图信号初步
无向图可定义为:
G=(V,E)
节点,边
定义邻接矩阵A ,则一个带有N 个节点的图可以用大小为N∗N 的A 表示,其中A(i,j)=wij .
在简单图中,A 的元素只由0和1构成。1表示该边存在,反之则为0 .
若给定一个简单图(simple graph)的邻接矩阵A 和维度矩阵D 。则这个图的Laplacian Matrix也可定义为:
L=D−A
图信号傅里叶变换(Graph Fourier Transform,GFT)
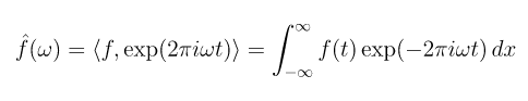
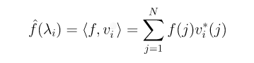
傅里叶变换的本质是内积运算

三角函数是完备的正交函数集,不同频率的三角函数的之间的内积为0,只有频率相等的三角函数做内积时,才不为0。
正交是垂直这一直观概念的推广。若内积空间中两向量的内积为0,则称它们是正交的。
n维向量空间中的所有向量,都可以用一组正交基来表示。
函数的正交是向量正交的推广。
GFT的变换将图信号线性映射到某一组正交基,但不同于DFT的将不同角频率的三角函数作为正交基,GFT的正交基取决于其Graph的结构,或者更确切地说,是取决于其描述Graph的各种上述提到的矩阵。
和DFT类似,GFT的目标也是通过线性映射来获取图信号所包含的不同的频率成分。
The Fourier transform of a discrete function f on a graph, evaluated at an eigenvalue λi, is the inner product of f (i.e. the vector of values of f at each node) with the eigenvector associated with λi.
As before, we take the complex conjugate of the second item in the product.
给定任意一个无向图G 的拉普拉斯矩阵L ,图信号x ,其可以由拉普拉斯矩阵的特征向量线性组合构成。
(特征值对应于频率)
(The eigenvectors associated with the smallest eigenvalues of the graph Laplacian are analogous to low frequency sines and cosines.)
节点可以类比于一维信号里时间的概念,对于任意一个节点,与其相连接的节点相比较,如果变化剧烈,则可以认为这个节点的频率很高,与瞬时频率比较类似。
特征值越大,相邻节点变化越剧烈。
来源:CSDN
作者:Gallant Hu
链接:https://blog.csdn.net/weixin_42108090/article/details/103243401