练习2-10 计算分段函数[1] (10 分)
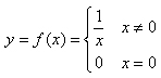
本题目要求计算下列分段函数f(x)的值:

输入格式:
输入在一行中给出实数x。
输出格式:
在一行中按“f(x) = result”的格式输出,其中x与result都保留一位小数。
输入样例1:
10
输出样例1:
f(10.0) = 0.1
输入样例2:
0
输出样例2:
f(0.0) = 0.0
思路:利用if-else语句将两种情况分开讨论。
代码如下:
#include <stdio.h>
int main()
{
double x, result;
scanf ("%lf",&x);
if (x==0)
result=0;
else
result=1/x;
printf("f(%.1f) = %.1f\n",x,result);
return 0;
}
来源:oschina
链接:https://my.oschina.net/u/4320155/blog/3657463