前言:
基于特征的方法是利用人脸的先验知识导出的规则进行人脸检测。
一般来说,常用的特征包括人脸和人脸器官典型的边缘和形状特征(如人脸轮廓、虹膜轮廓、嘴唇轮廓等)、纹理特征(纹理是在图上表现为灰度或颜色分布的某种规律性,这种规律性在不同类别的纹理中有其不同特点,人脸有其特定的纹理特征)、颜色特征(人脸肤色特征,目前主要有RGB,HSV,YCbCr,YIQ,HIS等彩色空间模型被用来表示人脸的肤色,从而进行基于颜色信息的人脸检测方法的研究)。
人脸检测的方法:
- 基于规则/知识方法
- 人脸模式的变化满足一定的规律,所以可以归纳描述人脸特征的规则,如灰度分布、比例关系、纹理信息等
- 基于模板的方法
- 固定模板法,可变形模板法
- 基于不变特征的方法,如彩色信息
- 人脸的肤色在彩色空间中的分布相对比较集中,所以可用来检测和跟踪人脸。
- 基于外观学习的方法---目前的主流方法
- 将人脸检测视为区分“非人脸样本”与“人脸样本”的模式识别问题,通过对人脸样本集和非人脸样本集的学习产生分类器
以世纪晟科技人脸识别技术为例,世纪晟科技拥有3D人脸识别算法的核心技术,详解基于肤色特征的检测。
· 多种肤色模型
- J.L.Crowley and F. Berard, “Multi-model tracking of faces for video communications
- 将肤色区域的RGB颜色归一化,用其中的(r,g)值的颜色直方图h(r,g) 获取肤色变量的阈值
- M. H. Yang, N. Ahuja, “Detecting human faces in color images”
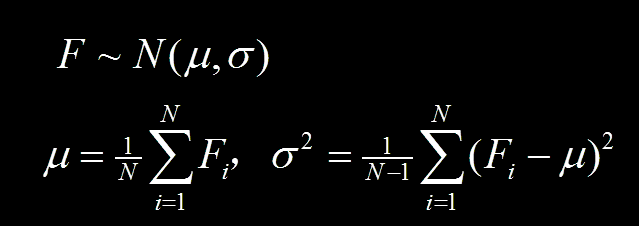
- 认为人脸肤色区域的颜色值呈高斯分布,用高斯分布的均值和方差确定肤色变量的阈值
- T. S. Jebara and A. Pentland, “Parameterized structure from motion fro 3D adaptive feedback tracking of faces”
- 认为不同的种族和国家的人的肤色分布不同,在颜色直方图上形成多个聚类,可用高斯混合模型来表示
· 颜色空间
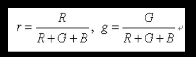
- RGB到“rg”空间

- RGB到YUV(YCrCb)空间,再转化到“FI”空间

· 高斯肤色模型
- 一元正态分布肤色模型(以F颜色特征为例)


- 二元正态分布肤色模型(以rg颜色特征为例)


· 多人脸训练肤色模型
- 训练肤色模型
- 手工标注部分人脸(肤色区域)人脸图像
- 统计方法得到

- 设置合适的阈值截断

- 测试阶段
- 逐像素判断其是否在设定的肤色
特征范围内
- 逐像素判断其是否在设定的肤色

· 提取肤色区域
- 对检测到的肤色区域进行分析
- 接近椭圆形
- 有部分非肤色区域(五官、头发)

关于肤色模型几点提示——
- 肤色模型难以适应各种环境光照变化
对于背景和前景的光照变化,肤色通常不稳定
单纯的肤色信息对于人脸检测通常是不充分的
- 如何适应在不同光照下的人脸跟踪
如果环境光照有变化,原有的肤色模型可能不再适用,如何建立一个自适应的肤色模型需要进一步的研究
来源:oschina
链接:https://my.oschina.net/u/3914817/blog/2878198
