矩阵运算
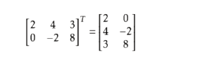
矩阵转置
向量
Spark 向量是以对象形式存储的
http://spark.apache.org/docs/latest/mllib-data-types.html
Vector
scala> import org.apache.spark.mllib.linalg.{Vectors,Vector}
import org.apache.spark.mllib.linalg.{Vectors, Vector}
scala> Vectors.dense(1,2,3,4)
res0: org.apache.spark.mllib.linalg.Vector = [1.0,2.0,3.0,4.0]
scala> breeze.linalg.DenseVector(1,2,3,4)
res1: breeze.linalg.DenseVector[Int] = DenseVector(1, 2, 3, 4)
scala> res1.t
res2: breeze.linalg.Transpose[breeze.linalg.DenseVector[Int]] = Transpose(DenseVector(1, 2, 3, 4))
scala> res1+res1
res3: breeze.linalg.DenseVector[Int] = DenseVector(2, 4, 6, 8)
scala> res1*res1.t
res4: breeze.linalg.DenseMatrix[Int] =
1 2 3 4
2 4 6 8
3 6 9 12
4 8 12 16
本文同步分享在 博客“羊羽”(other)。
如有侵权,请联系 support@oschina.cn 删除。
本文参与“OSC源创计划”,欢迎正在阅读的你也加入,一起分享。
来源:oschina
链接:https://my.oschina.net/u/860718/blog/4942715



