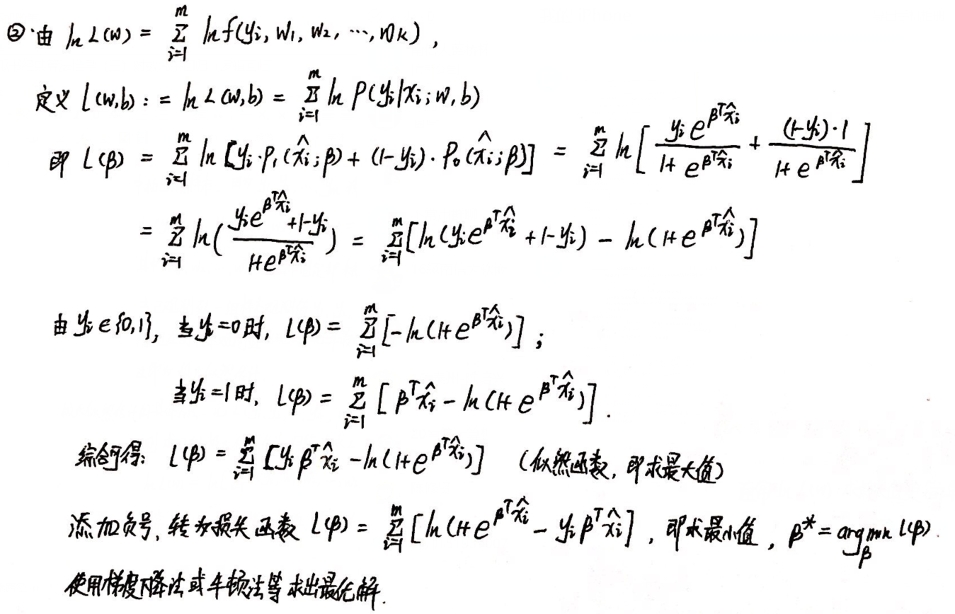
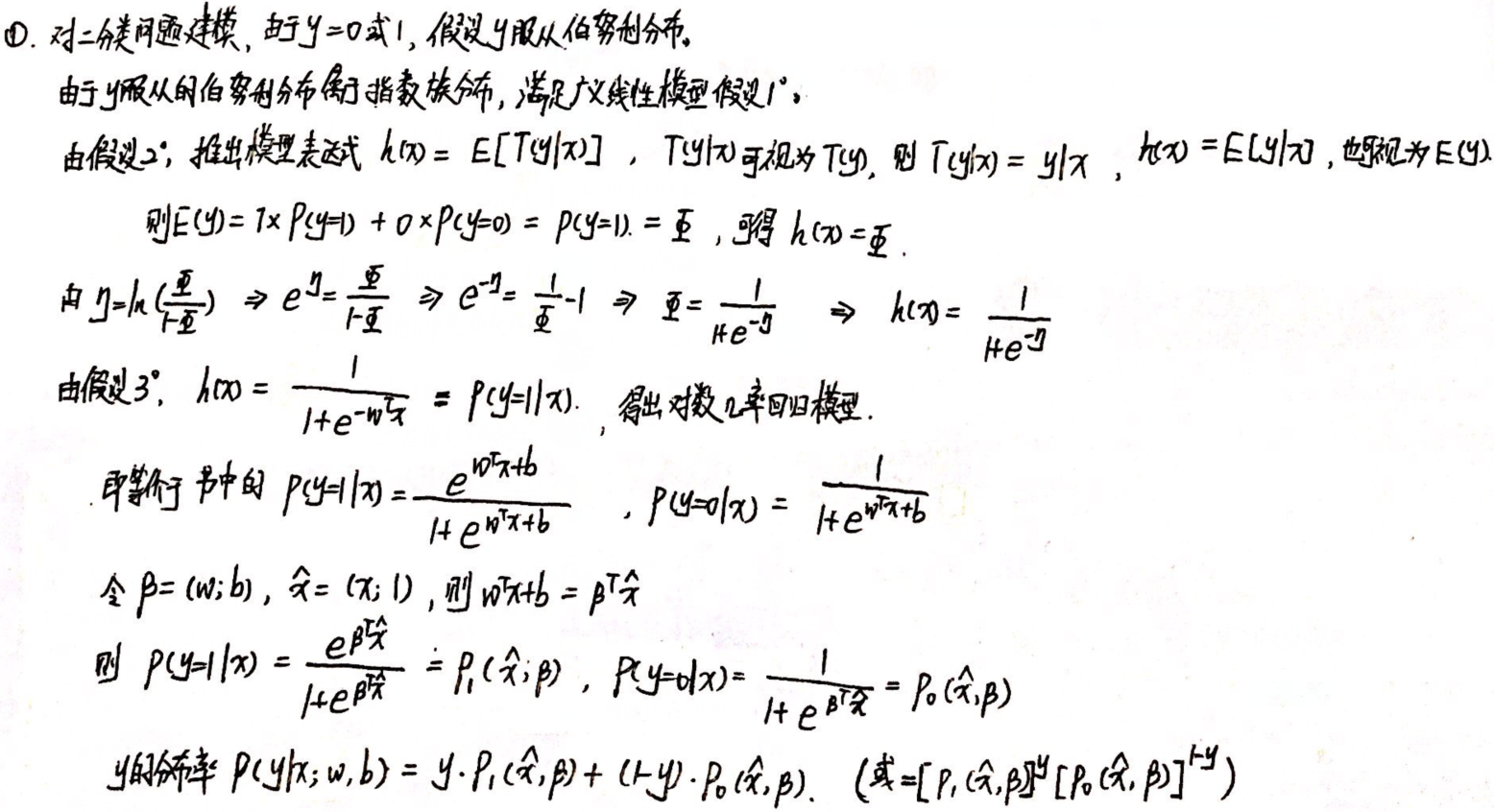
西瓜书经典算法推导(三)对数几率回归(逻辑回归)

▼魔方 西西 提交于 2019-11-28 16:28:13

 

 

 

标签
易学教程内所有资源均来自网络或用户发布的内容,如有违反法律规定的内容欢迎反馈
该文章没有解决你所遇到的问题?点击提问,说说你的问题,让更多的人一起探讨吧!