现在终于理解我们高中数学老师说的话了,计算不行,说明数学不行,数学不行能力不行,数学好才是真正的好!!!哈哈哈。
欢迎访问我的博客Sky’s blog

这是典型的三层神经网络的基本构成,Layer L1是输入层,Layer L2是隐含层,Layer L3是隐含层,我们现在手里有一堆数据{x1,x2,x3,…,xn},输出也是一堆数据{y1,y2,y3,…,yn},现在要他们在隐含层做某种变换,让你把数据灌进去后得到你期望的输出。
在这里,通过对上图简单的案例进行数学推导,激活函数默认为sigmoid函数(注:神经网络的基础知识可以参考Poll的笔记:[Mechine Learning & Algorithm] 神经网络基础)
一、前向传播
1.输入层---->隐含层
**计算神经元的输入加权和

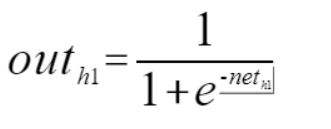
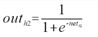
计算神经元 h1、h2 的输出

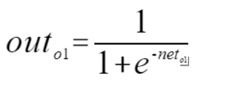
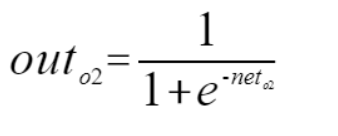
2.隐含层---->输出层
**计算输出神经元o1、o2的值



至此,前向传导传播结束。
二、反向传播
1.计算总误差

2.隐藏层----->输出层权值更新
同理可求
权值跟新
3.隐藏层---->输出层权值更新

同理可求
权值跟新
权值更新后测试数据
例子
import numpy as np
#激励函数与其偏导数
def tanh(x):
return np.tanh(x)
def tanh_derivative(x):
return 1.0 - np.tanh(x) * np.tanh(x)
def logistic(x):
return 1 / (1 + np.exp(-x))
def logistic_derivative(x):
return logistic(x) * (1 - logistic(x) )
#神经网络模型
class NeuralNetwork:
def __init__(self, layers, activation='tanh'):
if activation == 'Logistic':
self.activation = logistic
self.activation_deriv = logistic_derivative
elif activation == 'tanh':
self.activation = tanh
self.activation_deriv = tanh_derivative
self.weights = []
for i in range(1, len(layers)-1):
# [0,1) * 2 - 1 => [-1,1) => * 0.25 => [-0.25,0.25) 随机权值
self.weights.append( (2*np.random.random((layers[i-1] + 1, layers[i] + 1 ))-1 ) * 0.25 )
self.weights.append( (2*np.random.random((layers[i] + 1, layers[i+1] ))-1 ) * 0.25 )
# for i in range(0, len(layers)-1):
# m = layers[i] # 第i层节点数
# n = layers[i+1] # 第i+1层节点数
# wm = m + 1
# wn = n + 1
# if i == len(layers)-2:
# wn = n
# weight = np.random.random((wm, wn)) * 2 - 1
# self.weights.append(0.25 * weight)
#类比梯度下降
def fit(self, X, y, learning_rate=0.2, epochs = 10000):
X = np.atleast_2d(X)
# temp = np.ones([X.shape[0], X.shape[1]+1])
# temp[:,0:-1] = X
# X = temp
X = np.column_stack((X, np.ones(len(X))))
y = np.array(y)
for k in range(epochs):
i = np.random.randint(X.shape[0])
a = [X[i]]
# 正向计算
for l in range(len(self.weights)):
a.append(self.activation( np.dot(a[l], self.weights[l])) )
# 反向传播
error = y[i] - a[-1]
deltas = [error * self.activation_deriv(a[-1])]
# starting backprobagation
layerNum = len(a) - 2
for j in range(layerNum, 0, -1): # 倒数第二层开始
deltas.append(deltas[-1].dot(self.weights[j].T) * self.activation_deriv(a[j]))
# deltas.append(deltas[-(layerNum+1-j)].dot(self.weights[j].T) * self.activation_deriv(a[j]))
deltas.reverse()
for i in range(len(self.weights)):
layer = np.atleast_2d(a[i])
delta = np.atleast_2d(deltas[i])
self.weights[i] += learning_rate * layer.T.dot(delta)
def predict(self, x):
x = np.array(x)
temp = np.ones(x.shape[0] + 1)
temp[0:-1] = x
a = temp
for l in range(0, len(self.weights)):
a = self.activation(np.dot(a, self.weights[l]))
return a
nn = NeuralNetwork([2, 2, 1], 'tanh')
x = np.array([[0,0],[0,1],[1,0],[1,1]])
y = np.array([0,1,1,0])
nn.fit(x, y)
for i in [[0,0],[0,1],[1,0],[1,1]]:
print (i, nn.predict(i))

来源:https://blog.csdn.net/qq_44426403/article/details/100041975