stochastic gradient descent, SGD)减少了每次迭代的计算开销。在SGD的每次迭代中, 我们随机均匀采样的一个样本索引,并计算梯度来迭代x:
![]()
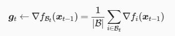
这样每次迭代的计算开销从梯度下降的O(n)降到了常数O(1)。值得强调的是,随机梯度fi是对梯度f的无偏估计:

这意味着,平均来说,随机梯度是对梯度的一个良好的估计。
def sgd_2d(x1, x2, s1, s2):
return (x1 - eta * (2 * x1 + np.random.normal(0.1)),
x2 - eta * (4 * x2 + np.random.normal(0.1)), 0, 0)
show_trace_2d(f_2d, train_2d(sgd_2d))

可以看到,随机梯度下降中自变量的迭代轨迹相对于梯度下降中的来说更为曲折。
小批量随机梯度下降
还可在每轮迭代中随机均匀采样多个样本来组成一个小批量,然后使用这个小批量来计算梯度。

同随机梯度一样,重复采样所得的小批量随机梯度也是对梯度的无偏估计。
动量法
在每次迭代中,梯度下降根据自变量当前位置,沿着当前位置的梯度更新自变量。然而,如果自变量的迭代方向仅仅取决于自变量当前位置,这可能会带来一些问题。如下图,可以看到,同一位置上,目标函数在竖直方向(x2)比在水平方向(x1)的斜率的绝对值更大。因此,给定学习率,梯度下降迭代自变量时会使自变量在竖直方向比在水平方向移动幅度更大。那么,我们需要一个较小的学习率从而避免自变量在竖直方向上越过目标函数最优解。然而,这会造成自变量在水平方向上朝最优解移动变慢。
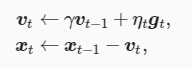
def momentum_2d(x1, x2, v1, v2):
v1 = gamma * v1 + eta * 0.2 * x1
v2 = gamma * v2 + eta * 4 * x2
return x1 - v1, x2 - v2, v1, v2
eta, gamma = 0.4, 0.5
d2l.show_trace_2d(f_2d, d2l.train_2d(momentum_2d))

动量法的提出是为了解决梯度下降的上述问题。引入时间步t,使用了指数加权移动平均的思想。它将过去时间步的梯度做了加权平均,且权重按时间步指数衰减。它使得相邻时间步的自变量更新在方向上更加一致。


AdaGrad算法
之前,自变量的每个元素在相同时间步都使用同一个学习率来自我迭代。
![]()
这会导致有些自变量在梯度值变小的维度上迭代过慢。
而AdaGrad算法,它根据自变量在每个维度的梯度值的大小来调整各个维度上的学习率,从而避免统一的学习率难以适应所有维度的问题。

import d2lzh as d2l
import math
from mxnet import nd
def adagrad_2d(x1, x2, s1, s2):
g1, g2, eps = 0.2 * x1, 4 * x2, 1e-6 # 前两项为自变量梯度
s1 += g1 ** 2
s2 += g2 ** 2
x1 -= eta / math.sqrt(s1 + eps) * g1
x2 -= eta / math.sqrt(s2 + eps) * g2
return x1, x2, s1, s2
def f_2d(x1, x2):
return 0.1 * x1 ** 2 + 2 * x2 ** 2
eta = 0.4
d2l.show_trace_2d(f_2d, d2l.train_2d(adagrad_2d))

- AdaGrad算法在迭代过程中不断调整学习率,并让目标函数自变量中每个元素都分别拥有自己的学习率。
- 使用AdaGrad算法时,自变量中每个元素的学习率在迭代过程中一直在降低(或不变)。
RMSProp算法
当学习率在跌打早期降得较快且当前解依然不佳时,AdaGrad算法在迭代后期由于学习率过小,可能较难找到一个有用的解。为了解决这个问题,RMSProp算法对AdaGrad算法做了一点小小的修改。
![]()

def rmsprop_2d(x1, x2, s1, s2):
g1, g2, eps = 0.2 * x1, 4 * x2, 1e-6
s1 = gamma * s1 + (1 - gamma) * g1 ** 2
s2 = gamma * s2 + (1 - gamma) * g2 ** 2
x1 -= eta / math.sqrt(s1 + eps) * g1
x2 -= eta / math.sqrt(s2 + eps) * g2
return x1, x2, s1, s2
def f_2d(x1, x2):
return 0.1 * x1 ** 2 + 2 * x2 ** 2
eta, gamma = 0.4, 0.9
d2l.show_trace_2d(f_2d, d2l.train_2d(rmsprop_2d))
- RMSProp算法和AdaGrad算法的不同在于,RMSProp算法使用了小批量随机梯度按元素平方的指数加权移动平均来调整学习率。
AdaDelta算法
除了RMSProp算法以外,另一个常用优化算法AdaDelta算法也针对AdaGrad算法在迭代后期可能较难找到有用解的问题做了改进。有意思的是,AdaDelta算法没有学习率这一超参数。
![]()

![]()
![]()
features, labels = d2l.get_data_ch7()
def init_adadelta_states():
s_w, s_b = nd.zeros((features.shape[1], 1)), nd.zeros(1)
delta_w, delta_b = nd.zeros((features.shape[1], 1)), nd.zeros(1)
return ((s_w, delta_w), (s_b, delta_b))
def adadelta(params, states, hyperparams):
rho, eps = hyperparams['rho'], 1e-5
for p, (s, delta) in zip(params, states):
s[:] = rho * s + (1 - rho) * p.grad.square()
g = ((delta + eps).sqrt() / (s + eps).sqrt()) * p.grad
p[:] -= g
delta[:] = rho * delta + (1 - rho) * g * g
d2l.train_ch7(adadelta, init_adadelta_states(), {'rho': 0.9}, features,
labels)
- AdaDelta算法没有学习率超参数,它通过使用有关自变量更新量平方的指数加权移动平均的项来替代RMSProp算法中的学习率。
Adam算法
Adam算法在RMSProp算法基础上对小批量随机梯度也做了指数加权移动平均。
def init_adam_states():
v_w, v_b = nd.zeros((features.shape[1], 1)), nd.zeros(1)
s_w, s_b = nd.zeros((features.shape[1], 1)), nd.zeros(1)
return ((v_w, s_w), (v_b, s_b))
def adam(params, states, hyperparams):
beta1, beta2, eps = 0.9, 0.999, 1e-6
for p, (v, s) in zip(params, states):
v[:] = beta1 * v + (1 - beta1) * p.grad
s[:] = beta2 * s + (1 - beta2) * p.grad.square()
v_bias_corr = v / (1 - beta1 ** hyperparams['t'])
s_bias_corr = s / (1 - beta2 ** hyperparams['t'])
p[:] -= hyperparams['lr'] * v_bias_corr / (s_bias_corr.sqrt() + eps)
hyperparams['t'] += 1
d2l.train_ch7(adam, init_adam_states(), {'lr': 0.01, 't': 1}, features,
labels)
- Adam算法在RMSProp算法的基础上对小批量随机梯度也做了指数加权移动平均。
- Adam算法使用了偏差修正。
来源:https://blog.csdn.net/QFire/article/details/100516678