中公汇总到2009
http://www.kaoyan365.cn/shuxue/zhenti/3625.html
2015
http://www.exam8.com/xueli/kaoyan/linianzhenti/shuxue/201412/3133207_4.html
2009
https://m.koolearn.com/kaoyan/20181114/1026595.html
2008
https://kaoyan.koolearn.com/20181114/1026594.html
2008 的内容
- 导数
- 梯度
- ·我cao 的微分方程??高阶了,超过了2阶


- 单调性和级数的结合,我以交错级数和对函数的深刻理解而杀之

- 1 - a 的三次方,这个玩意很好用呢:

(12)我来告诉你高斯搞出来了三重积分往往自杀为0
左边的 是 因为y 左右对称,奇的,所以杀为0.
而右边的就很妙了:使用啥呢?使用轮转对称性+极坐标转化。
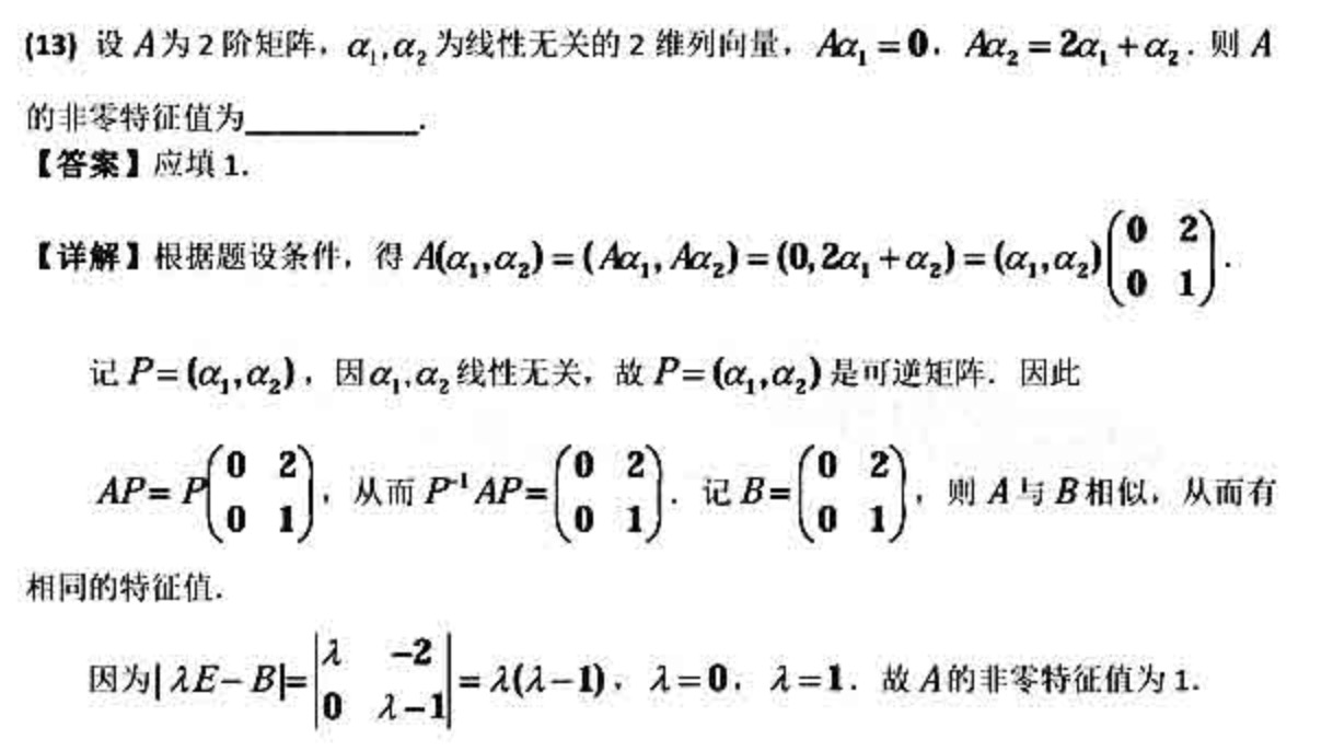
(13) 逼出来相似,相似又逼出来特征值相等,我还能说什么呢?
(14) 柏松分布 我收购了:
(17) 我来告诉你,什么叫做机灵:
红色线就是警戒般的聪明机灵!
(18)定义,咋整,就是整呗
以下用了个啥呢?用了个显然的图像里可以观察到的,面积的,你懂得吧
(19) 是傅立叶的专场表演
来源:CSDN
作者:paulkg12
链接:https://blog.csdn.net/paulkg12/article/details/103027314





